Login
Section Human Resource Management

The Dynamics of Leadership, Supervision, and Punishment in Improving Job Satisfaction


Dinamika Kepemimpinan, Pengawasan, dan Punishment dalam Meningkatkan Kepuasan Kerja
Vol. 19 No. 3 (2024): August:

Siti Nur Hidayati (1), Kumara Adji Kusuma (2), Dewi Andriani (3), Rifdah Abadiyah (4)

(1) Universitas Muhammadiyah Sidoarjo, Indonesia
(2) Universitas Muhammadiyah Sidoarjo, Indonesia
(3) Universitas Muhammadiyah Sidoarjo, Indonesia
(4) Universitas Muhammadiyah Sidoarjo, Indonesia
Fulltext View | Download

Abstract:

General Background: In a competitive industrial environment, understanding factors that enhance job satisfaction is essential for fostering a motivated workforce. Specific Background: Existing literature primarily addresses leadership and supervision but often neglects the impact of punishment styles on employee morale. Knowledge Gap: This study investigates the interplay between transformational leadership, supervisory practices, and punishment styles in shaping job satisfaction among employees of PT. Young Tree Industries. Aims: Employing a quantitative survey approach, the research aims to evaluate these factors' individual and collective effects on employee satisfaction. Results: Data were collected from 384 employees through a structured questionnaire, analyzed using SPSS software. The findings reveal that transformational leadership, supervision, and punishment styles significantly positively influence job satisfaction. Transformational leadership emerged as the most impactful variable. Novelty: This study contributes to the literature by highlighting the importance of both leadership and punishment styles in enhancing employee job satisfaction, thus providing a comprehensive view of managerial impacts in the workplace. Implications: The results suggest that organizations should prioritize transformational leadership development and effective supervision while addressing punishment methods to improve employee satisfaction and, consequently, overall productivity.


Highlights:








  1. Leadership Impact: Transformational leadership boosts employee job satisfaction significantly.

  2. Supervision Role: Effective supervision enhances overall job satisfaction among employees.

  3. Punishment Effects: Appropriate punishment styles improve workplace job satisfaction.













Keywords: employee job satisfaction, transformational leadership, supervision, punishment styles, quantitative research







Downloads

Download data is not yet available.

Introduction

Era globalisasi ditandai dengan mulai ketatnya persaingan di segala bidang. Organisasi yang menghadapi berbagai tantangan di era globalisasi harus mampu meningkatkan kualitas sumber daya manusianya, memperoleh keterampilan khusus, dan meningkatkan keunggulan kompetitifnya [1]. Sumber daya manusia adalah ilmu dan seni mengelola hubungan dan peran pegawai, sehingga pegawai dapat memberikan kontribusi secara efektif dan efisien untuk mencapai tujuan perusahaan, pegawai, dan masyarakat [2]. Dalam hal ini, sumber daya manusia yang tersedia hanyalah karyawan Anda sendiri. Pegawai suatu perusahaan mempunyai peranan yang sangat penting bagi sejauh mana suatu organisasi atau perusahaan dapat berkembang dan mencapai visi dan misinya. Perusahaan sangat bergantung pada kinerja karyawannya, dan dapat dikatakan karyawan dapat berkinerja baik dalam jangka panjang hanya jika mempunyai kepuasan kerja yang tinggi [3]. PT. Young Tree Industries, merupakan perusahaan yang memiliki eksistensi baik. Pabrik yang bergerak dalam bidang industri ini sudah berdiri sejak 1995 ini telah memproduksi hingga 50.000 pasang sepatu setiap bulan dan ekspor yang direncanakan mencapai Eropa, Amerika, Afrika, dan Asia. PT. Young Tree Industries yang berlokasi di Desa Bannar Kecamatan Wonoayu Kabupaten Sidoarjo Jawa Timur ini memiliki karyawan sebanyak kurang lebih 6000 orang karyawan. Dalam hal ini, semakin puas seorang karyawan terhadap pekerjaannya, semakin besar pula gairahnya terhadap perusahaan. Dengan cara ini, mereka memberikan nilai tambah kepada pelanggannya melalui pelayanan prima.

Kepuasan kerja mengacu pada perasaan dan evaluasi individu terhadap pekerjaannya dalam kaitannya dengan apakah pekerjaan tersebut memenuhi harapan, kebutuhan, dan keinginannya, terutama yang berkaitan mencintai pekerjaannya [4]. Kepuasan kerja merupakan salah satu faktor dalam mendapa untuk perkembangan perusahaan. Namun sebaliknya, apabila pegawai merasa tidak puas maka hasilnya pun berdampak buruk pada organisasi atau perusahaan [5]. Kepuasan kerja seorang karyawan, dapat dilihat dari gaya kepemimpinan atasannya. Semakin positif gaya kepemimpinannya, maka akan sangat berpengaruh bagi kepuasan kerja karyawan. Selain gaya kepemimpinan, pengawasan serta pemberian punishment atau hukuman juga akan berdampak dalam kepuasan karja karyawan.

Gaya kepemimpinan adalah kemampuan seorang pemimpin individu atau kelompok untuk mempengaruhi orang lain, baik secara langsung maupun tidak langsung, untuk mematuhi keinginannya melalui tindakannya [6]. Banyak gaya yang digunakan pemimpin dalam mempengaruhi bawahan diantaranya adalah gaya kepemimpinan transformasional dan gaya kepemimpinan transaksional. Kepemimpinan transformasional mengacu pada manajer yang memotivasi bawahannya agar berkontribusi secara optimal dalam mencapai tujuan perusahaan [7].

