Login
Section Finance Management

Financial Literacy Self Control and PayLater Financial Management


Literasi Keuangan, Pengendalian Diri, dan Pengelolaan Keuangan PayLater
Vol. 20 No. 3 (2025): August:

Ayu Stya Ningrum (1), Sigit Hermawan (2)

(1) Program Studi Akuntansi, Universitas Muhammadiyah Sidoarjo, Indonesia, Indonesia
(2) Program Studi Akuntansi, Universitas Muhammadiyah Sidoarjo, Indonesia, Indonesia

Abstract:

General Background The rapid growth of Buy Now Pay Later services has reshaped financial behavior among young consumers. Specific Background Shopee PayLater is widely used by Generation Z, raising concerns regarding financial management behavior. Knowledge Gap Empirical studies examining financial literacy, self control, and financial attitudes in the context of PayLater usage remain limited, particularly at the regional level. Aims This study aims to analyze the relationships between financial literacy, self control, and financial attitudes toward financial management behavior among Shopee PayLater users. Results The findings indicate that financial literacy, self control, and financial attitudes are associated with users’ financial management behavior. Novelty This study integrates behavioral and financial variables within the specific context of Shopee PayLater usage among Generation Z. Implications The results provide insights for improving financial awareness and responsible PayLater usage among young consumers.


Keywords:


Financial Literacy, Self Control, Financial Attitude, Financial Management Behavior, Shopee PayLater


Key Findings Highlights:




  1. Financial knowledge relates to responsible management of PayLater usage




  2. Behavioral control aligns with users’ financial management patterns




  3. Financial attitudes correspond with PayLater financial practices



Downloads

Download data is not yet available.

Pendahuluan

Di era digital saat ini, teknologi telah menjadi salah satu komponen yang penting bagi manusia untuk menjalankan aktivitas sehari-hari. Teknologi terus menerus mengalami kemajuan secara berkelanjutan dari tahun ke tahun. Dengan berkembangnya teknologi saat ini sangat menguntungkan bagi masyarakat karena telah membantu masyarakat dalam memenuhi kebutuhan hidup mereka [1]. Internet merupakan salah satu jenis teknologi yang saat ini banyak dimanfaatkan oleh, individu, perusahaan dan organisasi. Kehadiran internet tidak hanya berperan sebagai sarana komunikasi, tetapi juga akan mempengaruhi perilaku konsumen saat berbelanja online. Internet memiliki fungsi sebagai alat yang dapat membantu kegiatan pemasaran perusahaan. Oleh karena itu perusahaan berupaya memberikan layanan yang terbaik kepada konsumen, dan salah satu layanan yang saat ini banyak diakses melalui internet adalah e-commerce [2].

E-commerce adalah proses pembelian dan penjualan barang atau jasa yang dilakukan menggunakan internet [3]. Di kawasan asia tenggara, Indonesia menjadi pasar e-commerce yang mengalami perkembangan yang pesat berkat dukungan dari populasi yang sangat besar dan konektivitas internet yang tinggi [4]. Salah satu layanan e-commerce yang berhasil mendominasi pasar Indonesia adalah Shopee. Shopee menjadi kategori platfrom e- commerce jumlah kunjungan website paling banyak di Indonesia pada tahun 2023. Berikut ini merupakan gambaran e-coomerce dengan kunjungan yang paling sering digunakan di Indonesia.

Figure 1. Gambar 1. Data e-coomerce yang sering dikunjungi.

Sumber gambar : Databoks

Berdasarkan gambar 1. diatas menunjukkan bahwa shopee menjadi kategori platfrom e-commerce dengan jumlah kunjungan website paling banyak di Indonesia pada tahun 2023. Selama periode bulan januari hingga bulan desember tahun 2023, website shopee berhasil meraih sekitar 2,3 miliar kunjungan, jumlah ini secara signifikan jauh melebihi pesaing-pesaingnya. Pada jangka waktu yang sama, website tokopedia mencatat sekitar 1,2 miliar kunjungan, sementara itu situs lazada memperoleh 762,4 juta kunjungan [5]. Data ini menunjukkan bahwa shopee menduduki posisi teratas dalam persaingan pasar e-commerce di Indonesia, berdasarkan dari tingginya trafik pengguna yang mengakses platfrom tersebut.

Shopee adalah sebuah platform e-commerce yang memungkinkan penguna untuk melakukan transkasi jual beli secara online. Platfrom ini berfokus pada penggunaan melalui perangkat mobile, sehingga memberikan kemudahan dan kenyamanan bagi konsumen dalam mencari serta membeli berbagai kebutuhan sehari-hari kapan saja dan dimana saja [6]. Metode pembayaran yang ditawarkan shopee juga beragam, seperti shopeepay, seabank, shopee paylater, transfer bank, dan pembayaran ditempat (cash on delivery/cod). Salah satu fitur yang menarik dari metode pembayaran shopee adalah tersedianya opsi shopee paylater. shopee paylater menjadi salah satu fitur yang menarik perhatian karena memberikan keleluasan bagi pengguna dalam mengatur waktu pembayaran. Fitur shopee paylater adalah metode pembayaran kredit digital yang tersedia pada platform shopee, dimana perusahaan tersebut menyediakan pinjaman terhadap pengguna untuk membeli barang yang mereka inginkan [7]. Dengan hadirnya fitur ini, konsumen dapat melakukan pembelian produk terlebih dahulu dan membayarnya dikemudian hari, baik secara penuh dibulan berikutnya atau melalui cicilan bulanan. Melalui kemudahan ini, konsumen tetap dapat memenuhi kebutuhan konsumsi meskipun belum memiliki dana secara langsung saat melakukan transaksi. Sistem pembayaran ini memiliki mekanisme yang hampir serupa dengan kartu kredit dimana pengguna akan dikenakan bunga serta memiliki batas kredit dengan ketentuan tanggal jatuh tempo. Namun, perbedaan utama terletak pada proses pendaftaranya yang lebih mudah dan cepat tanpa perlu melalui prosedur verifikasi yang rumit [8]. Dengan demikian, fitur ini menjadi solusi yang mudah diakses oleh masyarakat, terutama generasi muda yang menginginkan kenyamanan dalam bertransaksi namun belum memiliki akses terhadap layanan kredit digital formal. Terdapat beberapa kasus yang viral dibicarakan disosial media saat ini mengenai penggunaan layanan fitur shopee paylater. Data menunjukkan bahwa total hutang pengguna shopee paylater meraih Rp 6,81 triliun per Mei 2024. Agusman sebagai anggota Dewan Komisioner Otoritas Jasa Keuangan menyampaikan bahwa total piutang pembiayaan melalui layanan shopee paylater mengalami peningkatan yang tinggi sebesar 33,64%. dibandingkan dengan tahun sebelumnya [9]. Berdasarkan hasil survei Kata data Insight Center (KIC) yang bekerja sama dengan Otoritas Jasa Keuangan (OJK), generasi millenial tercatat sebagai pengguna layanan shopee paylater terbanyak di Indonesia. Berikut ini merupakan gambaran yang menujukkan perbandingan tingkat penggunaan shopee paylater berdasarkan kelompok usia.

