Login
Section Finance Management

Determinants of Student Consumptive Behavior in E Commerce Context


Faktor-faktor yang Mempengaruhi Perilaku Konsumtif Mahasiswa dalam Konteks E-Commerce
Vol. 20 No. 3 (2025): August:

Nur Azizah (1), Sigit Hermawan (2)

(1) Program Studi Akuntansi, Universitas Muhammadiyah Sidoarjo, Indonesia, Indonesia
(2) Program Studi Akuntansi, Universitas Muhammadiyah Sidoarjo, Indonesia, Indonesia

Abstract:

General Background: Rapid growth of digital commerce has reshaped consumption patterns among university students. Specific Background: Increased access to online shopping platforms is associated with changes in student spending behavior. Knowledge Gap: Empirical evidence examining multiple behavioral and financial factors simultaneously in student consumptive behavior remains limited. Aims: This study analyzes factors related to consumptive behavior among university students using a quantitative approach. Results: The findings indicate that selected financial and lifestyle-related variables are statistically associated with student consumptive behavior. Novelty: The study integrates several behavioral and financial variables within a single empirical model focused on student consumers. Implications: The results provide insights for academic studies and educational institutions in understanding student consumption patterns.


Keywords:


Consumptive Behavior, E Commerce, Financial Literacy, Lifestyle, University Students


Key Findings Highlights:




  1. Student spending patterns show strong alignment with digital purchasing habits.




  2. Behavioral factors demonstrate measurable associations with consumption tendencies.




  3. Financial understanding remains a relevant aspect of student purchasing behavior.



Downloads

Download data is not yet available.

Pendahuluan

Era globalisasi ditandai dengan kemajuan di berbagai aspek kehidupan. Hal ini mendorong masyarakat untuk beradaptasi dan bersikap terbuka terhadap perubahan, karena pengaruhnya menjangkau semua bidang kehidupan. Perkembangan teknologi sebagai salah satu ciri khas globalisasi telah membawa kemajuan yang signifikan di sektor sosial, politik, dan ekonomi [1]. Dengan demikian, transformasi teknologi digital yang lahir dari globalisasi memberikan dampak yang besar terhadap kehidupan masyarakat, menciptakan tantangan sekaligus peluang untuk berkembang di era modern. Kemampuan untuk memanfaatkan teknologi secara bijak menjadi kunci utama dalam menghadapi dinamika globalisasi.

Di era saat ini, kemajuan teknologi digital berkembang sangat pesat serta menjadi kekuatan penggerak utama perubahan yang signifikan dalam berbagai aspek kehidupan masyarakat. Salah satunya adalah lahirnya budaya baru yang mengutamakan kemudahan juga efisiensi, menjadikan segalanya lebih cepat dan efektif [2]. Kemajuan teknologi, terutama di bidang internet, telah mengatasi hambatan jarak, waktu, dan biaya dengan sangat mudah. Perkembangan ini muncul karena internet hadir sebagai sarana penghubung untuk berbagai pihak, mulai dari perorangan hingga kelompok organisasi yang memicu terjadinya transformasi sistematis, baik langsung ataupun tidak langsung. Selain itu, perkembangan ini juga mengubah pola interaksi sosial dan cara kerja yang semakin bergantung pada platform digital.

Internet telah menjadi bagian tak terpisahkan dari kehidupan masyarakat. Sebagian besar orang menggunakan internet setiap hari, baik untuk berkomunikasi, mencari informasi, maupun berbagai keperluan lainnya. Kebutuhan akan internet tidak lagi terbatas pada aspek hiburan, tetapi juga merambah ke bidang pendidikan, pekerjaan, dan berbagai aktivitas sehari-hari [3]. Memasuki era revolusi industri keempat (Industri 4.0), kehidupan semakin didominasi oleh digitalisasi dan otomatisasi. Salah satu dampaknya adalah percepatan perdagangan global, yang memperlancar arus perpindahan barang dan memperkuat [4].

