<?xml version="1.0" encoding="UTF-8"?>
<!DOCTYPE article PUBLIC "-//NLM//DTD JATS (Z39.96) Journal Archiving DTD v1.0 20120330//EN" "JATS-journalarchiving.dtd">
<article xmlns:xlink="http://www.w3.org/1999/xlink" xmlns:ali="http://www.niso.org/schemas/ali/1.0">
  <front>
    <article-meta>
      <title-group>
        <article-title>Increasing the Income of SMEs in Indonesia through the Power of Quality and Education</article-title>
        <subtitle>Meningkatkan Pendapatan UKM di Indonesia melalui Kekuatan Kualitas dan Pendidikan</subtitle>
      </title-group>
      <contrib-group content-type="author">
        <contrib id="person-fb40cbefd17a80939e389c5ec1868b9a" contrib-type="person" equal-contrib="no" corresp="no" deceased="no">
          <name>
            <surname>Farhansyah</surname>
            <given-names>Rizky Fajar</given-names>
          </name>
          <email>192010200351@umsida.ac.id</email>
          <xref ref-type="aff" rid="aff-1" />
        </contrib>
        <contrib id="person-8445df644f0e4497070c8eb611bf1f93" contrib-type="person" equal-contrib="no" corresp="no" deceased="no">
          <name>
            <given-names>Sriyono</given-names>
          </name>
          <email>Sriyono@umisa.ac.id</email>
          <xref ref-type="aff" rid="aff-2" />
        </contrib>
      </contrib-group>
      <aff id="aff-1">
        <institution content-type="orgname">Universitas Muhammadiyah Sidoarjo</institution>
        <country>Indonesia</country>
      </aff>
      <aff id="aff-2">
        <institution content-type="orgname">Universitas Muhammadiyah Sidoarjo</institution>
        <country>Indonesia</country>
      </aff>
      <history>
        <date date-type="received" iso-8601-date="2024-06-23">
          <day>23</day>
          <month>06</month>
          <year>2024</year>
        </date>
      </history>
      <abstract>
        <p id="paragraph-5d04e2e4da28887d0f3356d8d467c6f6">This study explores the impact of product quality and the educational level of small and medium enterprise (SME) owners on SME income in Sidoarjo Regency, Indonesia. Using a quantitative approach with survey data from 52 SMEs, the analysis via SMARTPLS4 reveals that both product quality and education significantly influence SME income. The findings suggest that enhancing product quality and investing in education can lead to higher SME income, providing valuable insights for SME owners and policymakers to support economic growth in the region.</p>
      </abstract>
    </article-meta>
  </front>
  <body id="body">
    <sec id="heading-6c021c8e6205ede90e0a92c34bbb2077">
      <title>
        <bold id="bold-fd9b319f810cc6a2c7a9e921c113edd0">Pendahuluan</bold>
      </title>
      <p id="_paragraph-13">Fenomena usaha kecil mikro yang terdapat di Indonesia dengan jumlah yang sangat banyak merupakan hal yang sangat terbiasa di dalam dunia usaha yang terdapat di UMKM. Dunia usaha kecil mikro dan menengah, dalam kegiatan operasional dan usahanya usaha kecil mikro, setiap pemilik usaha memiliki tingkat pendidikan yang dibutuhkan oleh usaha kecil mikro. Tingkat pendidikan merupakan suatu hal yang dimiliki oleh pemilik usaha. Oleh karenanya peneliti ingin mengetahui dampak tingkat pendidikan yang dimiliki oleh para pelaku usaha kecil mikro dan menengah di Kabupaten Sidoarjo.</p>
      <p id="_paragraph-14">Data pendapatan usaha kecil mikro dan menengah. Data pendapatan usaha kecil mikro dan menengah. Data pendapatan didapatkan yang berasal dari dinas koperasi dan usaha kecil. Nilai rata-rata pendapatan sebuah umkm berjumlah 5.569.448,8. Jumlah pendapatan tersebut cukuplah banyak mengingat banyaknya jumlah UMKM yang terdapat di Indonesia.Dengan jumlah tersebut, maka rakyat Indonesia dapat menopang ekonomi yang berkelanjutan.</p>
      <p id="_paragraph-15">Penelitian yang dilakukan oleh penelitian sebelumnya, yaitu pada lokasi penelitian yang terletak di Jakarta. Penelitian terdahulu menemukan suatu hasil penelitian yang merupakan penelitian untuk mengetahui pengaruh tingkat pendidikan terhadap pendapatan UMKM. Dalam penelitian tersebut menemukan hasil penelitian bahwa hasil penelitian tersebut tingkat pendidikan tidak mempengaruhi pendapatan para pelaku UMKM[1]. Sehingga terciptalah perbedaan hasil penelitian antara satu penelitian dan lainnya dan menciptakan inkonsistensi dalam hasil penelitian.</p>
      <p id="_paragraph-16">Penelitian yang sebelumnya sudah diteliti oleh beberapa peneliti yang telah melakukan penelitian tingkat pendidikan terhadap pendapatan umkm. Dalam penelitian terdahulu ditemukan bahwa tingkat pendidikan memiliki pengaruh positif terhadap pendapatan UMKM. Penelitian tersebut berbeda dengan hipotesis kedua yang mana menunjukkan bahwa tingkat pendidikan tidak berpengaruh terhadap pendapatan umkm di lokasi penelitian[2].</p>
      <p id="_paragraph-17">Kualitas produk merupakan keahlian yang dimiliki oleh produk untuk dapat mengisi keinginan oleh konsumen. Kualitas produk merupakan sebuah produk yang dapat dipromosikan terhadap pihak konsumen dipasar. Selain itu, kualitas produk juga memiliki beberapa sudut pandang dan beberapa faktor yang mempengaruhi kualitas produk suatu barang. Beberapa faktor yang mempengaruhi kualitas barang ialah kinerja produk, fitur atau karakteristik produk dan berbagai faktor lainnya yang dapat mempengaruhi kualitas barang terhadap konsumen. Kualitas produk juga diharapkan dapat memenuhi kebutuhan konsumen yang berbagai macam jenisnya</p>
      <p id="_paragraph-18">Terdapat perbedaan hasil pengaruh kualitas produk terhadap pendapatan dalam suatu penelitian kualitas produk berpengaruh terhadap pendapatan umkm sebuah penelitian menunjukkan kualitas produk berpengaruh terhadap pendapatan[3] berbeda dengan penelitian yang menunjukkan bahwa kualitas produk tidak berpengaruh terhadap pendapatan umkm[4]dalam penelitian yang telah dilakukan sebelumnya.</p>
      <p id="_paragraph-19">Tingkat pendidikan dalam penelitian sebelumnya. Dalam penelitian yang dilakukan oleh peneliti sebelumnya, menunjukkan bahwa tingkat pendidikan tidak berpengaruh oleh tingkat pendidikan yang dimiliki oleh para pelaku UMKM[5]. Penelitian yang dilakukan sebelumnya menunjukkan bahwa tingkat pendidikan tidak berpengaruh terhadap pendapatan secara parsial. Oleh karenanya dengan kesimpulan penelitian tersebut bahwa tingkat pendidikan tidak mempengaruhi pendapatan secara parsial terhadap pendapatan para pelaku UMKM[1].</p>
      <p id="_paragraph-20">Kategori SDGs :Penelitian ini sesuai dengan indicator 8 <italic id="_italic-52">Sustainable developments goals </italic>tujuan berkelanjutan nomor 8.Yaitu ialah mempromosikan berkelanjutan, inklusif, pertumbuhan ekonomi yang berkelanjutan dan pekerjaan yang layak untuk seluruh masyarakat. Pertumbuhan ekonomi dilakukan dengan melakukan pekerjaan yang layak dengan meningkatkan produktivitas/pekerja setinggi mungkin sehingga dapat meningkatkan pendapatan/pekerja. Dan juga menghasilkan pekerjaan yang stabil untuk seluruh para pekerja umkm dan menciptakan pemulihan ekonomi setelah pandemi covid-19.</p>
      <p id="_paragraph-21"><italic id="_italic-53">Novelty,</italic>penelitian ini menggunakan jumlah 2 variabel yang mana belum pernah dilakukan sebelumnya di Sidoarjo, dalam penegumpulan data penelitian ini juga menggunakan alat instrumen pengumpulan data formulir <italic id="_italic-54">google form,</italic>yang mana belum pernah digunakan di penelitian-penelitian sebelumnya. Dengan adanya metode penelitian yang baru ini, diharapkan dapat menghemat biaya dan waktu. Sekaligus dapat menggunakan metode yang lebih efisien dan efektif pada masa depannya.</p>