Figure 2. Sumber gambar : Databoks

Seperti yang ditunjukkan dalam gambar 2 metode pembayaran shopee paylater adalah pilihan yang paling banyak digunakan oleh generasi millenial. Sebanyak 43,9% pengguna layanan shopee paylater berasal dari generasi millenial atau yang berusia 26-35 tahun. 26,5% pengguna dari kalangan gen z atau kelompok usia 18-25 tahun [10]. Data ini mengindikasikan bahwa generasi millenial memiliki kecendrungan yang tinggi untuk memanfaatkan layanan kredit digital seperti shopee paylater dalam kegiatan konsumsi sehari- hari. Hal ini menguatkan relevansi fokus penelitian ini pada generasi millenial di Kabupaten Sidoarjo karena kelompok usia ini memiliki kecendrungan konsumsi yang tinggi, daya beli yang kuat, namun disisi lain juga rentan terhadap perilaku keuangan yang kurang bijak akibat dari tekanan gaya hidup dan kemudahan akses kredit digital.

Spending Habits adalah kebiasaan seseorang dalam mengeluarkan atau membelanjakan uang yang seringkali dilakukan tanpa disadari dan terkait dengan kebiasaan [11]. Untuk mengubah kebiasaan buruk tersebut, seseorang perlu memahami pola pengeluarannya dan mengetahui apa yang menjadi pemicunya. Kebiasaan pengeluaran ini dapat dipengaruhi oleh beberapa faktor, yakni seperti lingkungan, pertemanan dan kebiasaan keluarga [12]. Oleh karena itu, penting bagi sesorang untuk menetapkan skala prioritas serta memiliki perencanaan dan anggaran yang baik dalam hal keuangan. Maka financial literacy yang efektif sangat dibutuhkan agar seseorang mampu mengelola keuangannya dengan baik [13].

Financial literacy adalah pemahaman dan kemampuan seseorang dalam membuat keputusan yang berdampak pada pengelolaan keuangan pribadi [14]. Setiap orang perlu memiliki wawasan dan pemahaman mengenai keuangan pribadi agar dapat mengambil keputusan yang benar. Hal ini menjadi sangat penting bagi masyarakat terutama generasi millenial yang kerap terpapar berbagai iklan dan tawaran online yang berpotensi mendorong perilaku konsumtif. Oleh karena itu financial literacy menjadi sesuatu hal yang wajib dan penting bagi seseorang agar terlepas dari masalah keuangan. Financial literacy, financial attitude juga wajib bagi seseorang agar orang tersebut memiliki cara pandang, pola pikir dan sikap bijaksana dalam mengelola keuangannya dengan baik

Financial attitude adalah sikap seseorang dalam mengelola keuangan yang dapat terlihat dari cara berpikir, bersikap dan membuat keputusan terkait keuangan [15]. Financial attitude berkaitan dengan cara sesorang dalam mengambil keputusan dan bertindak dalam mengelola keuangannya [16]. Seseorang yang mempunyai financial attitude yang baik mereka akan cenderung lebih bijak dalam menggunakan fasilitas kredit atau pinjaman seperti shopee paylater, namun sebaliknya, konsumen dengan financial atitude yang kurang baik mungkin akan menggunkan shopee paylater secara implusif, dengan hal ini berpotensi meningkatkan resiko munculnya isu keuangan di masa depan.

Teori yang digunakan oleh peneliti sebagai dasar dalam penelitian ini adalah teori perilaku konsumen dan teori perilaku terencana. Mengacu pada penelitian lain teori perilaku konsumen mengambarkan bagaimana perilaku konsumen dalam mencari, membeli, memanfaatkan dan mengeluarkan uang untuk barang atau jasa yang dapat memenuhi kebutuhan hidup mereka [17]. Sementara itu, teori prilaku terencana menjelaskan bahwa tindakan sesorang dipengaruhi oleh niat yang terbentuk dari 3 faktor yakni sikap perilaku, tekanan sosial dan persepsi kontrol perilaku [18].

Penelitian ini mengacu pada penelitian sebelumnya yang telah dilakukan dalam menganlisis pengaruh dari spending habits terhadap keputusan pembelian menggunakan fitur shopee paylater [19]. Penelitian tersebut memiliki kesamaan pada peneltian ini yang terletak pada variabel independen yakni kebiasaan berbelanja (spending habits) dan variabel dependen yakni keputusan pembelian menggunakan fitur shopee paylater. Sedangkan perbedaan yang terdapat dalam penelitian tersebut ialah tidak menyertakan variabel independen yaitu financial literacy dan financial attitude, serta beberapa variabel lainnya yang ada dalam penelitian ini. Oleh karena itu, penambahan variabel tersebut didukung oleh penelitian yang berjudul “pengaruh literasi keuangan, gaya hidup, financial attitude dan pengendalian diri terhadap perilaku manajemen keuangan”.´Didalam penelitian tersebut literasi keuangan dan financial attitude secara siginfikan berpengaruh signifikan terhadap perilaku manajemen keuangan pengguna shopee paylater [20]. Pada penelitian ini peneliti juga mempunyai keterbaruan dalam hal cakupan objek. Pada objek penelitian terdahulu hanya berfokus pada generasi z di lingkungan universitas, sedangkan pada penelitian ini berfokus pada generasi millenial yang mencakup 1 kabupaten.

Berdasarkan penjelasan diatas, tujuan dari penelitian ini adalah untuk mengetahui pengaruh spending habits, financial literacy, dan financial attitude terhadap keputusan pembelian menggunakan fitur shopee paylater. Penelitian ini diharapkan bisa memberikan manfaat serta menyumbangkan ide atau gagasan baru yang berkaitan dengan ilmu akuntansi dan dapat menjadi referensi bagi penelitian-penelitian berikutnya.