Kepemimpinan transformasional adalah kemampuan individu dalam memimpin organisasi dengan menanamkan rasa kesetiaan, kepercayaan, rasa hormat, dan kekaguman pada karyawan serta memotivasi mereka untuk melakukan pekerjaan lebih baik dari sebelumnya [8] [3]. Sementara itu, kepemimpinan transaksional adalah sikap seorang pemimpin yang memotivasi dan memotivasi bawahannya dengan memberikan ketidakseimbangan atas hasil kerja mereka. Kepemimpinan transaksional mengacu pada pemimpin yang menunjukkan kepemimpinan melalui interaksi sosial (atau transaksi). Pemimpin transaksional mengarahkan atau memotivasi bawahannya untuk bekerja mencapai tujuan dengan memberi penghargaan atau meningkatkan produktivitas mereka [9]. Gaya kepemimpinan akan berdampak positif pada kepuasan kerja karyawan. Hal ini sesuai dengan penelitian yang dilakukan oleh Silahul Mukmin, Indra Prasetyo dengan judul “Pengaruh Gaya Kepemimpinan Dan Budaya Organisasi Terhadap Kinerja Karyawan Melalui Kepuasan Kerjakaryawan Sebagai Variabel Intervening” dengan hasil gaya kepemimpinan berpengaruh positif dan signifikan terhadap kepuasan kerja karyawan PT. Bank Syariah Mandiri Cabang Sampang [10]. Hasil tersebut juga didukung oleh penelitian yang dilakukan oleh Nisa Meitasari Gunawan, AA. Ayu Sriathi dengan judul “Pengaruh Stres Kerja, Komitmen Organisasional, Dan Gaya Kepemimpinan Terhadap Kepuasan Kerja Karyawan” dengan hasil gaya kepemimpinan berpengaruh positif terhadap kepuasan kerja karyawan yang artinya semakin baik gaya kepemimpinan yan di terapkan dalam suatu perusahaan, maka semakin tinggi kepuasan kerja karyawan untuk tetap berorganisasi di perusahaan [11]. Namun hasil ini berbeda dengan hasil penelitian yang dilakukan oleh Karnila Ali, Didiek Wijaya Agustian dengan judul “Analisis Pengaruh Budaya Organisasi Dan Gaya Kepemimpinan Terhadap Kepuasan Kerja Untuk Meningkatkan Kinerja karyawan Di Rumah Sakit Muhammadiyah Metro” dengan hasil bahwa tidak terdapat pengaruh gaya kepemimpinan terhadap kepuasan kerja. Berdasarkan hasil penelitian menunjukkan bahwa gaya kepemimpinan tidak memiliki pengaruh terhadap kepuasan kerja [12]. Hasil penelitian tersebut memiliki hubungan dengan penelitian penulis karena membahas mengenai gaya kepemimpinan terhadap kepuasan kerja karyawan.

Menurut Handoko, mengemukakan bahwa pengawasan didefinisikan sebagai proses untuk menjamin bahwa tujuan-tujuan organisasi dan manajemen tercapai. Pengertian ini menunjukkan adanya hubungan yang sangat erat antara perencanaan dan pengawasan [13]. Sedangkan menurut Robert J. Mockler mengemukakan bahwa pengawasan adalah suatu usaha sistematik untuk menetapkan standar pelaksanaan dengan tujuan-tujuan perencanaan, merancang sistem informasi umpan balik, membandingkan kegiatan nyata dengan standar yang telah ditetapkan sebelumnya, menentukan dan mengukur penyimpanganpenyimpangan serta mengambil tindakan koreksi yang diperlukan untuk menjamin bahwa semua sumber daya perusahaan dipergunakan dengan cara paling efektif dan efisien dalam pencapaian tujuan-tujuan perusahaan [13]. Dari pengertian diatas dapat disimpulkan bahwa pengawasan adalah proses untuk memastikan bahwa semua aktifitas yang terlaksana telah sesuai dengan apa yang telah direncanakan sebelumnya. Kurangnya pengawasan kerja yang dilakukan pimpinan terhadap karyawan dikarenakan pemahaman tentang pengetahuan SOP rendah sehingga mempengaruhi keakuratan dan ketepatan waktu dalam produksi, maka akan berdampak pada kepuasan kerja karyawan. Hal ini sesuai dengan penelitian yang dilakukan oleh Ina Namora Putri, Edy dengan judul “Pengaruh Pelatihan Dan Pengawasan Terhadap Kepuasan Kerja Karyawan Pada Pt. Expravet Nasuba Medan” dengan hasil menunjukkan bahwa pengawasan berpengaruh terhadap kepuasan kerja karyawan pada PT Expravet Nasuba Medan [13]. Hasil ini didukung oleh penelitian yang dilakukan oleh Sutedi, Wawan Prahiawan, Hayati Nupus dengan judul “Pengaruh Komitmen Organisasi Dan Pengawasan Terhadap Disiplin Pegawai Melalui Kepuasan Kerja Sebagai Variabel Intervening (Studi pada Koperasi Simpan Pinjam Makmur Mandiri Cabang Kota Tangerang)” dengan hasil yang menunjukkan bahwa Ada pengaruh positif dan signifikan pengawasan terhadap kepuasan kerja pada pegawai KSP Makmur Mandiri Cabang Kota Tangerang, di mana semakin tinggi pengawasan maka semakin tinggi kepuasan kerja [14]. Hasil ini juga didukung oleh penelitian yang dilakukan oleh Fitria1, Merry Muspita Dyah Utami, Ridwan Iskandar dengan judul “Analisis Pengawasan Dan Kompetensi Melalui Kinerja Terhadap Kepuasan Kerja Karyawan Pada PT. East West Seed Indonesia” dengan hasil pengujian hipotesis menghasil-kan temuan bahwa pengawasan berpengaruh signifikan terhadap kepuasan kerja [15]. Hasil penelitian tersebut memiliki hubungan dengan penelitian penulis karena membahas mengenai pengaruh pengawasan terhadap kepuasan kerja karyawan.

Hukuman adalah metode untuk mengarahkan perilaku agar sesuai dengan perilaku yang diterima secara umum. Dalam hal ini, hukuman terjadi ketika orang yang dihukum menunjukkan perilaku yang tidak diharapkan atau ketika orang yang dihukum tidak memberikan respon atau menunjukkan perilaku yang diharapkan.[16]. Definisi lain menyatakan bahwa punishment adalah ancaman hukuman yang bertujuan untuk mengoreksi karyawan yang melanggar suatu peraturan, memastikan bahwa peraturan tersebut berlaku ditaati, dan memberi pelajaran kepada pelanggar.[17]. Secara umum, tujuan pemberian hukuman kepada karyawan adalah untuk meningkatkan kepuasan kerja dan meningkatkan kinerja organisasi. Selain itu, hukuman meningkatkan rasa tanggung jawab karyawan dalam bekerja[18]. Studi ini sejalan dengan penelitian yang dilakukan olehYonda Swendy dengan judul “Pengaruh Kepemimpinan, Reward, Dan Punishment Terhadap Kepuasan Kerja Karyawan Pada PT. Ace Hardware Medan” dengan hasil bahwa punishment berpengaruh nyata dalam meningkatkan kepuasan kerja karyawan PT. Ace Hardware [19]. Hasil ini didukung oleh penelitian yang dilakukan oleh Anisya Eka Ariyanti dengan judul “Pengaruh Reward Dan Punishment Terhadap Kinerja Karyawan Dengan Kepuasan Kerja Sebagai Variabel Mediasi (Studi Empiris pada PDAM Kota Magelang)” dengan hasil Punishment berpengaruh positif dan signifikan terhadap kepuasan kerja pada PDAM Kota Magelang [20]. Namun hasil ini berbeda dengan penelitian yang dilakukan oleh M Irsan, LMarnisah, F Zamzam dengan judul “Pengaruh Iklim Organisasi, Punishment Dan Reward Terhadap Kepuasan Kerja Karyawan Divisi Operasi 2 PT. Semen Baturaja (Persero) Tbk” yang menyatakan bahwa punishment tidak berpengaruh positif terhadap kepuasan kerja [21]. Hasil penelitian tersebut memiliki hubungan dengan penelitian penulis karena membahas mengenai pengaruh punishment terhadap kepuasan kerja karyawan.