      <p id="_paragraph-23">1.Kualitas Produk</p>
      <p id="_paragraph-24">Dalam menciptakan produk,badan usaha maupun UMKM,Produk akan diciptakan oleh para produksi produk.Kualitas produk dipengaruhi oleh berbagai macam faktor yaitu seperti faktor proses produksi,bahan baku,aset produksi maupun juga sumber daya manusia dalam produksi sehingga terciptalah variasi kualitas produk.Faktor penyebab perbedaan kualitas produk ialah berasal dari proses produksi produk yang diproduksi.Kualitas produk juga dapat mempengaruhi pendapatan para UMKM di suatu daerah.Sehingga para pelaku UMKM perlu memperhatikan kualitas produk.Kualitas produk juga bervariasi dari kualitas produk yang bagus baik konsumen hingga buruk bagi konsumen.</p>
      <p id="_paragraph-25">Kualitas produk merupakan suatu hal yang mempengaruhi keinginan pelanggan yang nomor 1 dalam merupakan variabel yang global.Dikarenanya oleh sebab itu,para pelaku kegiatan umkm perlu melaksanakan metode dan teknik pembaruan produk yang dapat dan juga diharapkan untuk memenuhi kebutuhan konsumen.Para pelaku umkm perlu memahami kualitas produk demi meningkatkan penjualan dengan pesaing.</p>
      <p id="_paragraph-26">Berbagai hal yang mempengaruhi kualitas produk terdapat berbagai macam.Seperti daya tahan produk yang digunakan oleh pihak konsumen,Fitur produk yang dimiliki oleh produk,Estetika produk yang diproduksi oleh umkm,fitur dan berbagai hal lainnya yang mempengaruhi kualitas produk.Hal-hal tersebut merupakan hal yang mempengaruhi kualitas produk yang diproduksi oleh umkm[4]Berbagai hal-hal yang berpengaruh terhadap kualitas produk ialah daya tahan produk yang dapat meningkatkan penjualan maupun pendapatan UMKM bisnis. Sehingga para pelaku umkm perlu memperhatikan hal-hal tersebut dalam kegiatan UMKM dan operasionalnya.</p>
      <p id="_paragraph-27">Oleh karenanya kualitas produk merupakan suatu hal yang mempengaruhi keinginan dan permintaan pelanggan,dan dipengaruh oleh berbagai faktor yang berasal dari produk yang diproduksi oleh para pelaku umkm.Dan dapat mempengaruhi pendapatan para pelaku umkm dapat kegiatannya.Dan para pelaku umkm untuk memperhatikan kualitas produk demi meningkatkan pendapatan dan juga untuk meningkatkan jumlah penjualan yang dilaksanakan oleh umkm.Demi untuk mendapatkan pendapatan di masa yang akan mendatang dan masa depan.</p>
      <p id="_paragraph-28">2.Tingkat Pendidikan</p>
      <p id="_paragraph-29">Para pelaku usaha mikro kecil dan menengah dalam melaksanakan usaha kecil mikro dan menengah memiliki tingkat pendidikan yang dapat mempengaruhi pendapatan usaha mereka. Tingkat pendidikan berasal dari tingkat bawah yaitu jenjang pendidikan Sekolah Dasar (SD) hingga Strata 3 (S3). Dalam setiap usaha kecil mikro, setiap pelaku usaha memiliki tingkatan pendidikan yang berbeda dalam menjalankan usahanya. Tingkat pendidikan dapat ditempuh oleh seseorang sesuai kemampuan dan keinginan orang tersebut dalam melakukan kegiatan tingkat pendidikan.</p>
      <p id="_paragraph-30">Dalam hukum yang tertera dalam Undang-Undang nomor 20 tahun 2003 tingkat pendidikan ialah usaha sadar dan terencana untuk mewujudkan suasana belajar dan proses pembelajaran peserta didik secara aktif mengembangkan potensi dirinya untuk memiliki kekuatan spiritual keagamaan, pengendalian diri, kepribadian, kecerdasan, akhlak mulia serta ketrampilan yang diperlukan dirinya, masyarakat, bangsa dan negara.Itu merupakan definisi tingkat pendidikan berdasarkan undang-undang yang telah tertera dalam hukum negara Republik Indonesia.</p>
      <p id="_paragraph-31">Tingkat Pendidikan dapat mengubah daya pikir seseorang dalam menjalankan usaha kecil mikro. Semakin tinggi tingkat pendidikan seseorang, maka seseorang dapat berpikir untuk mendapatkan pendapatan dalam UMKM yang dijalankan oleh para pelaku UMKM. Semakin tingkat pendidikan tinggi, maka seharusnya tingkat pendidikan tersebut dapat meningkatkan pendapatan sebuah usaha kecil mikro. Sebaliknya, semakin rendah tingkat pendidikan seseorang maka dapat mengurangi pendapatan</p>
      <p id="_paragraph-32">Tingkat pendidikan merupakan seberapa tinggi seseorang dapat meraih pendidikan. Tingkat pendidikan seseorang dapat mempengaruhi tingkat pendapatan pada sebuah UMKM. Tingkat pendidikan juga dapat sebagai sesuatu yang utama dalam memperbesar dan penciptaan teknologi baru. Pendidikan ialah awal yang penting dalam mengembangkan usaha kecil mikro dan menengah. Tingkat pendidikan juga mempengaruhi daya pikir seseorang dan juga wawasan orang tersebut. Oleh karena itu pendidikan merupakan modal penting dalam meningkatkan pendapatan para pelaku UMKM</p>
      <p id="_paragraph-33">Data yang didapatkan yang berasal dari berasal dari data kemdikbud mendapatkan terdapat tingakatan kelulusan orang yang berbeda-beda antara satu dengan yang lainnya. Data yang berasal dari tahun 2021 menunjukkan bahwa pada tahun 2020 terdapat 4.123.226 lulusan SD,3.2692.202 Lulusan SMP, 1.584.858 Lulusan SMK,1.545.784 Lulusan SMA dan lulusan Perguruan tinggi yaitu sebesar 1.757.169 Mahasiswa. Dari data tersebut terlihat bahwa terdapat perbedaan jumlah lulusan tingkat pendidikan yang berbeda antara satu dengan yang lainnya.Sehingga setiap lulusan mempengaruhi daya pikir seseorang antara satu sama lainnya.</p>
      <p id="_paragraph-35">Tujuan penelitian, tujuan penelitian merupakan tujuan dari sebuah penelitian dan alasan kenapa penelitian tersebut dilakukan. Yaitu peneliti ingin mengetahui dampak kualitas produk dan tingkat pendidikan dalam pendapatan UMKM di Kabupaten Sidoarjo. Peneliti juga ingin melakukan sebuah penelitian yang dapat mengetahui dampak variabel lainnya yang dapat mempengaruhi pendapatan UMKM seperti tingkat pendidikan.Variabel-variabel tersebut dalam penelitian sebelumnya, dapat mempengaruhi secara signifikan terhadap pendapatan UMKM pada kabupaten sidoarjo. Sehingga peneliti ingin mengetahui secara lebih dalam faktor tingkat pendidikan terhadap pendapatan UMKM. Dan diharapkan dengan adanya penelitian ini, maka para pelaku UMKM dapat menggunakan hasil peneltiain untuk meningkatkan pendapatan UMKM sehari-hari.</p>
      <p id="_paragraph-36">Tingkat pendidikan ialah sesuatu dalam proses jangka panjang yang memakai sebuah sistem terstruktur dan memiliki sistem, dimana para tenaga kerja mengetahui ilmu-ilmu pengetahuan terstruktur dan pemikiran-pemikiran demi tujuan yang terketahui oleh masyarakat[6]Dengan adanya tingkatan pendidikan dan semakin tinggi tingkat pendidikan, maka tingkat pendidikan dapat mempengaruhi pendapatan usaha kecil mikro dan menengah di Sidoarjo. Seseorang dengan tingkat pendidikan yang tinggi, mempunyai daya pikir yang berbeda dengan seseorang yang tidak memiliki tingkat pendidikan yang tinggi atau rendah. Dengan perbedaan daya pikir seseorang, maka daya pikir tersebut dapat mempengaruhi sebuah usaha berkembang dengan pesat maupun tidak sama sekali.</p>
      <p id="_paragraph-37">Penelitian sebelumnya telah dilakukan dari berbagai penelitian terhadap berbagai variabel yang dapat mempengaruhi pendapatan usaha kecil mikro di berbagai tempat sebelumnya. Hasil penelitian yang diperoleh berbagai macam sehingga menciptakan sesuatu yang tidak konsisten dari penelitian sebelumnya maupun yang akan pada masa depan. Dari berbagai tipe <italic id="_italic-55">research</italic><italic id="_italic-56"> gap</italic> yang ada di dalam penelitian sebelumnya, yang digunakan yaitu <italic id="_italic-57">empirical gap</italic> yaitu penelitian yang terjadi dan tidak adanya konsistensi antara satu penelitian dengan penelitian lainnya.</p>
