Login
Section Accounting System

OHS, Organizational Culture, and Employee Engagement in Production Performance

K3, Budaya Organisasi, dan Employee Engagement pada Kinerja Produksi
Vol. 20 No. 1 (2025): February :

Fajar Krisna Prahadi (1), Dewi Andriani (2)

(1) Program Studi Manajemen Universitas Muhammadiyah Sidoarjo, Indonesia
(2) Program Studi Manajemen Universitas Muhammadiyah Sidoarjo, Indonesia

Abstract:

General Background: Employee performance in industrial production activities is closely related to workplace safety and human resources management. Specific Background: Production performance in PT Japfa Comfeed Indonesia showed fluctuations and reduced achievement, which may be associated with safety, working culture and employee motivation. Knowledge Gap: Previous studies reported inconsistent findings regarding the relationship between occupational safety, organizational culture, employee engagement and performance. Aims: This research examines the significance of occupational health and safety, organizational culture and employee engagement toward employee performance. Results: Using multiple linear regression with 78 respondents, all three variables significantly and positively contribute to employee performance, both partially and simultaneously. Novelty: This study reassesses previous inconsistent studies by presenting empirical evidence from the production environment of PT Japfa Comfeed Indonesia. Implications: Findings provide practical recommendations for strengthening workplace safety, organizational culture and employee involvement in industrial settings.


Highlights:
• Positive contribution of K3
• Organizational culture reinforcement
• Engagement role in production performance


Keywords: Occupational Health and Safety, Organizational Culture, Employee Engagement, Employee Performance, Production

Downloads

Download data is not yet available.

Pendahuluan

Suatu bidang industri diciptakan untuk beberapa tujuan. Pertama, untuk memperluas lapangan pekerjaan pada suatu sektor. Kedua, untuk menciptakan sebuah variasi dalam sebuah produk dengan tujuan menciptakan sebuah inovasi di segmennya. Dan yang ketiga, bidang usaha didirikan untuk memposisikan sebagai main role atau pendukung dari antar perusahaan dalam suatu pasar. Dibutuhkan sebuah pembeda agar bisa bertahan mengikuti perkembangan zaman di era Industri. Agar tidak terjadi adanya “kejenuhan pasar” hingga pada akhirnya salah satu faktor yang terlibat adalah kualitas SDM atau kinerja karyawan. Hal itu dikarenakan karena peran SDM memiliki peran yang sangat penting dalam menjalankan roda suatu usaha ataupun industri.. Bagaimana karyawan bekerja dan berperilaku yang baik dalam perusahaan akan menentukan nasib sebuah perusahaan di masa yang akan datang. Para karyawan diharapkan menjalankan semua tugas - tugasnya dengan baik.

Pada penelitian ini, peneliti melihat masalah yang serius pada seluruh kegiatanya yang berada di bagian produksi dapat menimbulkan adanya sebuah risiko bencana ataupun kecelakaan kerja kapan dan dimana saja, akan tetapi karyawan sudah dapat menanganinya yaitu dengan memakai alat pelindung diri yang lengkap, dan pihak perusahaan memberikan program, pendidikan serta pelatihan K3, penciptaan lingkungan kerja yang sehat, pelayanan kebutuhan karyawan, dan pelayanan kesehatan dan membuat kondisi kerja yang aman. Keselamatan dan kesehatan kerja adalah perlindungan atas keamanan kerja yang dialami pekerja, baik fisik maupun mental dalam lingkungan pekerjaannya [1]. Kesehatan kerja adalah kondisi yang merujuk pada kondisi fisik dan stabilitas emosi secara umum. Individu yang sehat adalah individu yang bebas dari penyakit [2]. secara tidak langsung keselamatan dan kesehatan karyawan dapat mempengaruhi kinerja karyawan. Sangat sering dijumpai di perusahaan-perusahaan negara berkembang yang mengabaikan masalah keselamatan dan kesehatan kerja yang dapat menimbulkan kecelakaan kerja bagi karyawannya. Selain itu employee engagementjuga menjadi faktor penting kinerja karyawan.

Employee engagement ini dihubungkan dengan beragam konsekuensi bisnis yang lebih besar, misalnya lebih gigih dalam berupaya, kinerja yang lebih lebih baik, dan turnover yang menurun [3]. Keterikatan dianggap sebagai elemen penting, ketika seorang karyawan telah merasa terikat terhadap perusahaan maka karyawan tersebut akan merasa puas dan dapat berkomitmen terhadap perusahaan serta memberikan upaya yang lebih untuk kemajuan perusahaan atau bahkan merekomendasikan tempat kerjanya kepada orang lain. Dalam survey yang dilakukan oleh peneliti, hasil dari kinerja karyawan Bagian produksi atau jumlah pencapaian target produksi yang menurun di bulan Januari hingga Juni tahun 2020 dan 2021, dengan hasil produksi yang fluktuatif atau tidak stabil, disebabkan oleh faktor keselamatan dan kesehatan kerja, pergantian shift yang membuat karyawan kelelahan. Hal tersebut mengakibatkan kinerja karyawan menurun dan hasil kinerja tersebut dapat dilihat dari pencapaian produksi pada tabel dibawah ini.

No. Bulan Target Realisasi Persentase
(dalam meter) (dalam meter) %
1. Januari 3.660.000 3.050.000 83
2. Febuari 3.660.000 3.180.040 87
3. Maret 3.660.000 3.444.434 94
4. April 3.660.000 3.415.093 93
5. Mei 3.660.000 3.347.908 91
6. Juni 3.660.000 2.259.749 62
7. Juli 3.660.000 3.050.000 83
8. Agustus 3.660.000 2.782.000 76
9. September 3.660.000 2.882.000 79
10. Oktober 3.660.000 3.010.000 82
11. November 3.660.000 3.040.000 83
12. Desember 3.660.000 2.930.000 80
Table 1. Target dan Realita Produksi Karung Plastik PT. Japfa Comfeed Indonesia Wonoayu – Sidoarjo Tahun 2020

Sumber: Bagian HRD, PT. Japfa Comfeed Indonesia, Tbk, 2021.