Dalam upaya pencegahan penyebaran virus covid-19, pemerintah mengeluarkan kebijakan “stay at home” [4]. Kebijakan ini mendorong masyarakat untuk semakin bergantung pada teknologi dalam berbagai aspek kehidupan, termasuk aktivitas berbelanja. Kemudahan yang ditawarkan oleh platform online shop memungkinkan masyarakat memenuhi kebutuhan tanpa harus keluar rumah. E-commerce menjadi salah satu sektor yang mengalami pertumbuhan pesat selama pandemi, membuka peluang bagi pelaku usaha untuk memperluas jangkauan pasar secara digital [1]. Seiring dengan bertambahnya jumlah pengguna internet dan media sosial, peluang untuk menjalankan bisnis online menjadi lebih mudah diakses dan berpotensi menghasilkan pendapatan yang cukup menjanjikan [3].

Salah satu platform yang paling diminati oleh masyarakat adalah Shopee [5], sebuah marketplace yang menghadirkan beragam barang, dari kebutuhan sehari-hari hingga barang elektronik. Shopee menawarkan berbagai fitur menarik, seperti diskon, gratis ongkir, dan metode pembayaran yang beragam, sehingga memudahkan konsumen dalam bertransaksi [1]. Selain itu, shopee juga menjadi peluang bagi pelaku usaha kecil dan menengah untuk menjangkau pasar yang lebih luas tanpa harus memiliki toko fisik. Dengan kombinasi antara kemudahan penggunaan dan promo yang menarik, shopee telah menjadi salah satu marketplace teratas dalam industri e-commerce di Indonesia. Hal ini dibuktikan dengan banyaknya pengunjung shopee di Indonesia pada tahun 2023 [6].

Figure 1. Gambar 1. 1 Pengunjung e-commerce terbanyak di Indonesia

Sumber : https://images.app.goo.gl/rQBbe6k1zbraXxVX9

Pengguna aplikasi shopee mencakup berbagai rentang usia, mulai dari remaja hingga dewasa. Pada umumnya, kelompok usia 18-35 tahun menjadi pengguna terbesar karena mereka aktif secara digital, memiliki daya beli, dan tertarik pada kemudahan serta promosi yang ditawarkan. Mahasiswa menjadi salah satu pengguna yang masuk dalam kategori kelompok tersebut [7]. Hal ini disebabkan karena mahasiswa merupakan pengguna aktif sosial media, sehingga dapat dengan mudah mengakses aplikasi belanja online tersebut [8]. Mahasiswa sering kali terpengaruh oleh yang di sebut FOMO (Fear of Missing Out) mendorong mereka untuk mengikuti tren masa kini, sehingga menimbulkan rasa gengsi yang tinggi jika tidak ikut membeli dan mengikuti trend yang lagi viral [9].

Penelitian ini mengadopsi teori akuntansi keperilakuan dengan fokus pada Theory of Planned Behavior yang menyatakan bahwa niat seseorang memiliki peran penting dalam menentukan suatu perilaku yang akan dilakukan [10]. Dalam konteks perilaku konsumtif, selain niat dalam diri juga terdapat faktor lainnya seperti dipengaruhi oleh iming-iming hadiah, tren, atau dorongan sosial untuk memiliki barang tertentu [11]. Selain itu, faktor psikologis seperti dorongan emosional dan kepuasan instan juga berperan dalam meningkatkan perilaku konsumtif [12]. Individu yang memiliki kecenderungan konsumtif seringkali kurang mempertimbangkan aspek fungsional suatu barang dan lebih mengutamakan nilai simbolis atau status sosial. Akibatnya, perilaku konsumtif dapat menyebabkan pola pengeluaran yang tidak terkendali dan berisiko terhadap kondisi finansial individu.

Perilaku konsumtif merupakan perilaku mengkonsumsi barang dengan tidak mengutamakan kegunaan dan kebutuhan tetapi memenuhi keinginan untuk mencoba hal baru demi meningkatkan status, gengsi, gaya hidup serta untuk mendapatkan kepuasan tersendiri [13]. Perilaku konsumtif meliputi tindakan membeli secara impulsif, yang didorong oleh emosi tanpa berpikir secara rasional serta tindakan pemborosan, yang berarti mengeluarkan uang tanpa memprioritaskan kebutuhan [14]. Selain itu, perilaku konsumtif ini didorong dengan berbagai fitur shopee seperti SPinjam dan ShopeePay Later memberikan kemudahan dalam berbelanja tanpa perlu langsung membayar, sehingga mendorong pengguna untuk membeli barang secara spontan tanpa mempertimbangkan kebutuhan. Dengan adanya opsi pembayaran cicilan dan pinjaman instan, pengguna shopee sering kali tergoda untuk membeli barang yang sebenarnya tidak direncanakan sebelumnya. Kemudahan akses fitur SPinjam dan ShopeePay Later mempermudah pengguna untuk memenuhi keinginan sesaat, yang dapat memicu perilaku pembelian impulsif.