PENGEMBANGAN HIPOTESIS

Pengaruh Spending Habits Terhadap Keputusan Pembelian Menggunakan Fitur Shopee Paylater

Pada penelitian sebelumnya telah meneliti bagaimana kebiasaan belanja (spending habits) memiliki pengaruh dan signifikan terhadap minat pembelian di e-commerce [19]. Spending habits memiliki pengaruh dikarenakan kosumen banyak yang lebih memilih berbelanja online daripada datang ke toko atau offline. Hal tersebut dikarenakan banyakanya kemudahan yang diberikan, termasuk fitur shopee paylater yang mendorong perilaku konsumtif dimasyarakat.

H1 : Spending habits Berpengaruh Terhadap Keputusan Pembelian Menggunakan Fitur Shopee Paylater

Pengaruh Financial Literacy Terhadap Keputusan Pembelian Menggunakan Fitur Shopee Paylater

Teori perilaku konsumen merupakan teori yang mempelajari bagaimana cara konsumen menemukan, menentukan, membelanjakan, memanfaatkan produk dan jasa untuk mencukupi kebutuhan dan keinginannya [21]. Perilaku konsumen berpotensi muncul dari adanya interaksi antara faktor lingkungan dan individu. Dalam proses ini, sosialisasi antar individu memungkinkan terjadinya pertukaran dan interaksi perilaku [22].

Pada penelitian yang telah dilakukan oleh peneliti lain mengindikasikan bahwa financial literacy berpengaruh signifikan terhadap financial literacy [23]. Artinya, semakin besar tingkat pengetahuan seseorang mengenai financial literacy, maka semakinn besar kemungkinan mereka untuk mengembangkan perilaku keuangan yang positif .

H2 : Financial Literacy Berpengaruh Terhadap Keputusan Pembelian Menggunakan Fitur Shopee Paylat er

Pengaruh Financial Attitude Terhadap Keputusan Pembelian Menggunakan Fitur Shopee Paylater

Grand theory yang digunakan dalam penelitian ini adalah teori perilaku terencana (theory of planned behavior). Teori ini diperluas oleh Ajzen pada tahun 1991 yang merupakan perkembangan dari theory of reasoned action. Pada teori perilaku terencana dijelaskan bahwa perilaku yang dihasilkan oleh sesorang akan muncul karena adanya keinginan dan tindakan [24]. Niat atau keinginan untuk berperilaku dipengaruhi oleh tiga jenis keyakinan yakni meliputi keyakinan tentang perilaku yang membentuk sikap, kepercayaan normatif yang membentuk norma subjektif, dan kepercayaan kontrol yang membentuk kontrol perilaku persepsian [25]. Hubungan antara teori perilaku terencana dengan penelitian ini terletak pada pengaruhnya terhadap cara individu merencanakan perilaku keuangan mereka. Teori ini mengindikasikan bahwa semakin tinggi pengetahuan dan kecerdasan financial sesorang, maka semakin baik juga perilaku. Maka dari itu dapat ditarik kesimpulan bahwa teori ini memiliki peran yang sangat penting dalam membuat sesorang memahami dan meningkatkan kemampuan financial literacy, yang memiliki peran dalam mendukung kesejahteraan finansial mereka.

Berdasarkan dari hasil penelitian sebelumnya menujukkan bahwa financial attitude memiliki pengaruh yang signifikan pada perilaku manajemen keuangan [20]. Artinya jika financial attitude pengguna shopee paylater meningkat, maka perilaku manajemen keuangan mereka juga akan mengalami peningkatan. Dengan kata lain, semakin baik financial attitude sesorang, maka semakin baik pula perilaku manejemen kuangannya.

H3 : Financial Attitude Berpengaruh Pada Keputusan Pembelian Menggunakan Fitur Shopee Paylater

Figure 3. KERANGKA KONSEPTUAL Gambar 3. Kerangka Konseptual

Metode

A. Metode Penelitian

Dalam penelitian ini, peneliti menggunakan penelitian kuantitatif dengan pendekatan kausalitas. Metode kuantitatif kausalitas adalah metode penelitian yang ditujukan untuk menyimpulkan hubungan sebab-akibat atau pengaruh antar variabel yang diteliti [26].

Definisi Variabel, Identifikasi Variabel Dan Indikator Variabel

Spending Habits (X1) adalah kebiasaan sesorang dalam membelanjakan uang untuk memenuhi berbagai keinginan yang seringkali menunjukkan pola pengeluaran yang berlebihan atau konsumtif [27]. Indikator spending habits berdasarkan pandangan [28] :

  1. Pandangan perencanaan, mengacu pada rencana yang dibuat oleh sesorang dalam mengeluarkan uang
  2. Pandangan menabung, mengacu pada kebiasaan individu dalam menyisihkan sebagian pendapatannya untuk kepentingan dimasa mendatang.
  3. Pandangan membeli, mengacu pada cara seseorang dalam melakukan transaksi untuk memperoleh barang dan jasa

Financial Literacy (X2) adalah kemampuan yang dimiliki sesorang dalam memahami dan membuat keputusan terkait keuangan pribadi [29]. Indikator financial literacy berdasarkan pandangan [30]:

  1. Pemahaman tentang pendapatan
  2. Pemahaman Pengelolaan keuangan pribadi
  3. Pemahaman tentang Investasi
  4. Pemahaman akan utang.

Financial Attitude (X3) adalah penilaian, pendapat atau perilaku seseorang terhadap uang dan pengelolaanya yang diterapkan kedalam sikap [31]. Indikator financial attitude meliputi [32]:

  1. Obsesi (obsession), menggambarkan sikap seseorang terhadap uang dan bagaimana mereka melihat masa depan untuk mengelola keuangan mereka secara efektif.
  2. Kekuasaan (power), menggambarkan seseorang yang percaya bahwa uang dapat menyelesaikan masalah dan menggunakannya sebagai alat untuk memanipulasi orang lain. Menggunakan sumber daya keuangan untuk mengatasi masalah.
  3. Upaya (effort), menggambarkan seseorang yang percaya bahwa mereka harus dikompensasi atas tindakan mereka.
  4. Kekurangan (Inadequacy), menggambarkan seseorang yang terus-menerus merasa tidak memiliki cukup uang.