Berdasarkan ketidakstabilan hasil produksi yang dicapai, masalah kecelakaan kerja dan penelitian terdahulu yang menitikberatkan permasalahan pada K3 (Kesehatan dan Keselamatan Kerja), Budaya Organisasi dan Employee Engagement peneliti tertarik untuk meneliti perusahaan PT. Japfa Comfeed Indonesia di Wonoayu Sidoarjo agar mengkaji ulang penelitian terdahulu dan permasalahan yang harus diselesaikan pada perusahaan, selain fenomena yang terjadi dilapakan terdapat inkonsistensi hasil penelitian terdahulu dengan judul yang sama seperti penelitian ini. Berikut ini hasil penelitian dimana terdapat inkonsistensi terhadap hasil penelitian yang di sebut research Gap. Berikut ini research Gap: yang dapat dijelaskan dalam bentuk tabel:

    Research Gap

    Issue Peneliti Kesenjangan Hasil
    Ada perbedaan pengaruh K3 (Kesehatan dan Keselamatan) terhadap kinerja karyawan Chusnul Chotimah (2018) K3 (Keselamatan Dan Kesehatan Kerja) berpengaruh terhadap kinerja karyawan
    Vani Kenanga Nan Wangi, Eloh Bahiroh dan Ali Imron (2020) K3 (Keselamatan Dan Kesehatan Kerja) tidak berpengaruh terhadap kinerja karyawan
    Ada perbedaan budaya organisasi terhadap kinerja karyawan Dewi Andriani (2016) Budaya organisasi berpengaruh terhadap kinerja karyawan
    Fimce Masambe, Agus S. Soegoto, dan Jacky Sumarauw (2015) Budaya organisasi terhadap kinerja karyawan tidak berpengaruh signifikan
    Ada perbedaan pengaruh employee engangement terhadap kinerja karyawan Agnes Wahyu Handoyo dan Roy Setiawan (2017) Hasil employee engangement berpengaruh terhadap Kinerja Karyawan.
    Vinca Regina Letsoin dan Sri Langgeng Ratnasari (2020) employee engangement tidak berpengaruh signifikan terhadap kinerja
    Table 2.

    Sumber: olah peneliti, 2022

    Kesenjangan atau inkonsistensi dalam hasil penelitian terdahulu (research gap) antara variabel K3 (keselamatan dan kesehatan kerja) , budaya organisasi, dan employee engangement terhadap kinerja karyawan. Hal ini menunjukkan suatu perbedaan terhadap penelitian terdahulu yang menunjukkan belum jelas. Hasil penelitian dari [4] menyatakan K3 (Keselamatan Dan Kesehatan Kerja) berpengaruh terhadap kinerja karyawan. Sedangkan hasil yang berbeda diperoleh dari penelitian [5] yang menyatakan K3 (Keselamatan Dan Kesehatan Kerja) tidak berpengaruh terhadap kinerja karyawan.

    Budaya Organisasi berpengaruh terhadap kinerja karyawan merupakan hasil yang diperoleh dari penelitian Andriani (2016), Sedangkan penelitian dari [6] mendapatkan hasil yang berbeda yakni budaya organisasi tidak berpengaruh terhadap kinerja karyawan. Employee engangement berpengaruh terhadap kinerja karyawan merupakan hasil yang diperoleh dari penelitian [7] serta hasil sebaliknya yakni employee engangement tidak berpengaruh terhadap kinerja karyawan dari penelitian [8]

    Berdasarkan tabel 1 yaitu tentang Target dan Realita Produksi Karung Plastik PT. Japfa Comfeed Indonesia Wonoayu-Sidoarjo Tahun 2020 yang menggambarkan kinerja karyawan yang belum maksimal, dan tabel 2 tentang research gap dari inkosistensi hasil penelitian terdahulu maka peneliti ingin mengetahui faktor-faktor yang mempengaruhi kinerja karyawan dan mengkaji ulang penelitian terdahulu dengan variabel yang sama namun hasil penelitian berbeda maka peneliti memutuskan pengambilan judul yaitu dengan judul K3 (Kesehatan Dan Keselamatan Kerja), Budaya Organisasi, Dan Employee Engagement Terhadap Kinerja Karyawan Bagian Produksi Pada PT. Japfa Comfeed Indonesia, Tbk di Wonoayu – Sidoarjo

    1.1 Rumusan Masalah: Penerapan Kesehatan & Keselamatan Kerja/K3 , Budaya organisasi dan Employee Engagement terhadap kinerja karyawan Bagian Produksi Pada PT. Japfa Comfeed Indonesia, Tbk di Wonoayu – Sidoarjo .

    1.2 Pertanyaan Penelitian: Apakah ada pengaruh Kesehatan & Keselamatan Kerja/K3 , Budaya organisasi dan Employee Engagement terhadap kinerja karyawan Bagian Produksi Pada PT. Japfa Comfeed Indonesia, Tbk di Wonoayu – Sidoarjo .

    1.3 Kategori SDGs: Termasuk didalam kategori SDGs 9 yaitu Industry, Innovation and Infrastructure.

    Metode Penelitian

    2.1 Kerangka Konseptual

    Faktor yang mempengaruhi kinerja karyawan (Y) sebagai variabel terikat, yaitu Kesehatan & Keselamatan Kerja/K3 (X1), Budaya organisasi(X2) dan Employee Engagement sebagai variabel bebas (X3). Dalam memberikan kemudahan informasi tentang kerangka konseptual penelitian, dapat dilihat pada gambar 1:

    Figure 1.

    Keterangan :

    _ _ _ _ _ _ _: Kerangka konseptual secara simultan

    2.2 Hipotesis

    Berdasarkan rumusan masalah dan pokok permasalahan diatas, maka diajukan hipotesis sebagai berikut :

    H1: Menghasilkan pengaruh Kesehatan & Keselamatan Kerja/K3 terhadap kinerja karyawan Bagian Produksi Pada PT. Japfa Comfeed Indonesia, Tbk di Wonoayu – Sidoarjo .

    H2: Menghasilkan pengaruh budaya organisasi terhadap kinerja karyawan Bagian Produksi Pada PT. Japfa Comfeed Indonesia, Tbk di Wonoayu – Sidoarjo .

    H3: Menghasilkan pengaruh Employee Engagement terhadap kinerja karyawan Bagian Produksi Pada PT. Japfa Comfeed Indonesia, Tbk di Wonoayu – Sidoarjo .

    H4: Menghasilkan pengaruh Kesehatan & Keselamatan Kerja/K3 , budaya organisasi dan Employee Engagement terhadap kinerja karyawan Bagian Produksi Pada PT. Japfa Comfeed Indonesia, Tbk di Wonoayu – Sidoarjo .

    2.3 Jenis Penelitian

    Penelitian ini memiliki tujuan untuk memperoleh hasil yang sebenar-benarnya serta informasi pengetahuan yang memiliki sifat objektif dalam mengikuti kebijakan metodologi penelitian yang telah dipraktikkan. Penelitian ini menggunakan jenis metode penelitian kuantitatif, karena penelitian ini menggunakan data berupa angka yang nantinya dianalisis menggunakan alat statistik [1]. Maksud dari penelitian dengan menggunakan metode kuantitatif bertujuan untuk membuktikan apakah antar variabel memiliki hubungan yang berpengaruh atau tidak serta meningkatkan teori dan hipotesis yang berhubungan dengan munculnya fenomena alam yang terjadi.