      <p id="_paragraph-38">Dari penjelasan tersebut dapat disimpulkan bahwa terdapat berbagai <italic id="_italic-58">research gap </italic>yang manaterdapat perbedaan variabel kualitas produk, dan tingkat pendidikan terhadap pendapatan UMKM<italic id="_italic-59">. </italic>Oleh karena itu penelitian ini bertujuan mengetahui dampak kualitas produk, dan tingkat pendidikan terhadap pendapatan UMKM. Penelitian ini diharapkan agar masyarakat dapat meningkatkan kualitas produk, tingkat pendidikan untuk meningkatkan kesejahteraan dan pendapatan para pelaku UMKM di Kabupaten Sidoarjo.</p>
      <p id="_paragraph-39">Rumusan Masalah: mencari dampak pengaruh kualitas produk, dan tingkat pendidikan terhadap pendapatan UMKM. Yaitu peneliti ingin mengetahui dampak pengaruh kualitas produk, dan tingkat pendidikan terhadap pendapatan UMKM. Peneliti juga ingin, mengetahui kualitas produk dalam pendapatan UMKM di Kabupaten Sidoarjo. Peneliti juga ingin mengetahui dampak kualitas produk terhadap pendapatan UMKM di Kabupaten Sidoarjo. Permasalahan juga dimiliki oleh para pelaku UMKM dikarenakan kenapa bisa tingkat Pendidikan dapat mempengaruhi pendapatan UMKM.</p>
      <p id="_paragraph-40">Pertanyaan penelitian: Apakah Kualitas produk dan tingkat pendidikan berpengaruh terhadap pendapatan UMKM di Sidoarjo?</p>
      <p id="_paragraph-41"><italic id="_italic-60">Novelty, </italic>pada penelitian ini ialah peningkatan jumlah pelaku UMKM secara signifikan. Meningkatnya jumlah UMKM yang signifikan dan terdapat berbagai jenis kegiatan UMKM yang beragam menyebabkan sesuatu penelitian yang baru dalam penelitian ini. Keberagaman dan tumbuhnya jenis UMKM menciptakan sesuatu yang baru dalam penelitian yang akan dilakukan. Berbagai tipe umkm yang tumbuh dan tipe umkm yang baru menyebabkan terdapat subyek penelitian yang baru untuk diteliti oleh peneliti.</p>
    </sec>
    <sec id="heading-fa2afa5623bbd4b62d3aafa78aaa0cbe">
      <title>Metode</title>
      <p id="_paragraph-42">
        <bold id="_bold-30">A</bold>
        <bold id="_bold-31">.J</bold>
        <bold id="_bold-32">enis</bold>
        <bold id="_bold-33">P</bold>
        <bold id="_bold-34">enelitian</bold>
      </p>
      <p id="_paragraph-43">Metode penelitian merupakan metode penelitian yang akan digunakan peneliti untuk melakukan sebuah penelitian. Metode penelitian yang akan digunakan menggunakan metode penelitian kuantitatif demi mendapatkan data. Penelitian kuantitatif merupakan penelitian yang murni yang mana data penelitian penuh dengan angka-angka yang didapatkan melalui data penelitian. Sehingga data yang didapatkan merupakan angka-angka dari penelitian</p>
      <p id="_paragraph-44">
        <bold id="_bold-35">B.</bold>
        <bold id="_bold-36">Teknik </bold>
        <bold id="_bold-37">p</bold>
        <bold id="_bold-38">engumpulan </bold>
        <bold id="_bold-39">d</bold>
        <bold id="_bold-40">ata</bold>
      </p>
      <p id="_paragraph-45">Peneliti akan menggunakan pengambilan sampel dengan menggunakan metode pengambilan sampel survei. Survei merupakan metode penelitian yang mana dalam penelitian tersebut peneliti menggunakan daftar pertanyaan dan daftar pertanyaan tersebut merupakan alat untuk mengumpulkan data[7]. Peneliti akan menyebarkan kuesioner dengan menggunakan formulir <italic id="_italic-61">google form</italic>, dengan begitu maka peneliti akan mendapatkan responden penelitian yang dibutuhkan oleh peneliti.</p>
      <p id="_paragraph-46">
        <bold id="_bold-41">C</bold>
        <bold id="_bold-42">.Populasi </bold>
        <bold id="_bold-43">d</bold>
        <bold id="_bold-44">an </bold>
        <bold id="_bold-45">S</bold>
        <bold id="_bold-46">ampel</bold>
      </p>
      <p id="_paragraph-47">Populasi penelitian merupakan sekumpulan manusia, obyek maupun topik yang mana menjadi sumber untuk mendapatkan ukuran kecil dan populasi, maupun gabungan yang mana digunakna untuk mengisi hal-hal yang diperlukan dengan permasalahan penelitian. Populasi juga merupakan target penelitian yang mana bisa berupa rakyat maupun daerah suatu negara[8] Populasi merupakan sesuatu yang berjumlah besar dalam sebuah penelitian. Oleh karena itu peneliti membutuhkan beberapa jumlah yang dibutuhkan dalam sebuah penelitian.</p>
      <p id="_paragraph-48">Dalam subyek penelitian, populasi merupakan jumlah total subyek penelitian dalam sebuah penelitian yang akan dilakukan oleh seorang peneliti. Dalam penelitian yang akan dilakukan, peneliti akan mendapatkan jumlah populasi subyek penelitian. Populasi merupakan suatu jumlah total dalam sebuah variabel yang terdapat pada sebuah penelitian.Subyek penelitian merupakan salah satu bagian dari Populasi dan Sampel. Peneliti akan mendapatkan data dari populasi penelitian yang terdapat di lokasi penelitian.</p>
      <p id="_paragraph-49">Dari definisi tersebut dapat disimpulkan bahwa populasi merupakan sekumpulan orang, topik yang mana digunakan untuk menjadi penelitian. Sekumpulan orang-orang tersebut merupakan jumlah populasi yang mana jumlah populasi penelitian. Populasi merupakan jumlah total variabel yang terdapat pada lokasi penelitian. Populasi juga merupakan hal yang penting dikarenakan, dari situlah data penelitian didapatkan untuk peneliti</p>
      <p id="_paragraph-50">
        <bold id="_bold-47">D</bold>
        <bold id="_bold-48">.Teknik </bold>
        <bold id="_bold-49">a</bold>
        <bold id="_bold-50">nalisis</bold>
        <bold id="_bold-51">Penelitian</bold>
      </p>
      <p id="_paragraph-51">Penganalisis data yang akan didapatkan kemudian akan dianalisis menggunakan teknik analisis data. Dengan melakukan teknik analisis data, peneliti akan mendapatkan kesimpulan dari analisis data yang dibutuhkan. Peneliti juga akan menggunakan perangkat lunak yang akan digunakan untuk untuk menganalisis data tersebut. Dan dari data yang telah dianalisis, peneliti akan mengambil kesimpulan dari data tersebut.</p>
      <p id="_paragraph-52">Bab ini akan membahas hasil dari analisa yang telah dilakukan oleh software yang telah digunakan yaitu <italic id="_italic-62">SMARTPLS4 </italic>dalam hasil uji reliabilitas yang telah dianalisa oleh peneliti dan berasal dari kuesioner yang telah disebarkan kepada sampel penelitian UMKM pada Kabupaten Sidoarjo dan bab ini menyertakan beberapa hasil uji penelitian seperti hasil uji reliabilitas dan hasil Cronbach Alpha’s untuk mengukur pengaruh variabel kualitas produk dan tingkat pendidikan terhadap pendapatan umkm.Hasil kuesioner juga menunjukkan para pedagang bahwa fitur kualitas produk berpengaruh terhadap pendapatan UMKM, Data menunjukkan 24 para pelaku umkm menunjukkan sangat setuju fitur kualitas produk berpengaruh terhadap pendapatan UMKM,16 pedagang umkm setuju bahwa fitur kualitas produk dapat meningkatkan pendapatan umkm dan 2 pelaku umkm berpendapat netral bahwa kualitas produk berpengaruh terhadap pendapatan umkm.Dalam data kuesioner yang menunjukkan jenjang pendidikan 14 para pelaku umkm berpendapat sangat setuju bahwa tingkat pendidikan berpengaruh terhadap pendapatan umkm,21 berpendapat Setuju,13 berpendapat netral,11 berpendapat tidak setuju dan 2 berpendapat sangat tidak setuju jenjang pendidikan dapat berpengaruh terhadap pendapatan umkm.</p>
      <p id="_paragraph-53">
        <bold id="_bold-52">E.</bold>
        <bold id="_bold-53">Hubungan</bold>
        <bold id="_bold-54">antar variabel</bold>
      </p>
      <p id="_paragraph-54">1.Pengaruh Kualitas Produk (X1) terhadap pendapatan UMKM(Y).</p>
      <p id="_paragraph-55">Kualitas produk merupakan merupakan kualitas dari produk yang diproduksi dan memiliki karakteristik dalam sebuah produk tersebut dan memiliki nilai bagi pihak pembeli produk.Kualitas digunakan untuk memfokuskan terhadap keinginan dan kebutuhan konsumen demi meningkatkan pendapatan UMKM.</p>