Keputusan pembelian menggunakan fitur shopee paylater (Y) merupakan tahapan atau proses pengambilan keputusan di mana konsumen benar-benar melakukan transaksi jual beli menggunakan layanan tersebut [33]. Indikator keputusan pembelian menggunakan shopee paylater berdasarkan pandangan [33]:

  1. Memiliki niat untuk menggunakan shopee paylater.
  2. Memakai shopee paylater sebagai metode pembayaran.
  3. Meminta atau mendorong orang lain memakai shopee paylater

Jenis dan Sumber Data

Data yang diguanakan pada penelitian ini adalah data primer. Data perimer merupakan data yang dikumpulkan secara langsung oleh peneliti dari sumber petama melalui instrumen penelitian [34]. Pada penelitian ini pengumpulan data primer dilakukan dengan melakukan penyebaran kuisioner sacara online melalui google form, yang bertujuan untuk menjangkau responden yang merupakan generasi millenial pengguna shopee paylater di Kabupaten Sidoarjo.

Populasi dan Sampel

Populasi adalah kumpulan seluruh unit observasi yang memenuhi kriteria atau fenomena yang telah ditentukan terlebih dahulu, dan dengan demikian populasi merupakan rujukan utama untuk menarik kesimpulan mengenai fenomena tersebut [35]. Dalam penelitian ini, populasi yang akan diteliti mencakup seluruh individu generasi millenial yang merupakan pengguna aktif layanan shopee paylater dan berdomisili diwilayah kabupaten Sidoarjo.

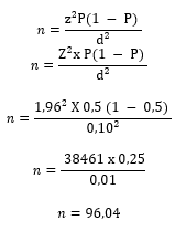
Dalam penelitian ini, besarnya jumlah populasi belum diketahui secara pasti. Berdasarkan data statistik terbaru, jumlah Jumlah penduduk usia produktif di Kabupaten Sidoarjo pada tahun 2024 mencapai sekitar 67,42% dari total populasi [36]. Namun peneliti tidak dapat memastikan secara pasti berapa jumlah penduduk generasi millenial yang berusia 28 – 43 tahun yang berdomisili di Sidoarjo yang berpotensi memenuhi kriteria atau objek penelitian. Oleh karena itu, peneliti menggunakan rumus Lemeshow untuk menentukan ukuran atau jumlah sampel [37].

Figure 4.

Keterangan :

n = Total sampel

z = Skor Z pada kepercayaan 95% = 1,96

P = Maksimal estimasi 50% = 0,5

D = Alpha (0,10) atau sampling eror 10%

Berdasarkan rumus diatas, tingkat alpha yang digunakan dalam penelitian ini adalah 95% atau 1,96. Total populasi yang belum diketahui adalah sebagai berikut :

Figure 5.

Mengacu pada hasil perhitungan tersebut, maka jumlah sampel yang dibutuhkan pada penelitian ini adalah sejumlah 96 sampel. Data pada penelitian ini dikumpulkan melalui pengumpulan kuisioner yang dilakukan secara online dan disebarkan melalui google form. Kuisioner tersebut diatur menggunakan skala likert 1 (sangat tidak setuju) hingga 5 (sangat setuju), yang bertujuan untuk mengukur perspektif, prilaku, dan persepsi dari individu atau kelompok [38].

Metode Analisis Data

Teknik analisis data yang diterapkan dalam penelitian ini merupakan analisis data kuantitatif yang akan diproses menggunakan software SPSS Versi 23. Dalam penelitian ini melibatkan serangkaian pengujian statistik yang terstruktur. Diawali dengan melakukan uji kualitas data yang meliputi uji validitas dan uji reliabilitas, selanjutnya melakukan uji asumsi klasik yang mencakup uji normalitas, uji heteroskedastisitas, uji multikolinearitas, untuk tahap yang terakhir adalah melakukan uji hipotesis yang mencakup uji analisis regresi linier berganda, uji t (uji parsial), dan uji koefisien determinasi..

Hasil dan Pembahasan

Hasil Uji Validitas

Figure 6. Tabel 1. Hasil Uji Validitas

Berdasarkan hasil uji validitas yang ditampilkan pada Tabel 1, terlihat bahwa seluruh indikator pada masing- masing variabel menunjukkan nilai koefisien korelasi (r hitung) yang lebih besar daripada nilai r tabel, yaitu sebesar 0,199. Hal ini menunjukkan bahwa semua item pernyataan pada variabel spending habits (kebiasaan belanja), financial literacy (literasi keuangan), dan financial attitude (sikap keuangan) memiliki korelasi yang signifikan dengan total skor, sehingga dapat disimpulkan bahwa seluruh item dinyatakan valid dan layak untuk digunakan dalam tahap analisis atau pengujian selanjutnya.

Uji Reliabilitas

Variabel Cronbach's Alpha Hitung Cronbach's Alpha Minimum Keterangan
Spending Habits (X1) 0,668 0,6 Reliabel
Financial Literacy (X2) 0,795 0,6 Reliabel
Funancial Attitude (X3) 0,633 0,6 Reliabel
Keputusan Pembelian (Y) 0,818 0,6 Reliabel
Table 1. Tabel 2. Uji Reliabilitas

Sumber : Diringkas oleh peneliti

Berdasarkan hasil uji reliabilitas menggunakan cronbach’ alpha yang disajikan pada tabel 2. Diatas menunjukkan bahwa nilai Cronbach’s alpha untuk variabel spending habits (X1) adalah 0,668, variabel financial literacy (X2) adalah 0,795, financial attitude adalah 0,633 dan variabel keputusan pembelian (Y) adalah 0,818. Nilai tersebut berada diatas angka 0,6 yang merupakan batas minimum umum yang menyatakan bahwa suatu instrumen bersifat reliabel [39]. Dengan demikian, dapat disimpulkan bahwa seluruh pernyataan dari masing masing variabel dalam kuesioner telah memenuhi kriteria reliabilitas dan dinyatakan reliabel.

Uji Normalitas

Figure 7. Tabel 3. Uji Normalitas

Berdasarkan hasil uji normalitas yang telah dilakukan dengan menggunkan One-sample Kolmogorov- Sminov Test yang disajikan pada tabel 3. Diatas menujukkan bahwa nilai signifikansi sebesar 0,090. Berdasarkan ketentuan yang telah ditetapkan, data dikatakan berdistribusi normal apabila uji normalitas memiliki nilai signifikansi < 0,005 (lebih besar dari 0,005) Dengan demikian, dapat disimpulkan bahwa semua data dalam penelitian ini berdistribusi normal dan memenuhi asumsi normalitas.