    2.4 Lokasi Penelitian

    Peneliti tersebut meneliti di Perusahaan PT. Japfa Comfeed Indonesia, Tbk yang berlokasi di Jl. Raya Popoh, Desa Semambung Lor, Wonoayu, Kabupaten Sidoarjo, Jawa Timur.

    Populasi dan Sampel

    2.5.1 Populasi

    Menurut [1] populasi merupakan suatu hal yang telah ditetapkan oleh peneliti yang terdiri dari objek dan subjek yang mempunyai karakteristik dan kualitas yang berbeda untuk dijadikan bagian dari penelitian. Populasi dalam penelitian ini adalah seluruh karyawan Bagian produksi PT. Japfa Comfeed Indonesia, Tbk di Wonoayu Sidoarjo yang berjumlah 360 karyawan.

    2.5.2Sampel

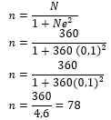
    Pengumpulan sampel pada penelitian ini dilaksanakan dengan menggunakan teknik nonprobability sampling dengan tekning pengambilan sampel teknik purposive sampling adalah teknik pengambilan sampel yang memiliki karakteristik tertentu dengan pertimbangan sebelumnya. Sampel penelitian ini memiliki ciri-ciri yakni responden yang mengerjakan produksi. Untuk menentukan berapa minimal sampel yang dibutuhkan jika ukuran populasi sudah diketahui, maka menggunakan rumus slovin yang merupakan rumus untuk menghitung jumlah minimal sampel dari keseluruhan populasi, [9]. Berikut ini adalah perhitungan jumlah sampel dengan menggunakan rumus slovin.

    Figure 2.

    Dengan: n: sampel

    N: populasi

    e2: standar error 0,1

    Berdasarkan hasil dari perhitungan sampel dengan rumus slovin maka jumlah sampel dalam penelitian ini adalah 78 orang bagian produksi pada PT. Japfa Comfeed Indonesia. Tbk di Wonoayu Sidoarjo.

    Jenis Dan Sumber Data

    Jenis Data, Penelitian ini mempergunakan jenis data kuantitatif, yaitu data penelitian yang berupa angka yang akan di analisis dengan menggunakan statistik [1].

    2.6.1 Data Primer

    Data primer pada penelitian ini berasal dari data jawaban dari responden mengenai Pengaruh Kesehatan & Keselamatan Kerja/K3 , budaya organisasi dan Employee Engagement terhadap kinerja karyawan bagian produksi dimana mengumpulkan jawaban kuisioner di PT. Japfa Comfeed Indonesia. Tbk di Wonoayu Sidoarjo.

    2.6.2 Data Sekunder

    [1] Memaparkan bahwa data sekunder adalah sumber data yang tidak menerima dengan cara langsung dari tempat penelitian dilaksanakan. Data sekunder pada penelitian yang dilakukan ini didapatkan dari jurnal penelitian terdahulu yang masih berkaitan pada penelitian yang dilakukan.

    2.6.3 Sumber Data, Sumber data merupakan subyek dari data mana yang diperoleh. [1] Dalam Penelitian ini menggunakan sumber data primer yaitu : Data Primer, Data primer adalah sebuah data yang diperoleh langsung dari sumber pertama pada objek penelitian. Data primer penelitian ini bersumber dari data responden didapatkan dari mengumpulkan kuisioner orang bagian produksi pada PT. Japfa Comfeed Indonesia. Tbk di Wonoayu Sidoarjo

    Teknik Pengumpulan Data

    Pada penelitian yang dilakukan ini pengumpulan datanya menggunakan kuisioner sesuai kriteria antara tingkat atau skala pengukuran dalam pengumpulan data. Menurut [1] kuisioner merupakan metode dalam mengumpulkan data berupa pertanyaan tertulis dalam sifat tertutup maupun terbuka yang diberikan kepada seorang responden secara langsung atau melalui media sosial dan ditujukan untuk dijawab sesuai dengan keinginan responden yang bertujuan untuk menggali informasi yang berhubungan dengan variabel (X), dan variabel (Y). Variabel tersebut akan diukur mrnggunakan skala Likert yang diukur dan dijabarkan menjadi indikator variabel. kemudian indikator tersebut dipilih sebagai tolak ukur untuk menyusun item instrumen berupa pernyataan atau pertanyaan. Dalam penelitian ini menggunakan metode kuantitatif, maka setiap jawaban diberi skor sebagai berikut :

    a. Nilai bobot 1 untuk jawaban Sangat Tidak Setuju (STS)

    b. Nilai bobot 2 jawaban Tidak Setuju (TS)

    c. Nilai bobot 3 untuk jawaban Netral (N)

    d. Nilai bobot 4 untuk jawaban Setuju (S)

    e. Nilai bobot 5 untuk jawaban Sangat Setuju (SS)

    Berdasarkan indikator variabel maka ditentukan total pertanyaan yaitu variabel Kesehatan & Keselamatan Kerja/K3 sebanyak sepuluh (10) butir pernyataan, variabel budaya organisasi sebanyak enam (6) pernyataan, variabel Employee Engagement sebanyak tujuh (7) pernyataan, variabel kinerja karyawan sebanyak enam (6) butir pernyataan Sehingga total keseluruhan variabel mempunyai dua puluh sembilan (29) butir pernyataan yang akan disebarkan kepada responden.

    2.8 Teknik Analisis Data

    2.8.1 Uji Instrumen

    1. Uji Validitas

    [9] Valid memiliki arti instrument yang bisa dipakai dalam mengukur pada suatu penelitian, sedangkan validitas merupakan alat ukur yang dapat membuktikan tingkat keabsahan (validitas). Dalam suatu penelitian dan uji validitas variabel atau indikator dari setiap pertanyaan dapat dikatakan valid apabila rhitung positif dan juga rhitung>construck 0,3.