Dari hasil beberapa penelitian terdahulu, ditemukan adanya kesenjangan penelitian atau research gap dari tidak berpengaruhnya variabel gaya kepemimpinan dan punishment. Oleh karena itu penelitian ini dilakukan untuk memperbarui kesimpulan dengan merumuskan masalah untuk mengetahui dampak dari gaya kepemimpinan, pengawasan, dan punishment terhadap kepuasan kerja karyawan. Tujuan dari penelitian ini diharapkan dapat memberikan informasi mengenai gaya kepemimpinan, pengawasan, punishment, dan kepuasan kerja.

Berdasarkan uraian di atas, maka penulis ingin meneliti “Analisis Gaya Kepemimpinan, Pengawasan, dan Punishment terhadap Kepuasan Kerja (Studi Kasus pada Karyawan PT. Young Tree)” dengan studi kasus pada karyawan PT. Young Tree sebagai judul penelitian karena PT. Young Tree memiliki karyawan yang sangat banyak dan terus meningkat setiap tahunnya. Penelitian ini diharapkan dapat memberikan informasi mengenai pengaruh gaya kepemimpinan, pengawasan, punishment, dan kepuasan kerja.

Rumusan Masalah :

  • Pengaruh gaya kepemimpinan dalam meningkatkan kepuasan kerja karyawan
  • Pengaruh pengawasan dalam meningkatkan kepuasan kerja karyawan
  • Pengaruh punishment dalam meningkatkan kepuasan kerja karyawan

Pertanyaan Penelitian :

  • Apakah gaya kepemimpinan berpengaruh dalam meningkatkan kepuasan kerja karyawan?
  • Apakah pengawasan berpengaruh dalam meningkatkan kepuasan kerja karyawan?
  • Apakah punishment berpengaruh dalam meningkatkan kepuasan kerja karyawan?

KategoriSDGs:Berdasarkan pendahuluan di atas maka penelitian ini termasuk dalam kategori SDGS kedelapan yaitu meningkatkan pertumbuhan ekonomi inklusif dan berkelanjutan, kesempatan kerja yang produktif dan menyeluruh serta pekerjaan yang layak untuk semua.

Gaya kepemimpinan adalah cara yang dipergunakan pemimpin dalam mempengaruhi para pengikutnya. Gaya kepemimpinan transformasional adalah pendekatan kepemimpinan yang fokus pada mendorong dan menginspirasi pengikut untuk mencapai potensi penuh mereka dan melampaui ekspektasi mereka [22]. Pemimpin transformasional berusaha untuk mengubah organisasi dan individu dengan menciptakan visi yang menarik, membangun hubungan yang kuat, dan memotivasi pengikut untuk berkomitmen terhadap tujuan Bersama [10]. Menurut Kartono [5] indikator gaya kepemimpinan transformasional yaitu sebagai berikut:

Penelitian yang dilakukan oleh [10] dan [11] menunjukkan hasil bahwa gaya kepemimpinan berpengaruh positif terhadap kepuasan kerja karyawan. Hasil penelitian tersebut memiliki hubungan dengan penelitian penulis karena membahas mengenai pengaruh gaya kepemimpinan terhadap kepuasan kerja karyawan.

I. Literatur Riview

A. Gaya Kepemimpinan Transformasional

Gaya kepemimpinan adalah cara yang dipergunakan pemimpin dalam mempengaruhi para pengikutnya. Gaya kepemimpinan transformasional adalah pendekatan kepemimpinan yang fokus pada mendorong dan menginspirasi pengikut untuk mencapai potensi penuh mereka dan melampaui ekspektasi mereka [22]. Pemimpin transformasional berusaha untuk mengubah organisasi dan individu dengan menciptakan visi yang menarik, membangun hubungan yang kuat, dan memotivasi pengikut untuk berkomitmen terhadap tujuan Bersama [10]. Menurut Kartono [5] indikator gaya kepemimpinan transformasional yaitu sebagai berikut:

1. Kemampuan mengambil keputusan merupakan kemampuan seorang pemimpin dalam proses penyelesaian masalah dengan metode pengambilan keputusan dari dua pilihan yang memungkinkan,

2. Kemampuan memotivasi merupakan kemampuan pemimpin dalam menginspirasi, mempengaruhi dan memotivasi karyawan untuk mencapai tujuan bersama

3. Kemampuan komunikasi merupakan kemampuan pemimpin dalam proses penyampaian informasi yang berisi pesan, ide, gagasan dari satu pihak (komunikator) kepada pihak lain (komunikan),

4. Kemampuan mengendalikan diri merupakan suatu kemampuan yang ahrus dimikili pemimpin dan upaya untuk mengatur, membimbing, serta mengarahkan segala bentuk tindakan dalam diri untuk menuju ke tindakan yang positif, dengan kata lain, membentuk pengendalian emosi dalam diri individu,

5. Tanggung Jawab merupakan kemampuan melakukan semua tugas dan kewajibannya dengan sungguh-sungguh.

B. Pengawasan

Pengawasan adalah pemantauan perilaku, kegiatan atau informasi untuk tujuan mengumpulkan informasi, mempengaruhi, menaungi atau mengarahkan. indikator pengawasan antara lain [23] :

1. Menetapkan standar hasil kerja. Menetapkan standar hasil kerja adalah tugas penting bagi organisasi mana pun; standar ini diputuskan secara kolektif dan berfungsi sebagai tolok ukur untuk kinerja kerja. Setiap karyawan diwajibkan untuk mematuhi semua standar yang ditetapkan untuk menyelesaikan tugas yang diberikan secara akurat dan sesuai jadwal. Dalam hal ini, kecepatan dan ketepatan karyawan dievaluasi berdasarkan standar yang ditetapkan untuk melakukan pengawasan. Aspek perilaku seperti moral dan disiplin kerja juga perlu dievaluasi. Hasil kerja kemudian dievaluasi dan dikonfrontasikan dengan kriteria ini.