      <p id="_paragraph-56">Penelitian terdahulu yang dilakukan oleh seorang peneliti [3] menunjukkan bahwa kualitas produk dapat meningkatkan pendapatan UMKM sehingga dengan adanya peningkatan kualitas produk maka dapat meningkatkan pendapatan UMKM dan dapat meningkatkan kesejahteraan masyarakat Indonesia secara jangka pendek maupun jangka panjang.Hal ini dikarenakan kualitas produk dapat memenuhi keinginan dan kebutuhan konsumen sehingga terjadi peningkatan penjualan dan peningkatan pendapatan UMKM.Dalam penelitian tersebut disimpulkan bahwa kualitas produk dapat meningkatkan pendapatan UMKM.</p>
      <p id="_paragraph-57">Penelitian tersebut berbeda dengan penelitian yang dilakukan oleh peneliti sebelumnya [4] menunjukkan bahwa kualitas produk tidak dapat meningkatkan pendapatan UMKM.Hal ini disebabkan kualitas produk yang dimiliki oleh UMKM tidak dapat memenuhi keinginan dan kebutuhan para konsumen sehingga kualitas produk tersebut tidak dapat meningkatkan pendapatan UMKM.Menurunnya kualitas produk dan tidak terpenuhinya keinginan maupun kebutuhan konsumen akan menyebabkan penjualan produk UMKM yang berakibat pada penurunan pendapatan UMKM sehingga UMKM tidak dapat mensejahterakan para pemilik UMKM.Dengan kesimpulan dalam penelitian tersebut ialah bahwa kualitas produk tidak dapat meningkatkan pendapatan UMKM.</p>
      <p id="_paragraph-58">2.Pengaruh Tingkat Pendidikan(X2) Terhadap pendapatan UMKM(Y)</p>
      <p id="_paragraph-59">Tingkat pendidikan merupakan seberapa tinggi jenjang pendidikan yang dimiliki oleh seseorang.Tingkat pendidikan dapat berpengaruh terhadap pendapatan UMKM.Tingkat pendidikan memiliki peran untuk meningkatkan pengaruh dan dampak terhadap pendapatan UMKM dalam kegiatannya sehari-hari.Tingkat pendidikan diasumsikan bahwa semakin tinggi tingkat pendidikan yang dimiliki oleh seseorang maka juga akan berdampak pada peningkatan UMKM[14].</p>
      <p id="_paragraph-60">Penelitian yang dilakukan oleh dalam hasil penelitiannya menemukan bahwa tingkat pendidikan dapat mempengaruhi pendapatan UMKM.Dan tingkat pendidikan secara umumnya dari progres pengumpulan ilmu pengetahuan kemampuan maupun keahlian lainnya yang dapat meningkatkan produktivitas,kinerja dalam melakukan kegiatan aktivitas dan memperbesar keahlian dalam organisasi dalam sebuah UMKM sehingga dapat meningkatkan pendapatan UMKM.</p>
      <p id="_paragraph-61">Penelitian tersebut berbeda dengan yang dilakukan oleh peneliti yang lain[5], penelitian tersebut menunjukkan bahwa tingkat pendidikan tidak berpengaruh terhadap pendapatan UMKM.Hal ini disebabkan oleh pemilik UMKM yang memiliki tingkat pendidikan yang tinggi tetapi tidak memakai ilmu pengetahuan yang dimilikinya akan berdampak pada tingkat penjualan produk yang dan juga penurunan produktivitas.Dan dari penelitian tersebut berkesimpulan bahwa tingkat pendidikan tidak berpengaruh terhadap pendapatan UMKM</p>
      <fig id="figure-panel-c33d8f64b0153150608bfff682f18dc7">
        <label>Figure 1</label>
        <caption>
          <title>
            <bold id="_bold-55">Kerangka</bold>
            <bold id="_bold-56">K</bold>
            <bold id="_bold-57">onseptual</bold>
          </title>
          <p id="paragraph-429979b32634ec80d26324efaf6f513d" />
        </caption>
        <graphic id="graphic-9608aa06a9c30685b7f22fafe109e514" mimetype="image" mime-subtype="png" xlink:href="Screenshot (861).png" />
      </fig>
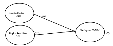
      <p id="_paragraph-63">Kualitas Produk</p>
      <p id="_paragraph-64">(X1) (<italic id="_italic-63">H1</italic><italic id="_italic-64">)</italic></p>
      <p id="_paragraph-65">Pendapatan UMKM</p>
      <p id="_paragraph-66">Tingkat Pendidikan (H2) (Y)</p>
      <p id="_paragraph-67">(X2)</p>
      <p id="_paragraph-69">Berdasarkan gambar 1 maka dapat disimpulkan beberapa hipotesis penelitian ialah sebagai dibawah berikut.</p>
      <p id="_paragraph-70">H0:Kualitas produk(X1) dan tingkat pendidikan(X2) berpengaruh simultan terhadap pendapatan UMKM.</p>
      <p id="_paragraph-71">H1:Kualitas produk(X1) dan tingkat pendidikan(X2) tidak berpengaruh simultan terhadap pendapatan UMKM.</p>
    </sec>
    <sec id="heading-0ef8d9693c6bd9f01f48ecd7f3e0d8ff">
      <title>H<bold id="bold-1baa7450aacfc5a2aaee5cf74892f76b">asil dan Pembahasan</bold></title>
      <table-wrap id="_table-figure-1">
        <label>Table 1</label>
        <caption>
          <title>Jawaban dari responden sampel UMKM</title>
          <p id="_paragraph-73" />
        </caption>
        <table id="_table-1">
          <tbody>
            <tr id="table-row-462eda9430f2d40aa076b47ea14acf0a">
              <td id="table-cell-89a88f2f4b3a4278fd436d42d8faea2b">Variabel</td>
              <td id="table-cell-da43ec014c61165cb6ad741013e0ea41">Jawaban Respoden</td>
              <td id="table-cell-236f3efe9e1585535842d7c6759e9f8e">Peresentase</td>
            </tr>
            <tr id="table-row-f26de42b4a338d51f21a4c4c34f1d2fc">
              <td id="table-cell-f4853c3cd0511026bf0359950b584f18">Kualitas Produk(X1)</td>
              <td id="table-cell-667d1d6158707497955a4c44ebcafc40">Sangat Setuju(29)Setuju(19)Netral(2)Tidak Setuju(0)Sangat Tidak Setuju(2)</td>
              <td id="table-cell-098da1f66882b89a90faf927240d4531">55.8%40.3%3.8%</td>
            </tr>
            <tr id="table-row-907d5fa4f11bd5af2dfb1142ebe8688f">
              <td id="table-cell-038fec50df70283c2751d8bccd19253c">Tingkat Pendidikan(X2)</td>
              <td id="table-cell-4633ab84c04a926270372ac58a291466">Sangat Setuju(7)Setuju(19)Netral(13)Tidak Setuju(10)Sangat Tidak Setuju(2)</td>
              <td id="table-cell-10ba1aaabcbc9637cab58a76bcb60ddd">13,4%32,7%25%21.2%3.8%</td>
            </tr>
          </tbody>
        </table>
      </table-wrap>
      <p id="_paragraph-74">Dalam hasil tabel 1 tersebut dapat dijelaskan dan diketahui 55,8% berpendapat sangat setuju kualitas produk berpengaruh terhadap pendapatan umkm.40,3% berpendapat setuju kualitas produk berpengaruh terhadap pendapatan umkm dan 3.8% berpendapat netral bahwa kualitas produk tidak berpengaruh maupun pengaruh terhadap pendapatan umkm.Dan tabel tersebut juga menunjukkan 13.4% berpendapat sangat setuju tingkat pendidikan berpengaruh terhadap pendapatan umkm,32.7% setuju tingkat pendidikan berpengaruh terhadap pendapatan umkm,25% berpendapat netral tingkat pendidikan berpengaruh terhadap pendapatan umkm,21.2% berpendapat tidak setuju bahwa tingkat pendidikan berpengaruh terhadap pendapatan umkm dan 3.8% berpendapat sangat tidak setuju bahwa tingkat pendidikan berpengaruh terhadap pendapatan umkm.</p>
      <fig id="figure-panel-29fd75bb1c167a916697039090322d49">
        <label>Figure 2</label>
        <caption>
          <title>Data Responden bentuk kualitas produk dalam grafik lingkaran.</title>
          <p id="paragraph-30591cfb3a98b22745ec921d575251f1" />
        </caption>
        <graphic id="graphic-3a6886ddce65066898d6f73d535e295d" mimetype="image" mime-subtype="png" xlink:href="Screenshot (862).png" />
      </fig>
      <p id="_paragraph-76">Gambar 2 merupakan data yang menunjukkan pendapat responden terhadap kualitas produk di Sidoarjo.Di dalam gambar tersebut menunjukkan sebagian besar para UMKM setuju dan sangat setuju bahwa bentuk kualitas produk berpengaruh terhadap pendapatan UMKM dan sedikit yang berpendapat netral bentuk kualitas produk terhadap pendapatan UMKM.Hal ini disebabkan bentuk kualitas produk yang dapat memenuhi kebutuhan dan keiginan para konsumen terhadap produk yang dijual oleh UMKM sehingga bentuk kualitas produk dapat meningkatkan pendapatan UMKM.Dari data tersebut menunjukkan kesimpulan bahwa bentuk kualitas produk berpengaruh terhadap pendapatan UMKM pada Kabupaten Sidoarjo.</p>