    2. Uji Realibilitas

    Uji reliabilitas adalah alat yang digunakan dalam menghitung pertanyaan pada kuisioner yang disebar untuk mengetahui apakah variabel yang akan diteliti dan yang dapat dinyatakan reliabel. Bisa dikatakan, reliabilitas membuktikan korelasi alat ukur yang dipergunakan untuk mengukur suatu gejala yang sama pada penelitian dengan syarat cronbach alpha>0,6

    2.8.2 Uji Asumsi Klasik

    a. Uji Normalitas

    Uji Normalitas memiliki tujuan dalam penelitian untuk mengetahui apakah variabel residual memiliki distribusi normal dalam model regresi [10]. lData akan dinyatakan berditribusi normal apabila membentuk garis kurva yang simetris terhadap mean dan sebaran data membentuk titik yang mendekati garis diagonal. Untuk mengetahui normal atau tidaknya harus menggunakan Plot of regression Standardized residual.

    b. Uji Linearitas

    Uji Lineartias dilakukan dengan tujuan untuk dapat mengetahui apakah variabel bebas dan tidak memiliki keterkaitan sehingga membentuk garis lurus atau tidak. Pada penelitian ini, untuk mengamati nilai signifikansi pada uji linieritas menggunakan test for linearity dengan pada taraf signifikasi 0,05. Sehingga kedua variabel bisa dikatakan mempunyai hubungan yang linier harus memperoleh nilai signifikansi lebih kecil dari 0,05 untuk taraf kesalahan 5%

    c. Uji Autokorelasi

    Uji autokorelasi memiliki tujuan dalam penelitian yaitu mendeteksi dalam model regresi linier apakah akan ada hubungan korelasi antara pengganggu pada periode t dan kesalahan pada periode t-1 [10]. Uji Autokorelasi bisa dilakukan dengan menggunakan pengujian pada uji Durbin-Watson (DW). Apabila nilai Durbin Watson (DW) dibawah 5 maka tidak terjadi autokorelasi.

    d. Uji Multikolonieritas.

    [10] Uji multikolinearitas dirancang untuk menguji apakah suatu model regresi menemukan korelasi antara variabel bebas (independen). Multikolinearitas dapat dilihat dari nilai tolerance dan inversnya serta variance inflation factor (VIF). Nilai yang umumnya dipakai untuk menunjukkan adanya mulkolinieritas adalah nilai Tolerence < 0,10 atau sama dengan nilai VIF < 10. Jika besarnya nilai VIF lebih kecil dari 10 (<10), ini memberi indikasi tidak ada problem multikolinieritas, demikian pula sebaliknya

    e. Uji Heteroskedastisitas

    [10] Uji heteroskedastisitas dirancang untuk menguji varians yang tidak sama pada residual satu pengamatan dalam model regresi. Untuk mengetahui ada tidaknya heteroskedastisitas, yaitu dengan melihat ada tidaknya pola tertentu pada scatterplot uji multikolinearitas, dipenuhi syarat sebagai berikut: Jika terdapat pola tertentu, seperti pola titik-titik tertentu yang teratur (bergelombang, melebar, lalu menyempit), maka telah terjadi heteroskedastisitas. Jika tidak ada pola yang jelas, dan titik-titik terdistribusi di atas dan di bawah angka 0 pada sumbu y, maka tidak terjadi heteroskedastisitas.

    2.8.3 Analisis Regresi Linier Berganda

    Analisis regresi linier berganda adalah hubungan linier antara dua atau lebih variabel bebas (X1, X2...Xn) dengan variabel terikat (Y). Analisis ini digunakan untuk memprediksi nilai variabel dependen, apakah nilai variabel independen meningkat atau menurun, dan untuk menentukan arah hubungan antara variabel independen dan variabel dependen, apakah masing-masing variabel independen berkorelasi positif atau negatif. . Persamaan regresi linier berganda adalah sebagai berikut.

    Y = α+b1X1+b2X2+b3X3+e

    Keterangan :

    Y: Kinerja karyawan

    α : Konstanta

    β1, β2, β3: koefisien regresi

    X1 : Kesehatan & Keselamatan Kerja/K3

    X2 : Budaya organisasi

    X3 : Employee Engagement

    e: Standard error of estimate

    2.8.4 Uji Hipotesis

    a. Uji Parsial (Uji t)

    [11] Pengujian ini digunakan untuk menguji signifikansi (signifikansi) pengaruh masing-masing variabel independen Kesehatan & Keselamatan Kerja/K3 (X1), budaya organisasi (X2) dan karakteristik layanan (X3) terhadap variabel dependen yaitu kinerja karyawan (Y). Untuk menguji hipotesis mengenai adanya pengaruh maka dilakukan dengan cara membandingkan nilai thitung dengan nilai ttabel. Jika thitung lebih besar dari ttabel dan Nilai signifikasi lebih kecil dari 0,05 maka dinyatakan berpengaruh.

    b. Uji Simultan (Uji f)

    [11] Pengujian ini digunakan untuk menguji signifikansi variabel independen seperti Kesehatan & Keselamatan Kerja/K3 (X1), budaya organisasi(X2), dan karakteristik pelayanan (X3) terhadap variabel dependen yaitu kinerja karyawan (Y). Untuk menguji hipotesis mengenai adanya pengaruh maka dilakukan dengan cara membandingkan nilai Fhitung dengan nilai Ftabel. Jika Fhitung lebih besar dari Ftabel dan Nilai signifikasi lebih kecil dari 0,05 maka dinyatakan berpengaruh.

    c. Uji korelasi berganda (R2)

    Pengujian ini digunakan untuk menghitung tingkat keeratan hubungan antara variabel bebas dan variabel terikat. Jangkauan nilai R ialah sebesar antara 0 dan 1. Semakin mendekati 1 berarti hubungan antara variabel bebas dan variabel terikat menjadi semakin kuat dan sebaliknya.

    d. Uji Korelasi determinan berganda (R)

    Pengujian ini digunakan untuk menghitung kemampuan model regresi dalam menjelaskan perubahan variabel tergantung akibat variasi variabel bebas. Bila nilai R2 semakin mendekati nilai 1 atau 100% berarti semakin baik model regresi tersebut dalam menjelaskan variabilitas atau variasi variabel..

    Hasil dan pembahasan

    A. Uji Keabsahan Data

    1. Uji Validitas

      Variabel Item Variabel Correlation (r-hitung) Construck Keterangan
      Kesehatan & Keselamatan Kerja/K3 (X1) X1.1 0,686 0,30 Valid
      X1.2 0,684 Valid
      X1.3 0,697 Valid
      X1.4 0,679 Valid
      X1.5 0,686 Valid
      X1.6 0,684 Valid
      X1.7 0,697 Valid
      X1.8 0,679 Valid
      X1.9 0,567 Valid
      X1.10 0,547 Valid
      Budaya organisasi (X2) X2.1 0,799 0,30 Valid
      X2.2 0,857 Valid
      X2.3 0,794 Valid
      X2.4 0,797 Valid
      X2.5 0,712 Valid
      X2.6 0,799 Valid
      Employee Engagement (X3) X3.1 0,793 0,30 Valid
      X3.2 0,841 Valid
      X3.3 0,755 Valid
      X3.4 0,664 Valid
      X3.5 0,698 Valid
      X3.6 0,793 Valid
      X3.7 0,841 Valid
      Kinerja Karyawan (Y) Y1.1 0,885 0,30 Valid
      Y1.2 0,684 Valid
      Y1.3 0,768 Valid
      Y1.4 0,697 Valid
      Y1.5 0,732 Valid
      Y1.6 0,885 Valid
      Table 3. Hasil Uji Validitas Butir Pernyataan Kuesioner

      Pada hasil uji validitas menyatakan bahwa seluruh butir pernyataan kuesioner dari variabel (X) dan variabel X1, X2 dan Y memiliki nilai koefesien korelasi diatas 0,30 (˃0,30) sehingga dapat dikatakan bahwa item pernyataan kuesioner dari variabel (X) dan Variabel (Y) dinyatakan valid dan dapat digunakan untuk mengukur variabel yang akan diteliti.