2. Evaluasi hasil kerja Mengukur hasil kerja merupakan salah satu cara untuk mengetahui apakah ada perbedaan dari tindakan yang telah direncanakan. Pengukuran dilakukan dengan memberikan instruksi dan kemudian mengkonfirmasi bahwa setiap tugas diselesaikan sesuai dengan standar yang telah ditetapkan sebelumnya.

3. Memperbaiki kemungkinan perbedaan Revisi merupakan tugas yang penting. Supervisor tidak hanya mengambil tindakan korektif terhadap kecurangan, penipuan, dan pemborosan, namun juga mempunyai wewenang untuk menghukum atau mengkritik karyawan atas kesalahan seperti ketidakhadiran, keterlambatan, dan kegagalan menyelesaikan pekerjaan tepat waktu.

Penelitian yang dilakukan oleh [13] dan [14] menunjukkan hasil bahwa gaya kepemimpinan berpengaruh positif terhadap kepuasan kerja karyawan. Hasil penelitian tersebut memiliki hubungan dengan penelitian penulis karena membahas mengenai pengaruh pengawasan terhadap kepuasan kerja karyawan.

C. Punishment

Punishment/sanksi menurut Mangkunegara [24] adalah ancaman hukuman yang bertujuan untuk memperbaiki kinerja karyawan pelanggar, memelihara peraturan yang berlaku dan memberikan pelajaran kepada pelanggar. Dalam kata lain, punishment merupakan suatu hukuman yang diberikan kepada seseorang setelah dia melakukan perilaku negatif dengan tujuan memperbaiki perilaku negative terebut. Ada beberapa indikator dari punishment diantaranya adalah [25] :

1. Hukuman ringan dengan jenis teguran lisan, teguran tertulis, pernyataan tidak puasa secara tertulis kepada karyawan,

2. Hukuman sedang dengan jenis penundaan kenaikan gaji, pemotongan gaji, penundaan kenaikan jabatan,

3. Hukuman berat dengan jenis pembebasan dari jabatan, pemecatan atau pemutusan hubungan kerja, demosi.

Penelitian yang dilakukan oleh [19] dan [20] menunjukkan hasil bahwa punishment berpengaruh positif terhadap kepuasan kerja karyawan. Hasil penelitian tersebut memiliki hubungan dengan penelitian penulis karena membahas mengenai pengaruh punishment terhadap kepuasan kerja karyawan.

D. Kepuasan Kerja

kepuasan kerja menurut Handoko [26] adalah pendapatan karyawan yang menyenangkan atau tidak mengenai pekerjaannya, perasaan itu terlihat dari perilaku baik karyawan terhadap pekerjaan dan semua hal yang dialami lingkungan kerja. Dengan kata lain, kepuasan kerja adalah sikap emosional yang menyenangkan dan mencintai pekerjaannya [27]. Ada empat faktor yang menjadi indikator kepuasan kerja menurut [19] yaitu sebagai berikut:

1. Upah atau imbalan yang adil dan layak Upah, atau gaji, adalah jumlah total yang diperoleh, dengan mempertimbangkan pekerjaan, jumlah gaji, dan kesesuaian gaji. Menurut hipotesis model motivasi konvensional, penentu utama kepuasan kerja adalah imbalan uang, seperti gaji atau penghasilan. Hal ini dikarenakan banyak bisnis yang menjadikan upah atau gaji sebagai faktor penentu seberapa bahagia pekerjanya dalam bekerja..

2. Penempatan yang tepat berdasarkan keahlian Kebijakan perusahaan atau organisasi mengenai penempatan karyawan adalah untuk mengarahkan kemampuan karyawan pada posisi yang paling sesuai dengan pengetahuan, keterampilan, dan kemampuannya, serta tuntutan jabatan, agar dapat memaksimalkan kepuasan kerja dan produktivitas. Penempatan karyawan merupakan respon dari kebijakan penerimaan karyawan. Konsep penempatan kerja perlu diterapkan secara efektif dan logis agar pekerja dapat menjalankan tugas sesuai dengan bidang pengetahuan atau kompetensi yang dimiliki. Bahkan kreativitas dan inisiatif karyawan dapat tumbuh dengan lingkungan yang tepat, semangat kerja, mentalitas kerja, dan prestasi kerja akan memberikan hasil yang terbaik.

3. Positioning yang tepat berdasarkan keterampilan Kebijakan perusahaan atau organisasi mengenai penempatan pegawai adalah mengarahkan kemampuannya pada jabatan yang paling sesuai dengan pengetahuan, keterampilan, dan kemampuannya, serta tuntutan jabatan tersebut, guna memaksimalkan kepuasan kerja. dan produktivitas. Penempatan pegawai merupakan respon terhadap kebijakan perekrutan pegawai. Konsep penempatan kerja perlu diterapkan secara efektif dan logis agar pekerja dapat memberikan tugas berdasarkan bidang pengetahuan atau kompetensinya. Bahkan kreativitas dan inisiatif karyawan dapat tumbuh dengan lingkungan yang benar, semangat kerja, mentalitas kerja, dan prestasi kerja akan membuahkan hasil yang terbaik.

4. Kepemimpinan dalam organisasi adalah sebuah proses dimana seorang pemimpin memengaruhi dan memberikan contoh kepada pengikutnya dalam upaya mencapai tujuan organisasi. Pemimpin yang baik bukan dilihat dari seberapa banyak orang yang menjadi pengikutnya, bukan juga dilihat dari seberapa lama ia memimpin. Pemimpin yang baik dilihat dari seberapa banyak ia mampu menciptakan sosok pemimpin yang baru. Kepemimpinan menjadi salah satu faktor penting bagi keberhasilan sebuah organisasi.

II. Definisi Operasional

Definisi operasional variabel adalah definisi yang memberi arti pada variabel, menjelaskan tindakan yang akan diambil, atau menyediakan operasi yang diperlukan untuk mengukur variabel. Suatu sifat, sifat, atau nilai suatu barang atau kegiatan dengan variasi tertentu yang telah ditentukan peneliti harus diselidiki dan ditarik kesimpulannya dikenal dengan definisi operasional variabel penelitian. Variabel penulisan pada hakikatnya adalah segala sesuatu, dalam bentuk apapun, yang mempunyai variasi tertentu yang penulis pilih untuk diteliti guna mengumpulkan data dan menarik kesimpulan.