      <fig id="figure-panel-affd524b3edc7bfa71270c49cdf1cea5">
        <label>Figure 3</label>
        <caption>
          <title>Data responden mengenai fitur kualitas produk terhadap pendapatan UMKM<bold id="_bold-67">.</bold></title>
          <p id="paragraph-fd69210a4bd347167d5e110dd276899b" />
        </caption>
        <graphic id="graphic-9a954c39d13c829997410c6ae9402243" mimetype="image" mime-subtype="png" xlink:href="Screenshot (863).png" />
      </fig>
      <p id="_paragraph-78">Gambar 3 merupakan data responden mengenai fitur kualitas produk terhadap pendapatan UMKM.Hasil data menunjukkan sebagian besar responden berpendapat setuju dan sangat setuju terhadap fitur kualitas produk yang berpengaruh terhadap pendapatan UMKM.Hal ini dikarenakan fitur kualitas produk merupakan indikator yang dapat memenuhi kebutuhan dan keinginan konsumen sehingga kosumen membeli dan mengkonsumsi produk yang dijual oleh UMKM sehingga meningkatkan pendapatan para UMKM pada Kabupaten Sidoarjo.Data menunjukkan kesimpulan bahwa fitur kualitas produk dapat berpengaruh terhadap pendapatan UMKM.</p>
      <fig id="figure-panel-51ab5053b2ea1df5652b744aca850364">
        <label>Figure 4</label>
        <caption>
          <title>Data responden mengenai variasi kualitas produk terhadap pendapatan UMKM.</title>
          <p id="paragraph-bd626eba76cbf66cfd090c49b933dda5" />
        </caption>
        <graphic id="graphic-d01ad89eab0d16390b4472a969567006" mimetype="image" mime-subtype="png" xlink:href="Screenshot (864).png" />
      </fig>
      <p id="_paragraph-80">Gambar 4 merupakan data responden mengenai variasi kualitas produk terhadap pendapatan UMKM.Dari hasil data menunjukkan sebagian besar responden berpendapat setuju bahwa variasi kualitas produk berpengaruh terhadap pendapatan UMKM.Responden sebagian besar berpendapat setuju dengan alasan bahwa kualitas produk yang bervariasi dapat meningkatkan penjualan pada produk UMKM yang mana akan dibeli oleh konsumen yang menginginkan produk tersebut sehingga dapat meningkatkan pendapatan UMKM.Dari data ini dapat disimpulkan bahwa variasi kualitas produk berpengaruh secara signifikan terhadap pendapatan UMKM.</p>
      <fig id="figure-panel-f27b86ace0bb50ba0e8a4d029b4f6b1e">
        <label>Figure 5</label>
        <caption>
          <title>Data responden mengenai daya tahan kualitas produk terhadap pendapatan UMKM</title>
          <p id="paragraph-e8cf3e64785fbec11952196185a164de" />
        </caption>
        <graphic id="graphic-f6d6997de119b81e7764f7d47d09ad52" mimetype="image" mime-subtype="png" xlink:href="Screenshot (866).png" />
      </fig>
      <p id="_paragraph-82">Gambar 5 merupakan data responden mengenai daya tahan kualitas produk terhadap pendapatan UMKM.Data tersebut menunjukkan bahwa sebagian besar sangat setuju bahwa daya tahan kualitas produk yang bervariasi berpengaruh terhadap pendapatan UMKM.Hal ini disebabkan daya tahan kualitas produk yang bervariasi dan tinggi dapat memenuhi keinginan maupun kebutuhan konsumen sehingga para konsumen membeli produk yang ditawarkan oleh UMKM dan menyebabkan peningkatan pendapatan UMKM.Maka konsumen dapat memilih variasi maupun pilihan kualitas produk yang diinginkan sehingga konsumen dapat membeli produk UMKM.Dengan kesimpulan bahwa variasi daya tahan kualitas produk dapat meningkatkan pendapatan terhadap UMKM.</p>
      <fig id="figure-panel-8159eabed645d881528e39662e0d15f8">
        <label>Figure 6</label>
        <caption>
          <p id="paragraph-dab7c388adba25290f9f538aac6093bc" />
        </caption>
        <graphic id="graphic-c0f67c3a22ad65262db0515eb4e41868" mimetype="image" mime-subtype="png" xlink:href="Screenshot (867).png" />
      </fig>
      <p id="_paragraph-84">Gambar 6 merupakan data responden mengenai lama pendidikan terhadap pendapatan UMKM.Sebagian besar responden UMKM berpendapat setuju bahwa lama pendidikan mempengaruhi pendapatan UMKM.Hal yang menyebabkan responden setuju berpendapat bahwa lama pendidikan berpengaruh terhadap pendapatan UMKM dengan alasan semakin lama pemilik UMKM mengeyam pendidikan maka semakin banyak ilmu yang didapatkan oleh pemilik UMKM dan ilmu yang dimiliki oleh pemilik UMKM dapat digunakan untuk meningkatkan pendapatan UMKM. Dari data tersebut meunjukkan kesimpulan bahwa lama pendidikan berpengaruh terhadap pendapatan UMKM.</p>
      <p id="_paragraph-85"><bold id="_bold-77">Gambar </bold><bold id="_bold-78">7</bold><bold id="_bold-79">.</bold>Data responden mengenai pengaruh jenjang pendidikan terhadap pendapatan UMKM</p>
      <fig id="figure-panel-4d0a423210f94abeb27dacf3730a5e23">
        <label>Figure 7</label>
        <caption>
          <p id="paragraph-83a5ae5cec21ab9b6eae6cb9ac20220a" />
        </caption>
        <graphic id="graphic-f2a02a0601a5b95a51b45baad814f6fd" mimetype="image" mime-subtype="png" xlink:href="Screenshot (867)_2.png" />
      </fig>
      <p id="_paragraph-86">Gambar 7 mengenai data responden mengenai jenjang pendidikan terhadap pendapatan UMKM.Data menunjukkan terdapat berbagai pendapat dan sebagian besar menjawab setuju bahwa jenjang pendidikan berpengaruh terhadap pendapatan UMKM.Hal ini dikarenakan semakin tinggi jenjang pendidikan seseorang maka orang tersebut memiliki ilmu yang lebih mendalam untuk menjalani kegiatan UMKM sehingga dapat meningkatkan pendapatan UMKM.Dengan kesimpulan bahwa jenjang pendidikan berpengaruh terhadap pendapatan pelaku UMKM.</p>
      <fig id="figure-panel-adcdfba8637f9f791bccf5447be9ec4a">
        <label>Figure 8</label>
        <caption>
          <title>Data responden mengenai kualitas pendidikan terhadap pendapatan UMKM</title>
          <p id="paragraph-f8092d1a091bd34a4bc8f297428fb486" />
        </caption>
        <graphic id="graphic-13c6381a055974a39f7345e220bd4988" mimetype="image" mime-subtype="png" xlink:href="Screenshot (868).png" />
      </fig>
      <p id="_paragraph-88">Gambar 8 menunjukkan data responden mengenai kualitas pendidikan terhadap pendapatan UMKM.Dari hasil data tersebut menunjukkan bahwa terdapat berbagai jawaban terhadap pengaruh kualitas pendidikan terhadap pendapatan UMKM.Dan sebagian besar menunjukkan bahwa kualitas pendidikan berpengaruh terhadap pendidikan meskipun juga terdapat beberapa pendapat lainnya yang menunjukkan bahwa kualitas pendidikan tidak berpengaruh terhadap pendapatan UMKM.Hal ini dikarenakan kualitas produk yang baik maupun bagus memiliki dampak terhadap pemilik UMKM sehingga ilmu yang dimiliki oleh pemilik UMKM dapat digunakan untuk meningkatkan pendapatan UMKM dalam jangka pendek maupun jangka panjang.Dari data tersebut dapat disimpulkan bahwa kualitas pendidikan memiliki pengaruh terhadap pendapatan UMKM.</p>
      <p id="_paragraph-89">
        <bold id="_bold-82">B.Hasil</bold>
        <bold id="_bold-83">Analisis Data</bold>
      </p>
      <p id="_paragraph-90">1.Hasil Uji Reliabilitas</p>
      <p id="_paragraph-91">Hasil data uji reliabilitas terdapat pada tabel 1 sebagai berikut ini</p>
      <table-wrap id="_table-figure-2">
        <label>Table 2</label>
        <caption>
          <title><bold id="_bold-85"/>Hasil Uji reliabilitas</title>
          <p id="_paragraph-93" />
        </caption>
        <table id="_table-2">
          <tbody>
            <tr id="table-row-35060f0c81f06e16d8e2706a140b94bf">
              <td id="table-cell-dc1106fca1b4c8dcd23509f7a9e29087">Variabel</td>