      2. Uji Reliabilitas

        Variabel Nilai Reliabilitas Cronbach Alpha Keterangan
        Kesehatan & Keselamatan Kerja/K3 0,761 0.6 Reliabel
        Budaya organisasi 0,798 0.6 Reliabel
        Employee Engagement 0,787 0,6 Reliabel
        Kinerja Karyawan ( 0,793 0.6 Reliabel
        Table 4. Hasil Uji Reliabilitas Variabel

        Sumber: olah data IBM Statistic Versi 24,2022

        Berdasarkan hasil uji reliabilitas menggunakan cronbach alpha diketahui variabel instrumen memiliki cronbach alpha lebih besar dari 0,6. Sebuah variabel dikatakan reliabel apabila cronbach alpha > 0,6. Tabel diatas menjelaskan bahwa nilai cronbach alpha pada variabel Kesehatan & Keselamatan Kerja/K3 adalah 0,761 > 0,6, nilai cronbach alpha pada variabel Budaya organisasi adalah 0,798>0,6, Employee Engagement nilai reliabilitasnya adalah 0,787>0,6 dan nilai cronbach Alpha pada variabel Kinerja Karyawan adalah 0,793, sehingga dapat disimpulkan bahwa variabel X1, X2, dan Y reliabel. Dengan demikian seluruh variabel instrumen dalam penelitian ini reliabel atau semua variabel X dan Y dapat digunakan kembali secara berulang-ulang.

        3. Analisis Regresi Linear Berganda

        Dalam menguji pengaruh Kesehatan & Keselamatan Kerja/K3 dan budaya organisasi terhadap Kinerja Karyawan, maka digunakan analisis regresi berganda yang dilaksanakan dengan bantuan program IBM Statistic SPSS versi 24 sebagai berikut :

          Constan dan Variabel Koenfisien regresi Uji parsial (t) Collinearity Statistics
          B Std. Error t Sig Tolerance VIF
          (Constant) 2,274 2,203 1,237 ,220
          Kesehatan & Keselamatan Kerja/K3 ,168 ,072 2,344 ,022 0,466 2,145
          Budaya organisasi ,255 ,0,96 2,663 ,009 0,432 2,315
          Employee Engagement ,295 ,094 3,130 ,003 0,407 2,457
          N : 78 R : 0,789 Durbin Watson=1,934
          Adjust R Square= 0,608 R2 : 0,608 F=40,797
          Normalitas Kolmogrov Monte Carlo= 0,165 Linierity=0,000
          Heterokedastisitas Grafk: tidak terjadi Heterokedastisitas
          Regresi: Y = 2,274 + 0,168 X1+ 0,255 X2 +0,295 X3
          Predictors : (contans), Kesehatan & Keselamatan Kerja/K3 (X1), Budaya organisasi (X2), Employee Engagement (X3), dan Kinerja Karyawan (Y)
          Table 5. Hasil Uji Analisis Regresi Linear Berganda

          Sumber: olah data IBM Statistic SPSS Versi 24, 2022

          Pada uji hipotesis ini menggunakan uji t (parsial) dari persamaan regresi linier berganda Y = 2,274 + 0,168 X1+ 0,255 X2 +0,295 X3 yang dipergunakan untuk mengukur tingkat pengaruh signifikansi secara parsial (sendiri-sendiri) antara variabel bebas terhadap variabel terikat yaitu Kinerja Karyawan (Y) . Dengan df = n-k-1 = 78-3-1 = 74 sehingga diperoleh t tabel sebesar 1,665. Hasil perhitungan Uji t (parsial) yang dilakukan dengan bantuan program SPSS versi 24, variabel Kesehatan & Keselamatan Kerja/K3 (X1) diperoleh nilai t hitung sebesar 2,344, Sehingga Nilai thitung ini lebih besar (>) dari pada nilai t tabel yaitu 1,665. Nilai signifikansi yang diperoleh adalah sebesar 0,022. Jadi, nilai signifikansi ini lebih kecil (<) dari pada nilai yaitu 0,05. Karena (t hitung > t tabel = 2,344>1,665) dan (sig < α = 0,022< 0,05 ) artinya variabel independen yaitu Kesehatan & Keselamatan Kerja/K3 (X1) secara parsial berpengaruh terhadap variabel dependen yaitu Kinerja Karyawan (Y).

          Perhitungan Uji t yang dilakukan dengan bantuan program SPSS di atas, variabel Budaya organisasi (X2) diperoleh nilai t hitung sebesar 3,400, Sehingga Nilai t hitung ini lebih besar dari pada nilai t tabel yaitu 1,665. Nilai signifikansi yang diperoleh adalah sebesar 0,009. Jadi, hingga nilai signifikansi ini lebih kecil dari pada nilai yaitu 0,05. Karena (thitung > t tabel = 2,663>1,660) dan (sig < α = 0,009 < 0,05) artinya variabel independen yaitu Budaya organisasi (X2) secara parsial berpengaruh terhadap variabel dependen yaitu Kinerja Karyawan (Y).

          Perhitungan Uji t yang dilakukan dengan bantuan program SPSS di atas, variabel Employee Engagement (X2) diperoleh nilai t hitung sebesar 3,130, Sehingga Nilai t hitung ini lebih besar dari pada nilai t tabel yaitu 1,665. Nilai signifikansi yang diperoleh adalah sebesar 0,003. Jadi, hingga nilai signifikansi ini lebih kecil dari pada nilai yaitu 0,05. Karena (thitung > t tabel = 3,130>1,665) dan (sig < α = 0,003 < 0,05) artinya variabel independen yaitu Budaya organisasi (X2) secara parsial berpengaruh terhadap variabel dependen yaitu Kinerja Karyawan (Y).