Uji Heteroskedastisitas

Figure 8. Tabel 4. Uji Heteroskedastisitas

Berdasarkan hasil pengujian yang telah disajikan pada tabel 4. Diatas menunjukkan bahwa nilai signifikansi (sig) untuk variabel spending habits (X1) adalah 0,768, variabel financial literacy (X2) adalah 0.455 dan variabel financial attitude (X3) adalah 0,110. Dikarenakan ketiga nilai signifikansi tersebut lebih besar dari 0,05 maka dapat disimpulkan bahwa data tersebut tidak terdapat gejala heteroskedastisitas.

Uji Multikolinieritas

Figure 9. Tabel 5. Uji Multikolinieritas

Berdasrkan hasil pengujian yang telah disajikan pada tabel 5. Diatas menujukkan bahwa seluruh variabel bebas memiliki nilai VIF dibawah 10 dan nilai tolerance diatas 0,1. Dari hasil tabel tersebut menegaskan bahwa estimasi koefien regresi bersifat konsisten dan dapat diandalkan, sehingga makna atau interpretasi dari masing-masing variabel independen dalam model dapat dianggap valid dan relevan.

Uji Analisis Regresi Linier Berganda

Figure 10. Tabel 5. Uji Analisis Regresi Linier Berganda

Berdasarkan hasil analisis regresi berganda yang ditampilkan dalam tabel 5, diperoleh persamaan regresi Y= - 3,568+ 0,364 (X1) + 0, 721 (X2) + 0, 072 (X3). Nilai konstanta bernilai negatif, yaitu -3,568 artinya spending habits, financial literacy dan financial attitude bernilai 0 maka keputusan pembelian menggunakan fitur shopee paylater akan cenderung mengalami penurunan sebesar -3,568. Nilai koefisien regresi variabel spending habits (X1) sebesar 0,364 menunjukkan bahwa setiap kenaikan satu satuan spending habits maka keputusan pembelian menggunakan fitur shopee paylater akan meningkat sebesar 0,364. Nilai koefisien regresi variabel financial literacy (X2) sebesar 0,721 menunjukkan bahwa setiap kenaikan satu satuan financial literacy maka keputusan pembelian menggunakan fitur shopee paylater akan meningkat sebesar 0,71. Nilai koefisien regresi variabel financial attitude (X3) sebesar 0,072 menunjukkan bahwa setiap kenaikan satu-satuan financial literacy maka keputusan pembelian menggunakan fitur shopee paylater akan meningkat sebesar 0,072.

Uji T

Figure 11. Tabel 6. Hasil Uji T

Berdasarkan hasil uji t pada tabel 6, diperoleh bahwa semua variabel independen memiliki pengaruh signifikan terhadap variabel dependen dalam model regresi. variabel spending habits memiliki koefisien 0,364, nilai t- statistic sebesar 10,086, dengan nilai signifikansi sebesar 0,000 hal ini menujukkan adanya pengaruh signifikan. Variabel financial literacy memiliki nilai koefisien 0,721, t-statistic 26,677, dan p-value 0,000 hal ini menunjukkan bahwa adanya pengaruh yang signifikan. Kemudian variabel financial attitude memiliki hasil koefisien sebesar 0,072, t-statistic 2,309, dan p-value 0,023 menunjukkan pengaruh yang signifikan. Maka dapat disimpulkan bahwa seluruh variabel independen menunjukkan nilai > 0,05 yang mengindikasikan bahwa seluruh variabel independen berpengaruh secara signifikan terhadap variabel dependen.

Uji Koefisien Determinasi

Model Summary
Model R R Square Adjusted R Square Std. Error of the Estimate
1 ,986a ,972 ,971 ,69787
Table 2. Tabel 7. Hasil Uji Koefisian Determinasi

Berdasarkan tabel 7, diketahui bahwa nilai koefisien determinasi atau adjust R square sebesar 0,505 atau setara dengan 50,5 %. Sehingga dapat disimpulkan bahwa variabel spending habits (X1), financial literacy (X2), financial attitude (X3) terhadap keputusan pembelian menggunakan fitur shopee paylater (Y) sebesar 50,5%. Sementara itu, sisanya sebesar 49,5% d dijelaskan oleh variabel lain yang tidak dibahas pada penelitian ini.

Pembahasan

Pengaruh Spending Habits Terhadap Keputusan Pembelian Menggunakan Fitur Shopee Paylater

Berdasarkan hasil uji statistik diatas menunjukkan bahwa variabel spending habits atau kebiasaan belanja berpengaruh signifikan terhadap keputusan pembelian menggunakan fitur shopee paylater. Hasil analisis menunjukkan bahwa variabel spending habits memiliki koefisien regresi sebesar 0,364, nilai t-statistic 10,086 dan p-value0,000. Koefisien tersebut mengindikasikan bahwa setiap peningkatan dalam kebiasaan berbelanja (spending habits) akan diikuti dengan peningkatan kecenderungan seseorang untuk melakukan pembelian. Pada Hal ini menunjukkan bahwa semakin kuat atau intens kebiasaan seseorang dalam berbelanja, maka semakin besar pula kecenderungannya untuk menggunakan metode pembayaran cicilan seperti shopee paylater. Fitur ini memungkinkan konsumen untuk tetap memenuhi keinginannya dalam berbelanja meskipun belum memiliki dana tunai secara langsung, sesuai dengan karakteristik individu dengan spending habits tinggi. Konsumen yang memiliki kebiasaan belanja tertentu, seperti senang belanja online, sering mencari promo, atau terbiasa melakukan cicilan, akan lebih mudah merasa puas saat menggunakan layanan seperti shopee paylaterkarena layanan ini sesuai dengan pola belanja mereka yang memberikan kemudahan akses dan fleksibilitas pembayaran. Dengan adanya kemudahan dalam bertransaksi menggunakan metode pembayaran elektronik ini akan membuat seseorang lebih mudah membelanjakan uangnya yang mana akan menawarkan gaya hidup untuk lebih efisien atau konsumtif. Pengkonsumsian suatu barang sudah tidak lagi sebagai alat pemenuhan kebutuhan manusia namun sebagai alat untuk pemuas keinginan [40]. Hasil dari penelitian ini juga sejalan dengan beberapa penelitian atau temuan terdahulu dari peneliti [40], [41], [42], [43] yang menyatakan bahwa spendinghabitsmemiliki pengaruh signifikan terhadap keputusan pembelian menggunakan fitur shopee paylater.