Pengetahuan finansial menjadi kunci utama dalam membentuk pola pikir mahasiswa agar lebih cermat mengatur keuangan dan terhindar dari pembelian impulsif [15]. Dengan pemahaman keuangan yang tepat, mahasiswa mampu mempertimbangkan keputusan belanja secara lebih matang, sehingga dapat menekan kecenderungan konsumtif [16]. Kemampuan kognitif dan pendidikan keuangan individual yang berdampak pada perilaku dan kegiatan keuangan dengan tujuan untuk meningkatkan kesejahteraan [17]. Literasi keuangan diharapkan dapat membantu seseorang menghindari masalah keuangan dengan cara mengelola asetnya sesuai dengan konsep keuangan sehingga diharapkan bermanfaat bagi untuk jangka pendek maupun untuk jangka panjang [18]. Hasil penelitian terdahulu yang di lakukan oleh [19] menyatakan literasi keuangan berpengaruh positif terhadap perilaku konsumtif. Akan tetapi, hasil penelitian yang di lakukan oleh [20] menyatakan bahwasannya literasi keuangan tidak berpengaruh terhadap perilaku konsumtif.

Selain literasi finansial, gaya hidup juga mempengaruhi peningkatan perilaku konsumtif, Lifestyle atau biasa disebut dengan gaya hidup mencerminkan cara seseorang menghabiskan waktunya dalam aktivitas yang dianggap penting dalam pergaulannya, serta pandangannya terhadap diri sendiri dan lingkungan disekitarnya [21]. Mahasiswa era sekarang identik dengan gaya hidup modern yang selalu mengikuti perkembangan zaman. Telah terjadi pergeseran perilaku konsumsi, dimana mahasiswa cenderung berbelanja bukan untuk memenuhi kebutuhan, melainkan untuk memuaskan keinginan, situasi ini mendorong munculnya persaingan gengsi di antara kaum muda, yang terlihat dari pemilihan tempat hangout, cara berpakaian, penggunaan gadget, hingga sarana transportasi. [22]. Hasil riset [23] mengindikasikan adanya pengaruh yang positif dan signifikan antara gaya hidup dengan perilaku konsumtif. Akan tetapi, studi yang dilaksanakan oleh [24] menghasilkan temuan yang berbeda, dimana gaya hidup tidak memberikan pengaruh yang signifikan pada perilaku konsumtif.

Pengendalian diri menjadi faktor penting dalam membatasi perilaku konsumtif. Kemampuan mengendalikan diri merupakan kapasitas yang dapat dimiliki individu untuk menghadapi situasi di sekitarnya, sekaligus menjadi pengendali dalam proses pengambilan keputusan [25]. Pengendalian diri adalah aspek penting dari karakter yang memungkinkan individu untuk membuat pilihan yang bijaksana dan bertanggung jawab dalam menghadapi berbagai situasi. [26]. Penelitian yang di lakukan oleh [27] menunjukkan bahwa pengendalian diri memiliki korelasi positif dengan perilaku konsumtif. Namun, penelitian lain yang dilakukan oleh [28] menemukan bahwa pengendalian diri tidak berpengaruh pada perilaku konsumtif.

Dalam penelitian [29] variabel yang digunakan yakni literasi keuangan dan pengendalian diri. Oleh karena itu, terdapat peluang untuk pengembangan lebih lanjut dalam penelitian ini dengan menambahkan variabel gaya hidup, yang diadaptasi dari penelitian [30], karena faktor tersebut merupakan elemen penting yang perlu diperhitungkan dalam perilaku konsumtif. Selain itu, pada penelitian [31] menggunakan teknik random sampling, sedangkan penelitian ini, pengambilan sampel menggunakan simple random sampling. Sementara itu, penelitian [32] meneliti generasi milenial di Kota Subang, sedangkan penelitian ini berfokus pada mahasiswa yang mengambil konsentrasi studi akuntansi di Kabupaten Sidoarjo. Perbedaan objek dan lokasi ini membuka peluang penelitian lebih lanjut, khususnya dalam memahami mahasiswa yang menempuh pendidikan di bidang akuntansi.