          Berdasarkan hasil penelitian ditetepakna df1= 2 dan df2= n-k-1, dimana n merupakan jumlah sampel dan k merupakan variael bebas sehingga df2= n-k-1=78 – 3 – 1 = 74 dan tingkat taraf signifika 5% (0,05), maka nilai Ftabel sebesar 2,73. Hal ini berarti Fhitung > Ftabel (40,797 > 2,73), dan Diperkuat dengan nilai signifikan (0,00 < 0.05), Kesehatan & Keselamatan Kerja/K3 (X1), dan Budaya organisasi (X2) dan Employee Engagement (X3) secara simultan bepengaruh terhadap variabel terikat yakni Kinerja Karyawan (Y)

          Hasil Uji Autokorelasi menunjukkan bahwa nilai Durbin-Watson dari hasil uji autokorelasi sebesar 1,934 atau berada dibawah angka 5, hal ini menunjukkan bahwa tidak terjadi autokorelasi. Sedangkan hasil uji multikolilinieritas Dapat dilihat, diperoleh nilai VIF untuk variabel K3 (Keselamatan dan Kesehatan Kerja) sebesar 2,145 (<10) atau 2,1<10 variabel Budaya Organisasi sebesar 1,487 (<10) atau 1,4 <10 dan variabel Employee Engagement sebesar 2,457 (<10). Hasil uji normalitas monte carlo dengan nilai monte carlo Sig. (2-tailed) = 0,165 membuktikan data berdistribusi normal karena 0,165 lebih besar dari 0,05 (taraf signifikasi), uji linierity menunjukkan nilai 0,000 sehingga memenuhi syarat test of linierity yaitu dimana nilai 0,000 lebih kecil dari 0,005, sedangkan uji heterokedastisitas scaterplot menunjukkan bahwa data menyebar dan tidak membentuk pola sehingga tidak terjadi heterokedastisitas, Dari hasil tersebut, maka dapat dinyatakan bahwa regresi linear berganda yang digunakan dalam penelitian ini data berdistribusi normal dan linier, tidak terjadi autokorelasi, bebas dari multikolinearitas dan tidak terjadi heterokedastisitas sehingga analisis regresi linear berganda dapat dilanjutkan untuk di uji.

          Syarat dari nilai koefisien korelasi berganda Jangkauan nilai R adalah bekisar antara 0 dan 1. Semakin mendekati 1 (satu) maka hubungan antara variabel bebas terhadap variabel terikat semakin kuat. Artinya variabel Kesehatan & Keselamatan Kerja/K3, Budaya organisasi dan Employee Engagement memiliki hubungan yang kuat terhadap Kinerja Karyawan. Analisis korelasi berganda (R) adalah 0,789 atau mendekati 1. Artinya terdapat hubungan yang kuat antara variabel bebas dengan variabel terikat sedangkan Koenfisien determinasi berganda Adjusted R Squared artinya Rsquare yang disesuaikan. Dalam penelitian ini besarnya Adjusted R Square atau R2 (Koenfisien Determinasi Berganda) adalah sebesar 0,608.

          Pembahasan

          Hipotesis Pertama: Ada pengaruh K3 (Keselamatan dan Kesehatan Kerja) terhadap Kinerja Karyawan

          Hasil analisis data membuktikan K3 (Keselamatan dan Kesehatan Kerja) berpengaruh positif secara signifikan terhadap Kinerja Karyawan. didalam PT. Japfa Comfeed Indonesia Tbk telah menerapkan peraturan untuk pelaksanaan K3 seperti memberi sanksi ketika seorang karyawan memakai sandal saat sedang bekerja atau tidak menggunakan atribut seperti celemek dan pelindung kepala, karena kebisingan yang seringkali membuat karyawan satu dengan yang lainnya terganggu maka diwajibkan menggunakan ear plug.

          Perusahaan juga telah mempersiapkan jadwal pemeriksaan rutin secara berkala untuk memeriksa semua mesin disetiap bulan dan pemeriksaan APAR. Kondisi penerangan didalam ruangan produksi sudah cukup baik dengan terdapatnya lampu yang selalu menyala, suhu serta sirkulasi udara dari ventilasi ruangan juga sudah cukup baik, dengan demikian diharapkan tidak adanya hambatan dalam proses produksi dan hasil kinerja karyawan yang memuaskan. Sehingga K3 berpengaruh terhadap kinerja karyawan terutama pada keamanan kebakaran, sehingga karyawan banyak yang menjawab netral yang artinya bahwa karyawan merasakan keamanan dalam K3 saat apar diperiksa secara berkala.

          [12] Keselamatan kerja berarti selamat dari kerusakan dan penderitaan yang ditimbulkan dari tempat karyawan bekerja. Dengan adanya keselamatan dan kesehatan kerja diharapkan para karyawan dapat meningkatkan kinerja tanpa adanya kesulitan dalam rutinitas kesehariannya. Relevan dengan penelitian yang dilakukan oleh [4] yang menyatakan bahwa K3 (Keselamatan dan Kesehatan Kerja) secara parsial berpengaruh positif dan signifikan terhadap kinerja karyawan.

          Hipotesis Kedua: Ada pengaruh Budaya Organisasi Kerja Terhadap Kinerja Karyawan

          Hasil analisis data membuktikan bahwa Budaya Organisasi kerja berpengaruh positif secara signifikan terhadap kinerja karyawan dengan demikian dapat dinyatakan bahwa semakin baik berjalannya budaya organisasi yang meliputi nilai-nilai organisasi yang ditaati, dukungan manejemen kepada karyawan, sistem imbalan yang sesuai dan tersistem, saling toleransi dalam berbagai kesalahan dalam bekerja yang dijadikan peluang untuk belajar, memperhatikan orientasi pada rincian atau detail pekerjaan serta orientasi pada tim dalam bentuk kerja sama tim yang saling mendukung baik antara sesama karyawan ataupun karyawan kepada atasan maka kinerja karyawan secara tidak langsung akan lebih baik.

          Kesimpulan dari budaya organisasi yang positif apabila berjalan dengan baik maka semakin besar kontribusi budaya organisasi dalam kerja bisa memberikan dampak yang positif bagi kinerja karyawan.. Sesama karyawan juga saling membantu bilamana terdapat ketidakstabilan dalam proses produksi. Setiap karyawan selalu punya inisiatif untuk bertanya cara menghasilkan produk yang bagus.

          Setiap karyawan juga tertantang untuk menyelesaikan tugas yang diberikan. Pemimpin juga mengumumkan hasil produksi disetiap bulannya yang membuat karyawan lebih semangat dalam bekerja. Sehingga Budaya Organisasi berpengaruh terhadap karyawan ketika karyawan satu dengan yang lain bisa saling menerima, dan bekerja sebagai partner yang baik.