Dalam penelitian ini peneliti mengacu pada definisi variabel operasional sebagai pedoman. Variabel operasional didefinisikan sebagai berikut:

Variabel Penelitian Definisi Operasional Indikator
Gaya Kepemimpinan Transformasional Gaya kepemimpinan adalah cara yang dipergunakan pemimpin dalam mempengaruhi para pengikutnya. Kemampuan mengambil keputusanKemampuan memotivasiKemampuan komunikasiKemampuan mengendalikan diri Tanggugjawab
Pengawasan Pengawasan adalah pemantauan perilaku, kegiatan atau informasi untuk tujuan mengumpulkan informasi, mempengaruhi, menaungi atau mengarahkan Penentuan standar hasil kerja Pengukuran hasil pekerjaanKoreksi terhadap penyimpangan
Punishment Hukuman adalah ancaman hukuman yang bertujuan untuk memperbaiki kinerja karyawan pelanggar, memelihara peraturan yang berlaku dan memberikan pelajaran kepada pelanggar. Hukuman ringanHukuman sedangHukuman berat
Kepuasan Kerja kepuasan kerja adalah sikap emosional yang menyenangkan dan mencintai pekerjaannya. RewardPenempatan yang tepat sesuai keahlianHukumanRekan kerjaKepemimpinan
Table 1. Definisi Operasional Variabel

Methods

Metode penelitian adalah langkah yang dimiliki dan dilakukan oleh peneliti dalam rangka untuk mengumpulkan informasi atau data serta melakukan investigasi pada data yang telah didapatkan tersebut. Penelitian ini merupakan jenis penelitian kuantitatif melalui pendekatan survey. Penelitian ini dilakukan di PT. Young Tree Industries. Sumber data dalam penelitian ini yaitu data primer berupa informasi yang diperoleh dari karyawan PT. Young Tree Industries. Sedangkan data sekundernya bersumber dari literatur seperti jurnal, buku, karya ilmiah dan internet yang berkaitan dengan kegiatan penelitian.

Populasi dalam penelitian ini adalah seluruh karyawan PT. Young Tree Industries. Selanjutnya sampel ditentukan dengan metode non probability sampling. Peneliti melakukan penyebaran kuisioner melalui on the spot atau secara langsung kepada karyawan PT. Young Tree Industries menggunakan teknik accidental sampling. Accidental sampling merupakan teknik penentuan sampel bedasarkan kebetulan, yaitu siapa saja yang secara kebetulan bertemu dengan peneliti dan dianggap cocok sebagai sumber data dapat dijadikan sebagai sampel. Dalam penelitian ini, jika populasi tidak diketahui maka penentuan sampel menggunakan rumus Lemeshow [28]. Sesuai dengan teori yang menyatakan bahwa ukuran sebuah sampel yang layak dalam penelitian adalah antara 30 sampai dengan 500, sehingga pada penelitian ini menggunakan sampel sebanyak 384 responden atau karyawan pada PT. Young Tree Industries yang tersebar menjadi tiga divisi atau departemen yaitu 128 responden dari departemen hotpress, 128 responden dari departemen embos, dan 128 responden dari departemen sablon.

Metode pengumpulan informasi yang dilakukan pada penelitian ini yaitu dengan menyebarkan kuisioner (angket) serta jawaban yang diperoleh dari responden berikutnya akan diukur memakai pengukuran skala linkert dengan pengukuran interval poin 1-5. Teknik analisis data yang digunakan dalam penelitian ini menggunakan statistik, yaitu statistik parametrik dan data yang dianalisis berupa skala rasio atau skala. Sedangkan untuk uji statistik diantaranya uji validitas, uji reliabilitas. Kemudian analisis regresi linier berganda, uji hipotesis dan koefisien determinasi R2. Dalam penelitian ini menggunakan bantuan program software SPSS.

Figure 1.

Keterangan:

n adalah jumlah sampel minimal

z adalah nilai standar dari distribusi normal sesuai tingkat kepercayaan yang diinginkan 95% = 1.96

P adalah prevalensi outcome atau proporsi populasi yang memiliki karakteristik tertentu 50% = 0,5

d adalah tingkat ketelitian 5% = 0,05

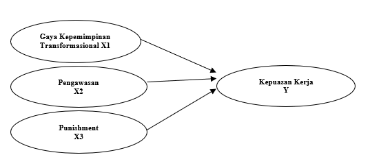
Adapun kerangka konseptual sebagai berikut :

Figure 2. Kerangka konseptual

Dari kerangka konseptual diatas dapat diperoleh hipotesis penelitian sebagai berikut :

H1 : Gaya kepemimpinan transformasionalberpengaruh secara parsial terhadap kepuasan kerja

H2 : Pengawasan berpengaruh secara parsial terhadap kepuasan kerja

H3 : Punishment berpengaruh secara parsial terhadap kepuasan kerja

Result and Discussion

Result

A. Uji Validitas

Setiap item dalam serangkaian pertanyaan dapat diuji kecepatannya melalui uji validitas SPSS untuk memastikan item tersebut up-and-up. Apabila nilai Rhitung lebih besar dari nilai Rtabel, maka indikasi tersebut sah, dan semua pertanyaan serta pernyataan peneliti mengenai hal tersebut dapat diterima.

Variabel Item Rhitung Rtabel Ket
X1.1 0,800 0,196 Valid
Gaya Kepemimpinan Transformasional (X1) X1.2 0,789 0,196 Valid
X1.3 0,803 0,196 Valid
X1.4 0,784 0,196 Valid
X1.5 0,803 0,196 Valid
X2.1 0,629 0,196 Valid
Pengawasan (X2) X2.2 0,790 0,196 Valid
X2.3 0,810 0,196 Valid
X3.1 0,810 0,196 Valid
Punishment (X3) X3.2 0,854 0,196 Valid
X3.3 0,772 0,196 Valid
Y1.1 0,843 0,196 Valid
Kepuasan Kerja (Y) Y1.2 0,752 0,196 Valid
Y1.3 0,843 0,196 Valid
Y1.4 0,752 0,196 Valid
Y1.5 0,823 0,196 Valid
Table 2. Hasil Uji Validitas

Berdasarkan tabel 2 yang telah diolah menggunakan software SPSS, dapat disimpulkan dari uji validasi bahwa keseluruhan instrumen yang digunakan pada setiap variabel valid dan dapat digunakan dalam pengujian selanjutnya.

Uji Reabilitas

Dalam penelitian ini, Cronbach's Alpha digunakan untuk menentukan dapat diandalkan atau tidaknya suatu alat ukur; jika hasilnya lebih dari 0,60, perangkat tersebut dianggap dapat diandalkan. Berikut tabel hasil analisis reliabilitas berbasis SPSS:

Variabel Cronbach’s Alpha Ket
X1 0,803 Realible
X2 0,822 Realible
X3 0,735 Realible
Y 0,798 Realible
Table 3. Hasil Uji Reabilitas

Dari tabel 3 yang telah diolah menggunakan software SPSS, hasil uji realibilitas menunjukkan bahwa setiap indicator pada variabel dinyatakan realible.