              <td id="table-cell-d7c7b0b4e3686d196fc571989a3a8cfd">Composite Reliability(rho_a)</td>
              <td id="table-cell-9358cb300c672265fadd0189ba9d93a6">Kesimpulan</td>
            </tr>
            <tr id="table-row-94904f8a897781e58f19128cb8a2d3a6">
              <td id="table-cell-cc72e42a3fec9f496799579cbd00a058">Kualitas Produk</td>
              <td id="table-cell-4340756b08efc92313f5191c1a186f00">0.907</td>
              <td id="table-cell-b6950e61cf9b25c4456483aa5aa97ea0">Dapat Dihandalkan</td>
            </tr>
            <tr id="table-row-c6dcd9c69a6575b39cfbb28cd8c020a1">
              <td id="table-cell-551a87517747fb7a16f589fd9cc66fc3">Tingkat Pendidikan</td>
              <td id="table-cell-ae789e5a6a1151086d067ab36c1525c4">1.537</td>
              <td id="table-cell-4c2f7dad999a2e1caf326f78e1f40483">Dapat Dihandalkan</td>
            </tr>
          </tbody>
        </table>
      </table-wrap>
      <p id="_paragraph-94">Hasil uji reliabilitas pada tabel 2 yang dilihat dari <italic id="_italic-65">composite reliability</italic> menunjukkan variabel kualitas produk memiliki nilai 0.907 yang mana jika nilai composite reliability &gt;0.700 dari suatu variabel maka variabel dapat diterima dan menunjukkan variabel kualitas produk berpengaruh signifikan terhadap pendapatan UMKM yang terdapat pada Kabupaten Sidoarjo dan kualitas produk memiliki pengaruh signifikan terhadap pendapatan UMKM secara signifikan.Dalam variabel tingkat pendidikan variabel tersebut memiliki nilai 1.537 dalam analisa <italic id="_italic-66">composite realiability </italic>dan jika nilai composite reliability berada diatas nilai &gt;0.700 menunjukkan tingkat pendidikan memiliki nilai sangat signifikan terhadap pendapatan UMKM yang berada pada Kabupaten Sidoarjo.Dapat disimpulkan variabel kualitas produk dan tingkat pendidikan mempengaruhi pendapatan UMKM pada Kabupaten Sidoarjo.</p>
      <p id="_paragraph-95">2.Hasil Cronbach’s Alpha</p>
      <p id="_paragraph-96">Hasil data Cronbach’s Alpha terdapat pada tabel 2 sebagai berikut ini:</p>
      <table-wrap id="_table-figure-3">
        <label>Table 3</label>
        <caption>
          <title><bold id="_bold-91"/>Hasil Cronbach’s Alpha</title>
          <p id="_paragraph-98" />
        </caption>
        <table id="_table-3">
          <tbody>
            <tr id="table-row-e237463ce2c0b3ff918c3ea43e25236d">
              <td id="table-cell-294598d7a607aba992cb916eecdbd7fb">Variabel</td>
              <td id="table-cell-4468b48f7cde5cd8d06b90d6116c0ccb">Composite Reliability(rho_a)</td>
              <td id="table-cell-ef3b438789f443df7b337ec97c739a61">Kesimpulan</td>
            </tr>
            <tr id="table-row-67c86d6d04bc91198850336353eca785">
              <td id="table-cell-c04b522aae103f23a22cb4cccb70b35c">Kualitas Produk</td>
              <td id="table-cell-f1520a609f502830210183ce8e280f16">0.881</td>
              <td id="table-cell-0ff0e62b1dcc6bdbffb63cd5ad3c9561">Dapat Dihandalkan</td>
            </tr>
            <tr id="table-row-da71850144c4bfcbee88bd31a213afa7">
              <td id="table-cell-9269c28076d7c9b30f6ccca47d283b25">Tingkat Pendidikan</td>
              <td id="table-cell-873924b19f69a5d268eb0f06c5d63606">0.890</td>
              <td id="table-cell-552d56f65a859cf7ea7c3573786e8512">Dapat Dihandalkan</td>
            </tr>
          </tbody>
        </table>
      </table-wrap>
      <p id="_paragraph-99">Dalam tabel 3 hasil analisis yang ditunjukkan dalam tabel yang diatas menunjukkan memiliki nilai yang signifikan terhadap pendapatan UMKM, variabel kualitas produk memiliki hasil nilai 0.881 menunjukkan kualitas produk memiliki hasil yang sangat signifikan terhadap pendapatan UMKM pada kabupaten Sidoarjo.Variabel tingkat pendidikan memiliki nilai 0.890 yang menunjukkan variabel tingkat pendidikan maupun kualitas produk memiliki pengaruh yang sangat signifikan terhadap pendapatan UMKM pada Kabupaten Sidoarjo.Cronbach Alpha’s mengukur suatu nilai konstruk nilai reliabilitas dan jika nilai realibilitas &gt;0.60 maka konstruk akan dinilai dapat dihandalkan dan hasil Cronbach Alpha’s menunjukkan variabel kualitas produk dan tingkat pendidikan memiliki realibilitas yang tinggi dan berpengaruh terhadap pendapatan UMKM.</p>
      <p id="_paragraph-100">3.Hasil Average Variance Extracted(AVE)</p>
      <p id="_paragraph-101">Hasil data Average Variance Extracted terdapat pada tabel 3 sebagai berikut ini:</p>
      <table-wrap id="_table-figure-4">
        <label>Table 4</label>
        <caption>
          <title><bold id="_bold-96"/>Hasil Average Variance Extracted(AVE)</title>
          <p id="_paragraph-103" />
        </caption>
        <table id="_table-4">
          <tbody>
            <tr id="table-row-57d008045da298923f7ee1991a1651ab">
              <td id="table-cell-344ee0b112ee7a129d0fe99855efb86d">Variabel</td>
              <td id="table-cell-656efdbf3c2afc5edfa42beb274fdb4a">Average Variance Extracted (AVE)</td>
              <td id="table-cell-988f65efb60f853818b5adc6698dd413">Kesimpulan</td>
            </tr>
            <tr id="table-row-b098720358c41e684e141b8199b7c005">
              <td id="table-cell-d682bd39a0e5ca95e25002f7a978ec98">Kualitas Produk</td>
              <td id="table-cell-10aa79edd625e4fda33ae7e4bcf41365">0.806</td>
              <td id="table-cell-65cb2f8929e8757e3174cc8a7c8a46cd">VALID</td>
            </tr>
            <tr id="table-row-579cf0081c3daa791ff8d85053dc6788">
              <td id="table-cell-43eceb035aecbfc594dd7a3802eed515">Tingkat Pendidikan</td>
              <td id="table-cell-db4bfcc1d7c252edcae50b8e68405f6c">0.780</td>
              <td id="table-cell-7fe697e6601eeae0b2b9dd7e5622e07b">VALID</td>
            </tr>
          </tbody>
        </table>
      </table-wrap>
      <p id="_paragraph-104">Pada tabel 4 yang menunjukkan hasil <italic id="_italic-67">Average Variance Extracted</italic>menunjukkan kualitas produk memiliki nilai yang bernilai 0.806 dan variabel tingkat pendidikan memiliki nilai yang bernilai 0.780.Jika angka memiliki nilai yang lebih tinggi daripada nilai 0.500 maka variabel tersebut memiliki pengaruh signfikan terhadap pendapatan UMKM pada kabupaten Sidoarjo dan variabel tingkat pendidikan memiliki nilai 0.780 Average Variance extracted dan jika hasil AVA berada diatas 0.500 memiliki arti bahwa tingkat pendidikan memiliki pengaruh signfikan terhadap pendapatan UMKM pada Kabupaten Sidoarjo.</p>
      <p id="_paragraph-105">4.Hasil R-Square</p>
      <p id="_paragraph-106">Hasil R-Square ialah terdapat pada tabel 5 sebagai berikut ini:</p>
      <table-wrap id="_table-figure-5">
        <label>Table 5</label>
        <caption>
          <title>Hasil R-Square</title>
          <p id="_paragraph-108" />
        </caption>
        <table id="_table-5">
          <tbody>
            <tr id="table-row-3904f1c53a2ca6277727a2849466c6bf">
              <td id="table-cell-2dfec3d6ee6d10c775a4eabe02337d24">Variabel</td>
              <td id="table-cell-24de7451d4979d7b6f724428d757bfbd">R-Square</td>
              <td id="table-cell-03d73a22a157b15a0217debe83a61471">R-Square Adjusted</td>
            </tr>
            <tr id="table-row-c9706f72ded68b039b740b7f5c093bdf">
              <td id="table-cell-5cda7132fb647cc7b1e4978f64b648bc">Pendapatan</td>
              <td id="table-cell-0bef20015e290c054207859f4129df8b">0.867</td>
              <td id="table-cell-47f5f4b901a3aff2c3df19879c297516">0.861</td>
            </tr>
          </tbody>
        </table>
      </table-wrap>