Pengaruh Financial Literacy Terhadap Keputusan Pembelian Menggunakan Fitur Shopee Paylater.

Berdasarkan hasil uji statistik diatas menunjukkan bahwa variabel financial literacy atau literasi keuangan berpengaruh signifikan terhadap keputusan pembelian menggunakan fitur shopee paylater. Hasil analisis menunjukkan bahwa variabel financial literacy memiliki koefisien regresi sebesar 0,721, nilai t-statistic 26,677 dan p-value 0,000. Koefisien tersebut mengindikasikan bahwa, semakin tinggi tingkat literasi keuangan yang dimiliki oleh seseorang, maka semakin besar pula kemungkinan mereka untuk menggunakan shopee paylater secara sadar dan terencana. Hasil temuan ini menunjukkan bahwa tingkat pemahaman seseorang terhadap konsep keuangan seperti manajemen utang, bunga risiko dan pengelolaan anggaran berkontribusi terhadap keputusan mereka dalam menggunakan layanan shopee paylater. Konsumen dengan tingkat literasi keuangan yang tinggi cenderung lebih berhati- hati dalam membuat keputusan keuangan yang lebih tepat dan menetapkan prioritas untuk kebutuhan mereka. Sehingga, saat memutuskan untruk membeli suatu barang di marketplace, mereka hanya membeli barang yang memiliki manfaat dalam jangka panjang dan sesuai kebutuhannya. Konsumen dengan karakteristik ini mampu untuk memberi batasan dalam diri untuk mengubah pola pikir dalam bertindak dan menghindari masalah keuangan dengan mengurangi pola hidup konsumtif. Semakin tinggi pengetahuan keuangan dan keahlian seseorang dalam mengimplementasikan aspek-aspek literasi keuangan, seperti pengetahuan keuangan dasar, tabungan, pinjaman, dan asuransi, maka akan semakin bijaksana dan efektif dalam pengelolaan keuangan mereka, namun berbanding terbalik dengan seseorang yang memiliki tingkat literasi keuangan yang rendah, seseorang dengan tingkat literasi keuangan yang rendah, cenderung lebih bersikap implusif, kurang mempertimbangkan konsekuensi financial yang akan mengakibatkan berbagai masalah keuangan, dan kesulitan dalam menabung atau berinvestasi. Masyarakat dengan tingkat literasi keuangan yang rendah akan cenderung lebih rentan terhadp produk keuangan yang tidak aman dan juga kurang mampu dalam mengelola keuangan secara efektif dan efisien [44]. Hasil dari penelitian ini sesuai dengan teori perilaku konsumen, yang menyatakan bahwa keputusan konsumen dipengaruhi oleh faktor internal (seperti sikap, persepsi, pengetahuan) dan faktor internal (seperti stimulus pemasaran dan lingkungan sosial) [45]. Dalam hal ini, literasi keuangan merupakan bagian dari faktor internal berupa pengetahuan yang dimiliki oleh konsumen. Tingkat pengetahuan financial tersebut akan memengaruhi persepsi risiko, evaluasi alternatif, serta keputusan akhir dalam menggunakan layanan pembiayaan seperti shopee paylater. Hasil penelitian ini sejalan dengan temuan yang telah ditemukan oleh penelitian sebelumnya oleh peneliti [43], [46], [47], [48] yang menyatakan bahwa financial litercy memiliki pengaruh yang signifikan terhadap keputusan pembelian menggunakan fitur shopee paylater.

Pengaruh Financial Attitude Terhadap Keputusan Pembelian Menggunakan Fitur Shopee Paylater

Berdasarkan hasil uji statistik diatas diketahui bahwa variabel financial attitude (sikap keuangan) memiliki nilai koefisien sebesar 0,072 nilai t-statistic sebesar 2,309 dan nilai p-value sebesar 0,023. Hal ini memiliki arti bahwa variabel financialattitudeberpengaruh signifikan terhadap keputusan pembelian menggunakan fitur shopee paylater. Berdasarkan hasil penyebaran kuisioner yang telah dilakukan dalam penelitian, responden memiliki perencanaan dan dapat mengendalikan pengeluaran setiap bulan dan memiliki keinginan untuk menabung, sehingga mampu melakukan evaluasi terhadap kondisi keuangan dengan bijaksana. Hal ini menujukkan sikap bahwa semakin baik sikap keuangan seseorang, maka akan semakin tinggi kemungkinan mereka untuk lebih selektif dan bijaksana dalam mengelola keuangan pribadinya, termasuk dalam pengambilan keputusan untuk menggunakan layanan kredit digital seperti shopee paylater. Sikap keuangan yang biasanya berawal dari terjadinya pemahaman dasar mengenai prinsip- prinsip keuangan seperti pentingnya penganggaran, pengendalian pengeluaran, serta kesadaran terhadap tanggung jawab financial. Dengan memiliki financial attitude yang baik, seseorang akan lebih mampu menahan diri dari perilaku konsumtif yang berlebihan dan lebih mempertimbangkan konsekuensi jangka panjang dari penggunaan layanan seperti shopee paylater. Meskipun shopee paylater memberikan kemudahan dalam bertransaksi, seseorang dengan financialattitudeyang baik akan cenderung lebih selektif dalam penggunaanya karena mereka akan lebih mempertimbangkan risiko dan manfaat sebelum memutuskan untuk membeli produk dengan metode cicilan. Dalam konteks ini, financial attitude tidak hanya mempengaruhi keputusan pembelian, tetapi juga menjadi pondasi penting dalam membentuk perilaku pengelolaan keuangan yang sehat. Temuan ini sejalan dengan teori perilaku terencana, yang menyatakan bahwa sikap terhadap perilaku berpengaruh langsung terhadap niat untuk melakukan suatu tindakan [49].Financialattitudeyang positif akan memperkuat niat konsumen untuk mengelola keuangan secara rasional, sehingga penggunaan shopee paylater dilakukan dengan pertimbangan yang matang , bukan implusif. Dengan demikian finacialattitudeberperan penting dalam membentuk keputusan pemebelian yang lebih terkontrol. Hasil penelitian ini sejalan dengan temuan yang telah ditemukan oleh peneliti [50], [51], [52] yang menunjukkan bahwa financial attitude memiliki pengaruh signifikan terhadap keputusan pembelian menggunakan fitur shopee paylater.