          Realita ini mendukung Teori dari [13] Budaya Organisasi kerja merupakan suatu dorongan yang menjadikan seseorang tergerak untuk menghasilkan kinerja yang lebih baik. Hasil penelitian [14] yang menyatakan bahwa variabel Budaya Organisasi secara parsial berpengaruh positif dan signifikan terhadap kinerja karyawan.

          Hipotesis Ketiga: Ada Pengaruh Employee Engagement Terhadap Kinerja Karyawan

          Hasil analisis data membuktikan bahwa Employee Engagement (keterlibatan karyawan) berpengaruh positif secara signifikan terhadap kinerja karyawan dengan demikian dapat dinyatakan bahwa semakin baik Employee Engagement (keterlibatan karyawan) maka kinerja karyawan juga semakin baik dan meningkat. Sehingga bisa dikatakan bahwa semakin baik kontribusi Employee Engagement yang meliputi interaksi karyawan dalam lingkungan kerja, keterlibatan kepemimpinan kepada karyawan, hubungan kerja yang terorganisir antara karyawan dengan pemimpin, keterlibatan pemimpin dalam memberikan pelatihan dan pengembangan, Employee Engagement yang diberikan akan menimbulkan keterlibatan karyawan yang sesuai dengan balasan hasil kerja atau kinerja yang baik, keterlibatan karyawan dalam menjalankan kebijakan organisasi, dan keterlibatan karyawan dalam memanfaatkan kesejahteraan kerja yang diterima sebagai landasan dalam memotivasi kerja.

          Performa dalam bekerja akan meningkat untuk meningkatkan keuntungan perusahaan sehingga keterlibatan karyawan yang memiliki kaitan kuat akan meningkatkan performa atau kinerja karyawan tersebut. Hasil produksi merupakan capaian yang perlu ditingkatkan terus dari segi meningkatkan kompetensi dalam penggunaan mesin produksi sehingga karyawan selalu diberi kesempatan untuk terus belajar dan meningkatkan target realisasi produksi yang diberikan perusaahaan. Keterlibatan karyawan yang baik ditunjukkan dengan semangat kerja, keseriusan dalam bekerja dan bekerja keras.

          Fenomena ini mendukung teori dari [15] mengemukakan bahwa Keterikatan karyawan memiliki dampak yang baik terhadap hasil yang diinginkan, seperti kinerja, kualitas, retensi karyawan, kepuasan dan loyalitas.. Realita dan teori ini juga mendukung penelitian dari [16] yang menyatakan bahwa variabel Employee Engagement berpengaruh signifikan terhadap kinerja karyawan.

          Hipotesis Keempat: Ada Pengaruh K3 (Keselamatan Dan Kesehatan Kerja), Budaya Organisasi Dan Employee Engagement Secara Simultan Terhadap Kinerja Karyawan.

          Hasil analisis data membuktikan bahwa K3 (Keselamatan dan Kesehatan Kerja), Budaya Organisasi dan Employee Engagement secara simultan berpengaruh terhadap Kinerja Karyawan. Dengan demikian dapat dinyatakan bahwa, PT. Japfa Comfeed Indonesia, Tbk. Berprinsip K3 (Keselamatan dan Kesehatan Kerja), Budaya Organisasi dan Employee Engagement sebagai dasar dalam penilaian Kinerja Karyawan, yang artinya semakin baik penerapan K3, Budaya Organisasi dan Employee Engagement, maka semakin baik pula Kinerja yang dihasilkan.

          Hal ini dapat dilihat dari kondisi penerangan didalam ruangan produksi yang baik dan disetiap mesin ada lampu yang selalu menyala, suhu dan sirkulasi udara dari ventilasi ruangan sudah cukup baik. Karyawan mengetahui bahwa memakai sandal diruangan merupakan suatu pelanggaran, karena dapat mengakibatkan terpelesetnya karyawan. Mesin juga selalu mendapatkan pemeriksaan secara berkala. Perusahaan juga sudah menyediakan alat pelindung diri, seperti (ear plug, celemek dan topi). Pemeriksaan APAR secara berkala yaitu setiap satu bulan sekali. Namun terkadang karyawan juga melakukan kesalahan yang diakibatkan dari jam kerja yang terforsir dan pergantian shift, seperti mengabaikan intruksi atasan dan salah mencerna informasi yang diberikan. Disisi lain karyawan juga senang karena diperusahaan ini selalu bisa menerima karyawan baru dengan sangat baik. Sesama karyawan juga saling membantu bilamana terdapat ketidakstabilan dalam proses produksi. Setiap karyawan selalu punya inisiatif untuk bertanya cara menghasilkan produk yang bagus. Setiap karyawan juga tertantang untuk menyelesaikan tugas yang diberikan. Pemimpin juga mengumumkan hasil produksi disetiap bulannya sehingga karyawan lebih semangat dalam bekerja.

          Karyawan juga tertantang untuk menyelesaikan tugas yang diberikan. Pemimpin juga mengumumkan hasil produksi disetiap bulannya yang membuat karyawan lebih semangat dalam bekerja. Hal ini meningkatkan budaya kerja seperti budaya organisasi hierarki kepemimpinan dimana kepemimpinan memberikan target dan mengumumkan hasilnya, sehingga budaya organisasi berpengaruh terhadap karyawan ketika karyawan satu dengan yang lain bisa saling menerima, dan bekerja sebagai partner yang baik.

          Performa dalam bekerja akan meningkat untuk meningkatkan keuntungan perusahaan sehingga keterlibatan karyawan yang memiliki kaitan kuat akan meningkatkan performa atau kinerja karyawan tersebut. Hasil produksi merupakan capaian yang perlu ditingkatkan terus dari segi meningkatkan kompetensi dalam penggunaan mesin produksi sehingga karyawan selalu diberi kesempatan untuk terus belajar dan meningkatkan target realisasi produksi yang diberikan perusaahaan. Keterlibatan karyawan yang baik ditunjukkan dengan semangat kerja, keseriusan dalam bekerja dan bekerja keras

          Semua variabel bebas berjalan secara simultan (bersama-sama) dengan baik terhadap variabel terikat, oleh karena itu kinerja karyawan mengalami peningkatan yang signifikan. Hasil dari penelitian ini juga didukung oleh teori dari [12] Keselamatan kerja berarti selamat dari kerusakan dan penderitaan yang ditimbulkan dari tempat karyawan bekerja. Dengan adanya keselamatan dan kesehatan kerja diharapkan para karyawan dapat meningkatkan kinerja tanpa adanya kesulitan dalam rutinitas kesehariannya. Hal ini sejalan dengan penelitian terdahulu yang menyatakan bahwa K3 (Keselamatan dan Kesehatan Kerja) secara simultan berpengaruh positif dan signifikan terhadap kinerja karyawan.