      <p id="_paragraph-109">Pada tabel 5 yang menunjukkan hasil R-Square.Koefisien determinasi,Yaitu merupakan hasil r-square yang determinasi oleh r-square dan determinasi variabel terhadap R-square dan R-Square adjusted.Dalam hasil R-Square dan R-Square adjusted ditemukan R-Square and R-Square Pendapatan menunjukkan nilai 0.867 R-Square and 0.861 R-Square Adjusted.Nilai R-Square dan R-Square Adjusted yang tinggi dalam tabel diatas ini menujukkan variabel interdepended yaitu kualitas produk dan tingkat pendidikan berpengaruh secara signifikan terhadap pendapatan UMKM yang terdapat pada Kabupaten Sidoarjo.</p>
      <p id="_paragraph-110">5.Hasil Validitas</p>
      <p id="_paragraph-111">Hasil data validitas ialah terdapat pada tabel 6 sebagai berikut ini:</p>
      <table-wrap id="_table-figure-6">
        <label>Table 6</label>
        <caption>
          <title>Hasil Uji Validitas</title>
          <p id="_paragraph-113" />
        </caption>
        <table id="_table-6">
          <tbody>
            <tr id="table-row-8adce55f369f0d899f870c51a74aebc5">
              <td id="table-cell-17cb393c92932932ab7a007f2fc1666a">Variabel</td>
              <td id="table-cell-8b388b155fa4fc59253239736e0c448a">Composite reliablity (rho_c)</td>
              <td id="table-cell-8ac381a6acfc8056093239323a23e8bb">Kesimpulan</td>
            </tr>
            <tr id="table-row-dafc5b202f1ed2458bb586baecc1b02a">
              <td id="table-cell-00cc69ca56c08dcce8f46e91c3568928">Kualitas Produk</td>
              <td id="table-cell-93ff71b9475f3a6837607bb9112514c0">0.926</td>
              <td id="table-cell-8aa2dea599e372bd564925c40141d8c1">Dapat dihandalkan</td>
            </tr>
            <tr id="table-row-d8655e122bfdf4e44607412d1a5f8675">
              <td id="table-cell-e23d23a66ff2425346e2a5d730c74773">Tingkat Pendidikan</td>
              <td id="table-cell-a49f29b7b84d9939d688b4c3225a0efc">0.914</td>
              <td id="table-cell-2449cb2ebaf1fe5041f91cb4619dc4e4">Dapat dihandalkan</td>
            </tr>
          </tbody>
        </table>
      </table-wrap>
      <p id="_paragraph-114">Hasil tabel 6 yang menunjukkan hasil uji validitas merupakan instrumen maupun alat yang digunakan untuk menguji ketepatan data yang digunakan untuk isi penelitian dan penelitian selanjutnya dan validitas juga memfokuskan permasalahan yang diukur[9].Jika data meunjukkan lebih dari 0.700 maka data dapat dianggap dapat dihandalkan.Hasil Uji Validitas pada tabel tabel tersebut merupakan 0.926 dan 0.914 dan dapat disimpulkan bahwa kualitas produk dan tingkat pendidikan berpengaruh terhadap pendapatan UMKM.</p>
      <p id="_paragraph-115">6.Hasil Uji Path-Coefficient</p>
      <p id="_paragraph-116">Hasil data Uji path-Coefficient ialah terdapat pada tabel 6 sebagai berikut ini:</p>
      <table-wrap id="_table-figure-7">
        <label>Table 7</label>
        <caption>
          <title><bold id="_bold-111"/>Hasil Path Coefficient</title>
          <p id="_paragraph-118" />
        </caption>
        <table id="_table-7">
          <tbody>
            <tr id="table-row-53fccac5b9f142788f79dda570ebe2ac">
              <td id="table-cell-1f9b06f1d3cacc7889e66a3405a73b44">Variabel</td>
              <td id="table-cell-e9c09172faf7a90d7d7ab322415ea5ab">Path Coefficient</td>
              <td id="table-cell-4330f23a2b8111164807f28cffa355b4">Kesimpulan</td>
            </tr>
            <tr id="table-row-c91ccdf8616c5dd6f63a57752c584282">
              <td id="table-cell-94bc189bb283c489368342744d84e573">Kualitas Produk</td>
              <td id="table-cell-18f616a1a50b4d04c749b6303bf96d56">0.936</td>
              <td id="table-cell-3ed0a8d779ac035cb0db8eaee039185a">Dapat dihandalkan</td>
            </tr>
            <tr id="table-row-6f8ef61b80f289e9c25e2b6959c09bfd">
              <td id="table-cell-f43acdfd996edf1d3df98689b4cbb643">Tingkat Pendidikan</td>
              <td id="table-cell-52d196c6304f550db9df536a64d15fe8">0.037</td>
              <td id="table-cell-2f044beed20d062c16b3d9c973e6bc0c">Dapat dihandalkan</td>
            </tr>
          </tbody>
        </table>
      </table-wrap>
      <p id="_paragraph-119">Pada hasil tabel 7 data Uji path coefficient merupakan sesuatu angka yang mana memiliki hubungan antara sebuah variabel dengan variabel lainnya maupun terhadap sesuatu yang dependen.Jika path coefficient menunjukkan nilai mendekati 1 maka hubungan antara variabel dan lainnya semakin berpengaruh antara satu sama lain.Dalam tabel diatas menunjukkan variabel kualitas produk memiliki nilai 0.936 dan 0.037,dan kedua nilai tersebut menunjukkan variabel kualitas produk dan tingkat pendidikan berpengaruh terhadap pendapatan umkm meskipun tingkat pendidikan tidak berpengaruh secara signifikan.</p>
      <p id="_paragraph-120">7.Hasil Uji-T</p>
      <p id="_paragraph-121">Hasil data Uji-T ialah terdapat pada tabel 7 sebagai berikut ini:</p>
      <table-wrap id="_table-figure-8">
        <label>Table 8</label>
        <caption>
          <title>Hasil Uji-T</title>
          <p id="_paragraph-123" />
        </caption>
        <table id="_table-8">
          <tbody>
            <tr id="table-row-2e1795764a92bc4460084ef689135aa2">
              <td id="table-cell-cf26ff54099e2ad9ac41c903e8a56229">Variabel</td>
              <td id="table-cell-887b45d6905e55ab1bd8a8a6cfc3e389">Original Sample (O)</td>
              <td id="table-cell-431a74e729f48c28a1f94a9339e610df">Sample Mean (M)</td>
              <td id="table-cell-f7e8e45e9f506fd1062dbf9cce401bf5">Standard Deviantion( STDE)</td>
              <td id="table-cell-c9af48cfe79a2f92149909f9a21d895c">T Statistics (|O/STDEV|)</td>
              <td id="table-cell-313f7d164b695863f9e2bfe54aea17b2">P Values</td>
            </tr>
            <tr id="table-row-f7b74aac562fdcde50ba5b6dddceeaa9">
              <td id="table-cell-05281d2868a583b102d76650efa64583">Kualitas Produk-&gt;Pendapatan UMKM</td>
              <td id="table-cell-f7ca1b2de22aba044ea26097e4dce420">0.936</td>
              <td id="table-cell-b4e171a8954adb81f670e76ecfc7742f">0.937</td>
              <td id="table-cell-14e9affba786042133cc3fe581099940">0.021</td>
              <td id="table-cell-f0e9c8039e635561fa23cb59f20281ed">43.927</td>
              <td id="table-cell-d136f36cab92bd4be9aaba46eb03aa47">0.000</td>
            </tr>
            <tr id="table-row-0e54bfbf2bc3a0a704d3d2e4f366b32b">
              <td id="table-cell-1ed94e3a4c5fd721da5d603bb5e39131">Tingkat Pendidikan-&gt;Pendapatan UMKM</td>
              <td id="table-cell-917657c0af08d56bb7a67f5cf90dcdce">0.037</td>
              <td id="table-cell-8ad3486c2b512e45d0c39bc729e294b6">0.031</td>
              <td id="table-cell-8ec491c7d3ae9f4a0c07eddba48e4714">0.061</td>
              <td id="table-cell-da0a086de7138f581d24e07e16723341">0.605</td>
              <td id="table-cell-a19913159aa1461b14259af5c326873c">0.545</td>
            </tr>
          </tbody>
        </table>
      </table-wrap>
      <p id="_paragraph-124">Berdasarkan data yang berasal dari tabel 8 menunjukkan variabel kualitas produk memiliki P Value sebesar 0.000 yang mana dapat disimpulkan kualitas produk memiliki pengaruh terhadap pendapatan UMKM.Sementara itu P Value terhadap variabel tingkat pendidikan memiliki nilai sebesar 0.545 yang mana dapat disimpulkan bahwa tingkat pendidikan tidak berpengaruh terhadap pendapatan UMKM Sidoarjo.</p>
      <p id="_paragraph-125">Dalam hasil analisis ini data tabel 8 menunjukan kualitas produk memiliki pengaruh terhadap pendapatan UMKM.Dari tabel 8 tersebut menunjukkan nilai P Value sebesar 0.000 yang menunjukkan bahwa kualitas produk berpengaruh terhadap pendapatan UMKM,Pengaruhnya kualitas produk terhadap pendapatan UMKM dengan alasan bahwa kualitas produk yang baik dapat memenuhi keinginan para konsumen sehingga konsumen membeli produk yang dijual produk UMKM sehingga dapat membeli produk UMKM dan meningkatkan Pendapatan UMKM.Dengan ini berkesimpulan bahwa kualitas produk berpengaruh terhadap pendapatan UMKM untuk jangka pendek maupun jangka lama.</p>