Kesimpulan

Berdasrkan hasil anailis data yang telah dilakukan pada generazi millenial di Kabupaten Sidoarjo, maka dapat disimpulkan beberapa hal sebagai berikut :

  1. Spending habits berpengaruh signifikan terhadap keputusan pembelian menggunakan fitur shopee paylater pada generasi millenial di kabupaten Sidoarjo. Artinya bahwa semakin tinggi penggunaan shopee paylater maka akan sangat berpengaruh atau berdampak pada kebiasaan mengeluarkan atau membelanjakan uang.
  2. Financial literacy berpengaruh signifikan pada keputusan pembelian menggunakan fitur shopee paylater. Artinya bahwa semakin tinggi tingkat literasi keuangan seseorang, maka semakin besar pula kecenderungannya dalam menggunakan shopee paylater dengan cara yang cerdas dan terencana. Individu dengan pemahaman keuangan yang baik dapat memanfaatkan fasilitas paylater sebagai strategi pengelolaan keuangan yang efektif, bukan sekadar untuk konsumsi impulsif.
  3. Financial attitude berpengaruh signifikan terhadap keputusan pembelian menggunakan fitur shopee paylater. Artinya bahwa semakin positif sikap keuangan seseorang, maka semakin besar kemungkinan mereka untuk menggunakan fitur shopee paylater secara bijak. Sikap yang baik terhadap pengelolaan uang dan perencanaan keuangan membuat individu mampu menilai risiko dan manfaat dari penggunaan kredit digital.

Saran

Saran dalam penelitian ini adalah bagi generasi millenial di Kabupaten Sidoarjo diharapkan dapat meningkatkan literasi keuangan agar tidak keliru dalam mengelola keuangan pribadi dan lebih bijak dalam menggunakan fitur shopee paylater. Meskipun fitur ini memberikan kemudahan dalam bertransaksi, konsumen perlu memastikan bahwa penggunaan fasilitas kredit digital tetap berada dalam batas kemampuan finansial, agar tidak menimbulkan beban utang yang berlebihan di masa mendatang.

Bagi pihak shopee dan layanan paylater perlu meingkatkan edukasi terkait kuangan kepada pengguna melalui fitur notifikasi edukatif, batasan belanja berdasarkan penghasilan serta laporan keuangan bulanan yang dapat membantu pengguna untuk mengevaluasi perilaku konsumsi mereka. Hal ini akan memberikan dampak positif bagi keberlanjutan penggumaan paylater yang sehat dan bertanggung jawab. Bagi peneliti selanjutnya diharapkan dapat mengembangkan penelitian yang dilakukan, misalnya menerapkan metode lain seperti moderasi, intervening atau yang lainnya. Serta peneliti selanjutnya dapat mengeksplor lebih jauh dan juga menambahkan variabel lain misalnya emotional spending, pengalaman keuangan dan lain sebagainya yang berhubungan dengan penelitian.

Ucapan Terima Kasih

Saya selaku penulis , mengucapkan segala puji dan syukur kepada Allah SWT atas segala rahmat dan karunianya dan memberikan segala kemudahan sehingga saya mampu menyelesaikan artikel ini dengan lancar. Dalam kesempatan ini saya mengucapkan terimakasih kepada kedua orang tua saya ( Abd. Ghofar & Lik’Anah) orang hebat yang selalu menjadi penyemangat hidup saya, yang tidak pernah lelah mendoakan, mendukung dan menguatkan di setiap langkah saya. Tidak lupa juga saya ucapkan terima kasih kepada keluarga, sahabat dan teman-teman seperjuangan saya yang sudah memberikan doa, motivasi dan dukungan kepada saya sehingga dapat menyelesaikan penulisan artikel ini dengan baik

References

[1] M. C. Ningsih, C. Woestho, and D. Kurniawan, “Pengaruh Literasi Keuangan, Manfaat PayLater, Dan Generasi Z Terhadap Minat Penggunaan PayLater Di Platform Shopee Pada Kecamatan Tambun Selatan,” Jurnal Economina, vol. 2, no. 11, pp. 3218–3231, Nov. 2023, doi: 10.55681/economina.v2i11.967.

[2] M. Zigari, A. J. Malik, V. M. Fadla, H. Sulaikah, and W. A. Safitri, “Analisis Faktor-Faktor Yang Mempengaruhi Keputusan Pembelian Menggunakan PayLater Pada Mahasiswa Di Kota Makassar,” Jurnal Ilmiah Manajemen dan Bisnis (JIMBI), vol. 4, no. 2, pp. 171–182, Dec. 2023, doi: 10.31289/jimbi.v4i2.1727.

[3] M. M. Tumanggor, Syafrida, and E. Amalia, “Perlindungan Konsumen Yang Dirugikan Akibat Pembelian Produk Tidak Original Di E-Commerce,” Sep. 2024.

[4] N. Aryanto, “Analisis Penerapan Teknologi Kecerdasan Buatan Dalam Industri E-Commerce Di Indonesia,” Jurnal Multidisiplin Saintek, vol. 4, Nov. 2024.

[5] SimilarWeb, “Top Ecommerce and Shopping Websites in Indonesia Ranking Analysis for October 2024,” Nov. 2024.

[6] I. A. Canestren and M. E. Saputri, “Pengaruh Kepercayaan, Kemudahan, Dan Risiko Terhadap Keputusan Pembelian Menggunakan Shopee PayLater,” eProceedings of Management, vol. 8, Jun. 2021.

[7] A. M. Solihin et al., “Analisis Transaksi Shopee PayLater Dalam Perspektif Hukum Islam,” Oct. 2022.

[8] F. D. Angelista, L. D. Anggraini, and A. U. Putri, “Pengaruh Literasi Keuangan, Gaya Hidup, Dan Sikap Keuangan Terhadap Perilaku Keuangan Mahasiswa Pengguna Shopee PayLater,” Journal of Trends Economics and Accounting Research, vol. 4, no. 3, pp. 696–705, Mar. 2024, doi: 10.47065/jtear.v4i3.1197.

[9] T. Santia, “Utang Orang Indonesia Pakai PayLater Tembus Rp 6,81 Triliun,” Liputan6, Nov. 29, 2024. [Online].

[10] D. Jayani, “Proporsi Populasi Generasi Z Dan Milenial Terbesar Di Indonesia,” Databoks, 2023.