Uji Parsial (Uji T)

Uji T digunakan untuk mengetahui ada tidaknya pengaruh dari setiap variabel independen terhadap variabel dependen yang di uji pada taraf signifikan 0,05 atau 5%. Secara teknis pengujiannya dilakukan perbandingan antara nilai T hitung dengan nilai T tabel. Untuk mengetahui pengaruh variabel X terhadap variabel Y dapat di lihat pada Tabel 4 di bawah ini.

Hipotesis Thitung Sig. Hasil
H1 2,188 0,031 H1 Diterima
H2 4,856 0,000 H2 Diterima
H3 5,395 0,000 H3 Diterima
Table 4. Hasil Uji Parsial (T)

Tabel 4 menunjukkan bahwa setelah dilakukan analisis SPSS, hipotesis (H1), (H2), dan (H3) semuanya diterima. Hal ini menunjukkan bahwa X1, X2, dan X3 masing-masing memberikan kontribusi terhadap pengaruh total yang diberikan pada Y.

Analisis Regresi Linier Berganda

Untuk mengetahui sifat dan besarnya pengaruh suatu variabel independen terhadap variabel dependen digunakan analisis regresi linier berganda.

Coefficientsa
Model Unstandardized Coefficients t Sig. Collinearity Statistics Ket
B Std. Error Tolerance VIF
1 (Constant) 0,872 1,138 0,766 0,445
Gaya Kepemimpinan Transformasional (X1) 0,134 0,061 2,188 0,031 0,694 0,694 Signifikan
Pengawasan (X2) 0,320 0,066 4,856 0,000 0,518 0,518 Signifikan
Punishment (X3) 0,541 0,100 5,395 0,000 0,516 0,516 Signifikan
Table 5. Hasil Uji Regresi Linier Berganda

Y= 0,872 + 0,134 X1 + 0,320 X2 + 0,541 X3

1) Nilai konstanta persamaan ini adalah 0,872. Hal ini menunjukkan bahwa jika X1, X2, dan X3 semuanya bernilai nol, maka Y akan selalu sama dengan 0,872.

2) Signifikansi hubungan X1 dengan Y ditunjukkan dengan nilai koefisien regresinya sebesar 0,134. Tanda positif dari koefisien regresi linier menunjukkan bahwa hanya ada satu arah pengaruh antara X1 dan Y; maka kenaikan satu satuan pada X1 akan mengakibatkan kenaikan sebesar 0,134 satuan pada Y.

3) Signifikansi hubungan X2 dengan Y ditunjukkan dengan nilai koefisien regresinya sebesar 0,320. Tanda positif dari koefisien regresi linier menunjukkan adanya hubungan searah antara X2 dengan Y; kenaikan satu satuan pada X2 akan mengakibatkan kenaikan Y sebesar 0,320 satuan.

4) Signifikansi hubungan X3 dengan Y ditunjukkan dengan nilai koefisien regresinya sebesar 0,541. Koefisien regresi linier positif menunjukkan adanya hubungan searah antara X3 dan Y; khususnya, peningkatan satu unit pada X3 menghasilkan kenaikan Y sebesar 0,541%

Uji Koefisien Determinasi R2

Seberapa baik suatu model menggambarkan fluktuasi variabel terikat diukur dengan koefisien determinasinya (R2). Koefisien determinasi dapat dicari dari nol sampai satu. Jika nilainya mendekati 1 (satu), maka secara praktis seluruh informasi yang diperlukan untuk mengantisipasi perubahan variabel terikat dapat diperoleh dari variabel bebas saja. Bila R2 mendekati 1 berarti seluruh faktor independen mempunyai pengaruh yang signifikan terhadap variabel dependen.

Model Summary b
Model R R Square Change Statistics
df1 df2 Durbin-Watson
1 0,813a 0,681 3 380 1,599
Table 6. Hasil Uji Koefisien Determinasi

Berdasarkan tabel 6 yang telah diolah menggunakan software spss, nilai R² semakin mendekati 100% berarti semakin besar pengaruh semua variabel bebas terhadap variabel terikat. Adapun rumus Koefisien determinasi sebagai berikut KP= r2 x 100% = 0,681 x 100 = 68,1% dipengaruhi X1, X2, X3 sedangkan sisanya 100-68,1=31,9% dipengaruhi oleh variabel lain.

Discussion

Berdasarkan analisis data pengujian SPSS, kesimpulan berikut diambil:

Terdapat Pengaruhantara Gaya KepemimpinanTransformasional terhadap KepuasanKerja

Secara parsial variabel gaya kepemimpinan berpengaruh positif terhadap kepuasan kerja karyawan PT. Youngtree Industries, Tbk. Variabel gaya kepemimpinan juga merupakan variable paling berpengaruh dalam penelitian ini. Hal ini disebabkan karena gaya kepemimpinan seorang leader dalam memimpin bawahannya sangat baik sehingga karyawan akan merasa puas saat bekerja. Indikator kemampuan mengambil keputusan mempengaruhi kepuasan kerja karena leader atau atasan PT. Youngtree Industries memiliki kemampuan dalam proses penyelesaian masalah dengan metode pengambilan keputusan dari dua pilihan yang memungkinkan, indicator kemampuan memotivasi mempengaruhi kepuasan kerja karena leader atau atasan PT. Youngtree Industries memiliki kemampuan yang menginspirasi, mempengaruhi dan memotivasi karyawan untuk mencapai tujuan bersama. Indicator kemampuan memotivasi merupakan indicator paling dominan dalam variable gaya kepemimpinan, indikator kemampuan komunikasi mempengaruhi kepuasan kerja karena leader atau atasan PT. Youngtree Industries memiliki kemampuan pemimpin dalam proses penyampaian informasi yang berisi pesan, ide, gagasan dari satu pihak (komunikator) kepada pihak lain (komunikan), Indikator kemampuan mengendalikan diri mempengaruhi kepuasan kerja karena leader atau atasan PT. Youngtree Industries memiliki merupakan suatu kemampuan yang harus dimikili pemimpin dan upaya untuk mengatur, membimbing, serta mengarahkan segala bentuk tindakan dalam diri untuk menuju ke tindakan yang positif, dengan kata lain, membentuk pengendalian emosi dalam diri individu, Indikator kemampuan mengendalikan diri menjadi indicator terlemah dalam variable gaya kepemimpinan. Indikator tanggungjawab mempengaruhi kepuasan kerja karena leader atau atasan PT. Youngtree Industries memiliki kemampuan melakukan semua tugas dan kewajibannya dengan sungguh-sungguh.