          Teori dari [13] menyatakan budaya organisasi merupakan suatu dorongan yang menjadikan seseorang tergerak untuk menghasilkan kinerja yang lebih baik, sehingga teori ini mendukung hasil penelitian saat ini. Hasil penelitian [14] ang menyatakan bahwa variabel Budaya Organisasi secara parsial berpengaruh positif dan signifikan terhadap kinerja karyawan.

          Teori dari [15] bahwa Keterikatan karyawan memiliki dampak yang baik terhadap hasil yang diinginkan, seperti kinerja, kualitas, retensi karyawan, kepuasan dan loyalitas.. Realita dan teori ini juga mendukung penelitian dari [16] yang menyatakan bahwa variabel Employee Engagement berpengaruh signifikan terhadap kinerja karyawan.

          Simpulan

          Berdasarkan hasil penelitian dan pembahasan serta mengacu pada perumusan masalah dan tujuan penelitian yang telah diuraikan maka dapat disimpulkan bahwa :

          Relevan dengan penelitian terdahuluyang menyatakan bahwa K3 (Keselamatan dan Kesehatan Kerja) secara parsial berpengaruh positif dan signifikan terhadap kinerja karyawan.

          Relevan dengan penelitian terdahulu yang menyatakan bahwa variabel Budaya Organisasi secara parsial berpengaruh positif dan signifikan terhadap kinerja karyawan.

          Hasil ini relevan dengan penelitian terdahulu yang menyatakan bahwa variabel Employee Engagement berpengaruh signifikan terhadap kinerja karyawan

          1. Variabel K3 (Kesehatan dan Keselamatan) (X1) mempunyai pengaruh secara parsial (sendiri-sendiri) terhadap Kinerja Karyawan pada Bagian Produksi Pada PT. Japfa Comfeed Indonesia, Tbk diWonoayu-Sidoarjo ”.
          2. Budaya Organisasi (X2) mempunyai pengaruh secara parsial terhadap Kinerja karyawan pada Bagian Produksi Pada PT. Japfa Comfeed Indonesia, Tbk diWonoayu-Sidoarjo
          3. Employee Engagement(X3) mempunyai pengaruh secara parsial terhadap Kinerja Karyawan pada Bagian Produksi Pada PT. Japfa Comfeed Indonesia, Tbk diWonoayu-Sidoarjo.
          4. K3 (Kesehatan dan Keselamatan) (X1), Budaya Organisasi (X2) Employee Engagement(X3), secara simultan berpengaruh signifikan terhadap Kinerja Karyawan, sehingga dapat disimpulkan masing-masing variabel X berpengaruh secara simultan terhadap variabel Y dan semua hipotesis telah terjawab.

          Hasil ini relevan dengan penelitian terdahulu yang menyatakan bahwa K3 (Keselamatan dan Kesehatan Kerja) secara parsial berpengaruh positif dan signifikan terhadap kinerja karyawan. Hasil penelitian ini juga relevan dengan penelitian terdahulu yang menyatakan bahwa variabel Budaya Organisasi secara parsial berpengaruh positif dan signifikan terhadap kinerja karyawan. Serta relevan dengan penelitian dari yang menyatakan bahwa variabel Employee Engagement berpengaruh signifikan terhadap kinerja karyawan

          Ucapan Terima Kasih

          Penelitian ini dapat terselesaikan dengan baik dengan bantuan dan bimbingan dari berbagai pihak. Oleh karena itu penulis mengucapkan terima kasih kepada pihak yang telah membantu dan membimbing penulis dalam menyelesaikan penyusunan skripsi. Semoga penelitian yang sederhana ini dapat menambah pengetahuan baru dan semoga bermanfaat bagi para pembaca

References

[1] W. Bangun, Manajemen Sumber Daya Manusia. Bandung: Erlangga, 2016.

[2] E. Makadao, L. Kawer, and C. Rondonuwu, “Pengaruh Keselamatan dan Kesehatan Kerja Terhadap Kinerja Karyawan PT. Bimoli Bitung,” Jurnal EMBA, vol. 5, no. 3, pp. 4295–4312, 2017.

[3] A. Rustono, “Pengaruh Employee Engagement Terhadap Kinerja Sumber Daya Manusia Dana Pensiun Telkom Bandung,” e-Proceeding of Management, vol. 2, no. 2, pp. 1172–1178, 2015.

[4] C. Chotimah, “Pengaruh Kompetensi dan K3 Terhadap Kinerja Karyawan PT Lotus Indah Textile Industries,” Jurnal Ilmu Manajemen, vol. 6, no. 3, pp. 118–125, 2018.

[5] V. K. N. Wangi, E. Bahiroh, and A. Imron, “Dampak K3, Beban Kerja dan Lingkungan Kerja Terhadap Kinerja,” Jurnal Manajemen Bisnis, vol. 7, no. 1, pp. 40–50, 2020.

[6] F. Masambe, A. S. Soegoto, and J. Sumarauw, “Pengaruh Gaya Kepemimpinan, Budaya Organisasi dan Inovasi Pemimpin,” Jurnal Ekonomi, 2015.

[7] A. A. Handoyo and R. Setiawan, “Pengaruh Employee Engagement Terhadap Kinerja Karyawan,” Jurnal Ekonomi, 2017.

[8] V. R. Letsoin and S. L. Ratnasari, “Pengaruh Keterlibatan Karyawan, Loyalitas dan Kerjasama Tim Terhadap Kinerja,” Journal Dimensi, vol. 9, no. 1, pp. 17–34, 2020.

[9] Sugiyono, Metode Penelitian Kuantitatif, Kualitatif, dan R&D. Bandung: Alfabeta, 2017.

[10] I. Ghozali, Aplikasi Analisis Multivariat Dengan Program IBM SPSS 24. Semarang: Undip, 2017.

[11] S. Arikunto, Prosedur Penelitian, Jakarta: Rineka Cipta, 2015.

[12] A. Mangkunegara, Manajemen Sumber Daya Manusia. Bandung: Remaja Rosdakarya, 2017.

[13] S. P. Robbins, Human Resources Management, Jakarta: Salemba Empat, 2016.

[14] D. Andriani, “Pengaruh Gaya Kepemimpinan Transformasional, Budaya Organisasi,” Jurnal Bisnis, Manajemen dan Perbankan, vol. 2, no. 2, pp. 121–140, 2016.

[15] W. A. Schiemann, Alignment, Capability, Engagement. Jakarta: PPM, 2016.

[16] A. A. Handoyo and R. Setiawan, “Pengaruh Employee Engagement Terhadap Kinerja,” Jurnal Ekonomi, 2017.