[11] A. Akmalia, “Pengaruh Financial Literacy, Self-Control, Overconfidence, Dan Shopping Lifestyle Terhadap Spending Habits,” Jurnal Akuntansi, Manajemen dan Perbankan Syariah, vol. 3, no. 5, pp. 96–103, Oct. 2023.

[12] N. Chusna et al., “Pengaruh Penggunaan Kartu Debit Dan Uang Elektronik Terhadap Perilaku Konsumtif Mahasiswa,” May 2024.

[13] D. R. Prihastuty and S. Rahayuningsih, “Pengaruh Financial Literacy, Financial Behavior, Financial Attitude, Dan Demografi Terhadap Perilaku Konsumtif Mahasiswa,” Jurnal Hasil Penelitian LPPM Untag Surabaya, vol. 3, pp. 121–134, Sep. 2018.

[14] M. R. Ridho, “Financial Literacy, Risk Perception, Benefit Perception, And Locus of Control in PayLater Usage,” Mar. 2023.

[15] R. Veronica and S. Ronni, “The Effect of Financial Knowledge and Financial Attitude on Financial Management Behavior of Students,” in Proc. Global Conf. Business and Management, Jan. 2022, pp. 33–43, doi: 10.35912/gcbm.v1i1.8.

[16] E. Budiono, “Financial Knowledge, Financial Attitude, And Financial Management Behavior,” 2020.

[17] J. K. Sulaiman et al., “Analisis Perilaku Konsumen Dalam Transaksi E-Commerce,” Indonesian Journal of Computer Science, vol. 12, no. 6, p. 4110.

[18] E. Safitri et al., “Pengaruh Literasi Keuangan Dan Sikap Keuangan Terhadap Perilaku Pengelolaan Keuangan UMKM,” 2023.

[19] R. P. Febriani and S. Hermawan, “Mobile Self-Efficacy, Spending Habits, And Shopee PayLater Usage,” 2023.

[20] E. L. Maghfiroh et al., “Lifestyle, Financial Attitude, And Self-Control Toward Financial Management Behavior,” 2023.

[21] S. Adha, “Digital Era Consumer Behavior Revolution,” Jurnal Ilmu Pendidikan dan Ilmu Sosial, vol. 31, Oct. 2022.

[22] H. Khotimah, M. Khafid, and A. Pujiati, “Consumer Attitude And Lifestyle in Fashion Purchase Decisions,” Dec. 2020.

[23] N. Laily, “Financial Literacy and Student Financial Behavior,” 2016.

[24] F. Asyhari and T. Aryati, “Tax Knowledge and Compliance of MSMEs,” Jurnal Ekonomi Trisakti, vol. 3, no. 1, pp. 1715–1724, Feb. 2023, doi: 10.25105/jet.v3i1.16263.

[25] L. Suryani, “Attitude, Subjective Norm, And Perceived Behavioral Control Toward Tax Compliance,” 2021.

[26] W. Budiawan, “Marketing Mix and Repurchase Intention,” Jan. 2017.

[27] Y. D. Sari and H. Hasbi, “Mobile Banking Payment Method and Spending Habits,” 2024.

[28] M. M. Cummins and S. J. Jenkins, “Financial Attitudes and Spending Habits of University Freshmen,” 2020.

[29] T. Yundari and D. Artati, “Financial Literacy and Investment Decisions,” Aug. 2021.

[30] A. N. Yushita, “The Importance of Financial Literacy,” Jurnal Nominal, vol. 6, 2021.

[31] L. Agustine and I. Widjaja, “Financial Attitude, Knowledge, And Locus of Control,” 2021.

[32] I. Herdjiono and A. Damanik, “Financial Attitude and Financial Management Behavior,” Dec. 2022.

[33] H. P. Wulandari and A. E. Subandiyah, “Product Reviews, Price, And Non-Cash Payment,” JBMA, vol. 9, Sep. 2022.

[34] M. A. Ghoni and E. Soliha, “Brand Image and Online Customer Review,” Jurnal Mirai Management, vol. 7, no. 2, pp. 14–22, 2022, doi: 10.37531/mirai.v7i2.2007.

[35] N. Hasnunidah, Metodologi Penelitian Pendidikan. Yogyakarta, Indonesia, 2017.

[36] A. D. Darmawan, “Population of Sidoarjo Regency 2023,” Databoks, 2023.

[37] M. H. Setiawan et al., “Trust, Interface, And Promotion in Marketplace Selection,” 2023.

[38] D. Theodora and V. P. Kurnia, “Social Media Influencer and Brand Image,” Inter Script Journal, vol. 4, no. 2, pp. 68–77, 2022.

[39] D. G. Bonett and T. A. Wright, “Cronbach’s Alpha Reliability,” Journal of Organizational Behavior, vol. 36, no. 1, pp. 3–15, Jan. 2015, doi: 10.1002/job.1960.

[40] S. Wahyuni and S. Hermawan, “Financial Literacy and Spending Habits,” Apr. 2024.

[41] M. A. Awwal et al., “Spending Habits and Financial Management of Students,” 2023.

[42] U. Salamah, “The Effect of Shopee PayLater on Student Consumption Behavior,” Review of Multidisciplinary Education Culture and Pedagogy, vol. 1, no. 3, pp. 21–24, 2022.

[43] L. Agustin, “Shopee PayLater Adoption in Indonesia,” Management Science and Business Decisions, vol. 2, no. 2, pp. 5–18, Dec. 2022, doi: 10.52812/msbd.49.

[44] F. N. Aini, “Financial Literacy and Payment Security,” E-Jurnal Ekonomi dan Bisnis, vol. 10, pp. 991–1000, Jul. 2021.

[45] L. Tribuana et al., “Financial Literacy and Consumptive Behavior of Students,” 2022.

[46] R. Rosyid, “PayLater Financial Behavior During Pandemic,” 2021.

[47] P. Dwiwansi et al., “Millennial Financial Literacy and PayLater Usage,” Jun. 2023.

[48] W. Agistasari, “Financial Literacy and Locus of Control of Shopee PayLater Users,” 2024.

[49] I. Ajzen, “The Theory of Planned Behavior,” Organizational Behavior and Human Decision Processes, vol. 50, no. 2, pp. 179–211, 1991.

[50] S. Emaziah, “Self-Control and Financial Management Behavior,” 2024.

[51] K. Toriq, “Self-Control and Financial Attitude in Islamic Business Perspective,” 2024.

[52] P. Nmira, “Self-Control and Financial Attitude in Buy Now Pay Later Services,” JEAM, vol. 21, Apr. 2022.