Hasil ini didukung oleh penelitian yang dilakukan oleh [8] dan [9] menunjukkan hasil bahwa gaya kepemimpinan berpengaruh positif terhadap kepuasan kerja karyawan. Hasil penelitian tersebut memiliki hubungan dengan penelitian penulis karena membahas mengenai pengaruh gaya kepemimpinan terhadap kepuasan kerja karyawan.

Terdapat Pengaruh antara Pengawasan terhadap Kepuasan Kerja

Secara parsial variabel pengawasan berpengaruh positif terhadap kepuasan kerja karyawan PT. Youngtree Industries, Tbk. Hal ini disebabkan karena pengawasan yang baik dan terarah akan berdampak pada kepuasan kerja karyawan. Indikator menetapkan standar hasil kerja mempengaruhi kepuasan kerja karena leader atau atasan PT. Youngtree Industries melakukan pengawasan keprilakuan hasil kerja pegawai agar semangat dan disiplin kerja. Indikator menetapkan standar hasil kerja menjadi indicator paling dominan dalam variable pengawasan. Indikator evaluasi hasil kerja mempengaruhi kepuasan kerja karena leader atau atasan PT. Youngtree Industries memberikan instruksi dan memeriksa setiap pekerjan yang dilakukan pegawai. Indikator memperbaiki kemungkinan perbedaan revisi mempengaruhi kepuasan kerja karena leader atau atasan PT. Youngtree Industries selalu melakukan langkah perbaikan penyimpangan, penyelewengan, dan pemborosan pada pegawai. Indikator memperbaiki kemungkinan perbedaan revisi menjadi indicator terlemah dalam variable pengawasan.

Hasil ini didukung oleh penelitian yang dilakukan oleh [11] dan [12] menunjukkan hasil bahwa gaya kepemimpinan berpengaruh positif terhadap kepuasan kerja karyawan. Hasil penelitian tersebut memiliki hubungan dengan penelitian penulis karena membahas mengenai pengaruh pengawasan terhadap kepuasan kerja karyawan.

Terdapat Pengaruh antara Punishment terhadap Kepuasan Kerja

Secara parsial variabel punishment berpengaruh positif terhadap kepuasan kerja karyawan PT. Youngtree Industries, Tbk. Hal ini disebabkan karena dengan pemberian punishment kepada karyawan yang melakukan kesalahan, maka akan berdampak pada kepuasan kerja kayawan itu sendiri. Indikator hukuman ringan mempengaruhi kepuasan kerja karena leader atau atasan PT. Youngtree Industries memberikan hukuman ringan dengan jenis teguran lisan, teguran tertulis, pernyataan tidak puasa secara tertulis kepada karyawan bersangkutan yang telah melakukan pelanggaran ringan. Indikator hukuman ringan menjadi indicator paling dominan dalam variable punishment. Indikator hukuman sedang mempengaruhi kepuasan kerja karena leader atau atasan PT. Youngtree Industries memberikan hukuman sedang berupa jenis penundaan kenaikan gaji, pemotongan gaji, penundaan kenaikan jabatan kepada karyawan bersangkutan yang telah melakukan pelanggaran sedang. Indikator hukuman berat mempengaruhi kepuasan kerja karena leader atau atasan PT. Youngtree Industries memberikan hukuman berupa pembebasan dari jabatan, pemecatan atau pemutusan hubungan kerja, demosi kepada karyawan bersangkutan yang telah melakukan pelanggaran berat. Indikator hukuman berat menjadi indicator terlemah dalam variable punishment.

Penelitian yang dilakukan oleh [17] dan [18] menunjukkan hasil bahwa punishment berpengaruh positif terhadap kepuasan kerja karyawan. Hasil penelitian tersebut memiliki hubungan dengan penelitian penulis karena membahas mengenai pengaruh punishment terhadap kepuasan kerja karyawan.

Conclusion

Berdasarkan hasil penelitian dan pembahasan mengenai pengaruh gaya kepemimpinan, pengawasan, dan punishment terhadap kepuasan kerja karyawan PT. Youngtree Industries dengan teknik pengumpulan data menggunakan angket/kuesioner kepada 384 responden yang disimpulkan bahwa:

Hasil penelitian menunjukkan bahwa gaya kepemimpinan berpengaruh positif signifikan secara parsial terhadap kepuasan kerja. Variabel gaya kepemimpinan juga merupakan variable paling berpengaruh dalam penelitian ini.

Hasil penelitian menunjukkan bahwa pengawasan berpengaruh positif signifikan secara parsial terhadap kepuasan kerja.

1. Gaya Kepemimpinan Transformasional berpengaruh positf terhadap Kepuasan Kerja

2. Pengawasan berpengaruh positf terhadap Kepuasan Kerja

3. Punishment berpengaruh positf terhadap Kepuasan Kerja

References

D. S. Harahap and H. Khair, “Pengaruh Pencurian Terhadap Masyarakat Sekitar,” Maneggio J. Ilm. Magister Huk., vol. 2, no. 1, pp. 69–88, 2020.

A. Rivai, “Pengaruh Kepemimpinan Transformasional dan Budaya Organisasi Terhadap Kinerja Karyawan,” J. Publ. Manaj. Inform., vol. 1, no. 1, pp. 85–95, 2022, doi: 10.55606/jupumi.v1i1.243.

G. F. Saragih and R. Saragih, “Pengaruh Gaya Kepemimpinan dan Kerjasama Tim Terhadap Kepuasan Kerja Karyawan PT. Len Industri (Persero),” J. Divers., vol. 6, no. 2, pp. 105–114, 2020, doi: 10.31289/diversita.v6i2.4047.

D. A. Ditya and K. A. Kusuma, “Pengaruh Kompensasi, Stres Kerja dan Kepuasan Kerja Terhadap Kinerja Karyawan PT. Wangsa Manunggal Jaya Perkasa,” Innov. Technol. Methodical Res. J., vol. 3, no. 2, pp. 1–7, 2023, doi: 10.47134/innovative.v3i2.17.

M. Nurpratama and A. Yudianto, “Pengaruh Gaya Kepemimpinan Transformasional dan Fasilitas Kerja Terhadap Kepuasan Kerja Pada Pegawai KPU Kabupaten Indramayu,” J. Investasi, vol. 8, no. 1, pp. 36–46, 2022, doi: 10.31943/investasi.v8i1.184.

W. S. Jaya, “Kinerja Guru Ditinjau dari Gaya Kepemimpinan Kepala Sekolah dan Motivasi Kerja,” J. Obs. J. Pendidik. Anak Usia Dini, vol. 6, no. 3, pp. 1286–1294, 2021, doi: 10.31004/obsesi.v6i3.1738.