      <p id="_paragraph-126">Dalam hasil ini data menunjukkan bahwa tingkat pendidikan tidak memiliki pengaruh terhadap pendapatan UMKM.Berdasarkan data yang terdapat pada tabel 8 tersebut menunjukkan bahwa nilai P Value sebesar 0.545 yang menunjukkan bahwa tingkat pendidikan tidak berpengaruh terhadap pendapatan UMKM.Tingkat pendidikan tidak berpengaruh terhadap pendapatan UMKM dengan beralasan bahwa sebagian UMKM berpendapat bahwa tingkat pendidikan tidak meningkatkan jumlah penjualan sehingga tidak meningkatkan pendapatan.Dengan ini dapat disimpulkan bahwa tingkat pendidikan tidak berpengaruh terhadap pendapatan UMKM.</p>
      <p id="_paragraph-127">C.Hasil Analisis SmartPLS4</p>
      <fig id="figure-panel-b104e5a34fd31ff25bb4ef4fa67b814a">
        <label>Figure 9</label>
        <caption>
          <title>
            <bold id="_bold-130">Gambar</bold>
            <bold id="_bold-131">menunjukkan hasil ilustrasi metodologi SmartPLS4</bold>
          </title>
          <p id="paragraph-170d52d0dae1cbdabb874c4d25f87e6e" />
        </caption>
        <graphic id="graphic-50f7ecdc485aa790858948c3f59a43bc" mimetype="image" mime-subtype="png" xlink:href="Screenshot (869).png" />
      </fig>
      <p id="_paragraph-129">Gambar 9 menunjukkan bahwa sebagian besar variabel memiliki nilai pengaruh besar dan variabel kualitas produk maupun tingkat pendidikan memiliki nilai nominal yang tinggi,yang mana menunjukkan bahwa semua indikator tingkat pendidikan maupun kualitas produk berpengaruh secara signifikan terhadap pendapatan UMKM.</p>
      <p id="_paragraph-131">Dalam penelitian ini dan dalam penelitian yang dilakukan,peneliti mengetahui dan mendapatkan hasil yang didapatkan dari media kuesioner yang mana telah diberikan kepada 52 responden yang terdapat pada Kabupaten Sidoarjo.Hasil dari kuesioner yang diberikan kepada 52 responden dan pemilik UMKM menunjukkan sebagian besar responden setuju terhadap bahwa variabel kualitas produk dapat mempengaruhi pendapatan UMKM dalam indikator seperti indikator variabel bentuk kualitas produk,fitur kualitas produk,daya tahan produk dan variasi kualitas produk.Dan dalam variabel tingkat pendidikan yang diberikan kepada 52 responden menunjukkan bahwa sebagian besar responden setuju bahwa kualitas produk mempengaruhi pendapatan UMKM dalam berbagai indikator tingkat pendidikan seperti lama pendidikan,jenjang pendidikan dan kualitas pendidikan.Meskipun dalam variabel tingkat pendidikan subyek penelitian memiliki berbagai pendapat tetapi sebagian besar berpendapat bahwa tingkat pendidikan berpengaruh dan setuju bahwa tingkat pendidikan memiliki pengaruh terhadap pendapatan umkm.Hal ini menunjukkan kualitas produk dapat memenuhi keinginan konsumen dan tingkat pendidikan dapat meningkatkan keahlian pedagang UMKM untuk mengatur usaha yang lebih baik dan efektif sehingga dapat meningkatkan pendapatan. Berdasarkan dari hasil analisis menunjukkan bahwa hipotesis h0 yaitu tingkat pendidikan dan kualitas produk tepat bahwa menunjukkan kedua variabel tersebut berpengaruh secara signifikan terhadap pendapatan UMKM.</p>
      <p id="_paragraph-132">1.Pengaruh Kualitas Produk Terhadap Pendapatan UMKM</p>
      <p id="_paragraph-133">Penelitian terhadap kualitas produk terhadap pendapatan UMKM dan analisa kualitas produk terhadap pendapatan UMKM,kualitas produk memiliki pengaruh yang signifikan terhadap pendapatan UMKM.Dari hasil analisis hasil Uji-T tabel 8 yang memiliki nilai P-Value 0.000 yang menunjukkan bahwa kualitas produk berpengaruh terhadap pendapatan UMKM.Penelitian ini mirip dengan penelitian sebelumnya menunjukkan pendapatan UMKM dipengaruhi oleh kualitas produk untuk memenuhi kebutuhan kepuasan konsumen [10]peningkatan kualitas produk yang dimiliki oleh para pemilik UMKM dapat meningkatkan pendapatan dan penjualan sehingga dapat meningkatkan taraf hidup pemilik para pelaku UMKM.Penelitian ini juga memiliki kesamaan dengan penelitian yang sebelumnya[11] [12][14][15]yaitu dengan meningkatkan kualitas produk maka terjadi peningkatan penjualan produk UMKM dan dapat terjadi peningkatan pendapatan sehingga pendapatan UMKM juga meningkat dan kualitas produk dapat meningkatkan pendapatan para pelaku UMKM sehingga terjadi peningkatan taraf hidup untuk jangka lama maupun jangka pendek.Berbanding balik dengan berbagai penelitian yang menunjukkan kualitas produk tidak mempengaruhi keputusan pembelian maupun pengembangan UMKM sehingga tidak berpengaruh terhadap pendapatan UMKM[13][16] pada tempat tertentu dan waktu tertentu.Dari hasil analisis ini dapat disimpulkan bahwa pengaruh kualitas produk berpengaruh terhadap pendapatan UMKM.</p>
      <p id="_paragraph-134">2.Pengaruh Tingkat Pendidikan Terhadap Pendapatan UMKM.</p>
      <p id="_paragraph-135">Berdasarkan penelitian tingkat pendidikan terhadap pendapatan UMKM dan analisa yang telah dilakukan terhadap data penlitian bahwa tingkat pendidikan berpngaruh terhadap pendapatan UMKM.Data tabel 8 menunjukkan bahwa nilai P-Value sebesar 0.545 yang mana memiliki arti bahwa tingkat pendidikan tidak berpengaruh terhadap pendapatan UMKM.Hasil penelitian ini menunjukkan sesuai dengan penelitian internasional sebelumnya yang menunjukkan bahwa tingkat pendidikan tidak mempengaruhi pendapatan UMKM[19][22] hal ini mungkin dikarenakan bahwa pemilik UMKM yang terletak pada tempat lain sebagian besar memiliki tingkat pendidikan rendah yaitu tingkat pendidikan sekolah menengah atas dan sekolah menengah pertama maupun hanya pendidikan dasar sehingga tingkat pendidikan tidak berpengaruh signifikan terhadap pendapatan UMKM.</p>
      <p id="_paragraph-136">Hal ini justru berbalik dengan berdasarkan penelitian yang telah dilakukan sebelumnya dimana tingkat pendidikan yang dimili oleh para UMKM dapat meningkatkan performa UMKM dan secara hasil dapat meningkatkan pendapatan UMKM[17][18][20][21] dan tingkat pendidikan memiliki dampak secara langsung terhadap pertumbuhan UMKM sehingga para pelaku UMKM hanya berfokus pada pasar domestik bukan pasar Internasional sehingga menghambat pertumbuhan UMKM.</p>
      <p id="_paragraph-137">Berdasarkan data penelitian tingkat pendidikan terhadap pendapatan UMKM dan hasil analisa pada tabel Uji-T yang telah dilakukan terhadap data penelitian bahwa tingkat pendidikan tidak berpengaruh terhadap pendapatan UMKM.</p>
    </sec>
    <sec id="heading-088703464d8caf0f9b5ff0df8d812513">
      <title>
        <bold id="_bold-134">Simpulan</bold>
      </title>
      <p id="_paragraph-139">Kesimpulan dari hasil penelitian ini ialah variabel tingkat pendidikan dan kualitas produk berpengaruh secara signifikan simultan terhadap pendapatan UMKM dalam kehidupan sehari-hari oleh karenanya tingkat pendidikan dan kualitas produk perlu ditingkatkan oleh para pelaku usaha UMKM yang terdapat pada Kabupaten Sidoarjo untuk masa depan dan pada masa yang akan mendatang dan data dapat digunakan untuk meningkatkan pendapatan para masyarakat Indonesia dan meningkatkan taraf hidup masyarakat,peningkatan kualitas produk dapat meningkatkan pendapatan UMKM dan semakin tinggi tingkat pendidikan dapat meningkatkan pendapatan UMKM secara signifikan.Dan hasil penelitian sesuai dengan hipotesis H0 yaitu bahwa kualitas produk dan tingkat pendidikan berpengaruh terhadap pendapatan umkm.</p>
    </sec>
  </body>
  <back />
</article>