A. Lazwar Irhami and D. Andriani, “Pengaruh Gaya Kepemimpinan Transformasional, Lingkungan Kerja Fisik, dan Disiplin Kerja Terhadap Kepuasan Kerja Karyawan di Q-Bar Coffee Lamongan,” J. Ilm. Manaj. dan Kewirausahaan, vol. 1, no. 3, pp. 454–461, 2022, doi: 10.55606/jimak.v1i3.549.

D. Andriani, “Pengaruh Gaya Kepemimpinan Transformasional, Budaya Organisasi dan Lingkungan Kerja Terhadap Kinerja Karyawan PT. 'X' Sidoarjo,” J. Bisnis, Manaj. dan Perbankan, vol. 2, no. 2, pp. 121–140, 2016, doi: 10.21070/jbmp.v2i2.1098.

A. Wicaksana, “Gaya Kepemimpinan Transaksional dan Gaya Kepemimpinan Transformasional,” Medium, vol. 2, no. 1, pp. 20–32, 2016, [Online]. Available: https://medium.com/@arifwicaksanaa/pengertian-use-case-a7e576e1b6bf.

S. Mukmin, “Pengaruh Gaya Kepemimpinan Transformasional dan Budaya Organisasi Terhadap Kinerja Karyawan Melalui Kepuasan Kerja Karyawan Sebagai Variabel Intervening,” J. Manajerial Bisnis, vol. 4, no. 2, pp. 123–136, 2021, doi: 10.37504/jmb.v4i2.297.

N. M. Gunawan and A. A. Sriathi, “Pengaruh Stres Kerja, Komitmen Organisasional, dan Gaya Kepemimpinan Terhadap Kepuasan Kerja Karyawan,” E-Jurnal Manaj. Univ. Udayana, vol. 8, no. 9, p. 5344, 2019, doi: 10.24843/ejmunud.2019.v08.i09.p01.

K. Ali, Agustian, and D. Wijaya, “Analisis Pengaruh Budaya Organisasi dan Gaya Kepemimpinan Terhadap Kepuasan Kerja untuk Meningkatkan Kinerja Karyawan di Rumah Sakit Muhammadiyah Metro,” J. Ilm. FE-UMM, vol. 12, no. 2, pp. 7–15, 2018.

E. Putri and I. Namora, “Pengaruh Budaya Kerja Terhadap Kinerja Karyawan,” J. Ilm. Manaj., vol. 7, pp. 23–36, 2019.

S. Sutedi, W. Prahiawan, and H. Nupus, “Pengaruh Komitmen Organisasi dan Pengawasan Terhadap Disiplin Pegawai Melalui Kepuasan Kerja Sebagai Variabel Intervening (Studi pada Koperasi Simpan Pinjam Makmur Mandiri Cabang Kota Tangerang),” J. Ris. Bisnis dan Manaj. Tirtayasa, vol. 5, no. 1, pp. 84–97, 2021, [Online]. Available: https://jurnal.untirta.ac.id/index.php/JRBM.

M. Muspita, D. Utami, and K. Kerja, “Pengaruh Pengawasan dan Kompetensi Terhadap Kepuasan Kerja Karyawan pada PT. East West Seed Indonesia,” J. Manaj., vol. 16, no. 2, pp. 97–106, 2015.

F. N. Widiany and H. H. Setiawan, “Pengaruh Disiplin Kerja, Reward dan Punishment Terhadap Kinerja Karyawan Pada Hotel California Bandung,” J. Ilm. Manaj., vol. 8, no. 2, pp. 8–28, 2019.

S. X. Mentang, “Pengaruh Reward dan Punishment Terhadap Motivasi Karyawan serta Implikasinya Terhadap Kinerja,” Juima J. Ilmu Manaj., vol. 22, no. 1, pp. 1–14, 2021.

L. F. Wijaya, “Sistem Reward dan Punishment sebagai Pemicu dalam Meningkatkan Kinerja Karyawan,” J. Ilmu Komputer, Ekon. dan Manaj., vol. 1, no. 2, pp. 1–11, 2021.

“YOLANDA.pdf,” [Online]. Available: [link].

P. Studi, M. Fakultas, E. Dan, and U. M. Magelang, “Pengaruh Reward dan Punishment Terhadap Kinerja Karyawan,” J. Ilm. Ekon., vol. 2022, no. 1, pp. 1–10, 2022.

A. Azizah, H. Halin, and S. Lazuarni, “Pengaruh Reward, Punishment dan Disiplin Kerja Terhadap Job Satisfaction Pada Perawat Instalasi Rawat Inap Rumah Sakit Myria Palembang,” J. Bisnis, Manaj., dan Ekon., vol. 4, no. 3, pp. 192–202, 2023, doi: 10.47747/jbme.v4i3.1180.

D. Andriani and R. Redita Ramadhani, “Pengaruh Kepemimpinan Transformasional, Lingkungan Kerja dan Insentif Terhadap Disiplin Kerja pada Koperasi Serba Usaha Tunas Setia Baru Kabupaten Pasuruan,” J. Ilm. Manaj. dan Kewirausahaan, vol. 2, no. 1, pp. 1–11, 2022, doi: 10.55606/jimak.v2i1.596.

I. Sriwahyuni, A. Said, and N. Mustari, “Pengaruh Pengawasan Terhadap Kinerja Pegawai di Kantor Kecamatan Bontonompo Kabupaten Gowa,” Kimap, vol. 2, no. 5, pp. 1–17, 2021.

K. Hanifah, “Pengaruh Reward dan Punishment Terhadap Disiplin Kerja Karyawan di PT. Abasando Prima Indonesia,” Univ. Komput. Indones., 2020, [Online]. Available: https://ejournal.poltektegal.ac.id/index.php/siklus/article/view/298.

R. O. Riansyah, “Pengaruh Reward dan Punishment Terhadap Kinerja Karyawan Pada PT. Sabda Murni,” J. Ilm. Ekon. Bisnis, vol. 7, no. 3, pp. 253–263, 2021.

M. Y. Rahman and R. Arifin, “Pengaruh Gaya Kepemimpinan Terhadap Kinerja Karyawan pada Hotel Bintang 3 di Semarang,” J. Manaj. dan Kewirausahaan, vol. 5, no. 1, pp. 1–15, 2021.

“JURNAL ANALISIS,” E-Jurnal Hukum Dosen UMT, vol. 1, no. 1, pp. 1–8, 2020.

K. J. Archer and S. Lemeshow, “Goodness-of-Fit Test for a Logistic Regression Model Fitted Using Survey Sample Data,” Stata J., vol. 6, no. 1, pp. 97–105, 2006, doi: 10.1177/1536867x0600600106.