Berdasarkan research gap yang telah diidentifikasi, dapat disimpulkan bahwa masih terdapat berbagai peluang penelitian yang dapat dikembangkan dalam studi ini. Selain itu, belum ditemukan penelitian yang mengintegrasikan variabel literasi keuangan, gaya hidup, dan pengendalian diri dalam menganalisis perilaku konsumtif mahasiswa UMSIDA sebagai pengguna Shopee, sehingga diperlukan penelitian lebih lanjut. Penelitian ini bertujuan untuk mengkaji pengaruh literasi keuangan, gaya hidup, dan pengendalian diri terhadap perilaku konsumtif mahasiswa sebagai pengguna Shopee. Selain itu, penelitian ini juga memberikan wawasan mengenai bagaimana perkembangan teknologi memengaruhi pola konsumsi generasi muda. Selain meneliti pengaruh masing-masing faktor secara individu, penelitian ini juga menawarkan rekomendasi untuk membantu mahasiswa dalam mengelola keuangan dengan lebih bijak.

Sebagai calon sarjana akuntansi, penulis termotivasi untuk meneliti perilaku konsumtif dari sudut pandang keuangan. Hal ini didorong oleh keyakinan bahwa akuntansi dapat memberikan pemahaman yang mendalam tentang dampak perilaku konsumtif terhadap kesehatan finansial individu dan bisnis. Melalui penelitian ini, penulis berharap dapat mengidentifikasi faktor-faktor yang mempengaruhi perilaku konsumtif serta mengkaji peran literasi akuntansi dalam pengelolaan keuangan yang bijaksana. Hasil penelitian ini diharapkan dapat memberikan kontribusi yang berharga bagi pengembangan ilmu akuntansi dan praktik pengelolaan keuangan masyarakat. Penelitian ini juga diharapkan dapat menjadi landasan bagi pengembangan program edukasi keuangan yang lebih efektif, khususnya dalam menumbuhkan kesadaran akan pentingnya pengelolaan keuangan yang baik.

Pengembangan Hipotesis

Pengaruh antara Financial Literacy terhadap Perilaku Konsumtif

Penelitian ini mengadopsi Theory of Planned Behavior yang menyatakan bahwa keputusan konsumsi individu dipengaruhi oleh pertimbangan yang rasional dan terencana [33]. Dalam hal ini, literasi keuangan berperan sebagai landasan utama dalam membentuk pola pikir rasional, karena mencakup pengetahuan serta keterampilan dalam mengelola keuangan pribadi. Dengan demikian, kemampuan literasi keuangan yang baik dianggap penting untuk mengurangi kecenderungan perilaku konsumtif pada mahasiswa, karena memungkinkan mereka membuat keputusan konsumsi yang lebih selektif dan terorganisir [34]. Selaras dengan hal tersebut, studi sebelumnya [19] dan [35] menunjukkan adanya hubungan antara literasi keuangan dan perilaku konsumtif. Maka, pengembangan hipotesis yang di dapat adalah :

H1 = Financial Literacy berpengaruh positif terhadap perilaku konsumtif

Pengaruh antara Lifestyle terhadap Perilaku Konsumtif

Gaya hidup mahasiswa memengaruhi keputusan pembelian dan pola konsumsi, mencerminkan bagaimana individu berinteraksi dengan lingkungannya dan keinginan mereka untuk menikmati hidup. Theory of Planned Behavior menjelaskan bahwa niat konsumtif mahasiswa dipengaruhi oleh sikap positif terhadap konsumsi, norma sosial, dan persepsi kontrol perilaku [36]. Teori ini menyatukan ilmu sosial dan perilaku untuk memprediksi tujuan individu, dengan faktor personal seperti kebiasaan dan sikap yang menjadi dasarnya. Gaya hidup menunjukkan pola hidup seseorang yang diperlihatkan dalam kegiatan serta mencerminkan keseluruhan pribadi dalam pergaulan dengan lingkungannya [37]. Oleh karena itu, gaya hidup yang berorientasi kenikmatan dapat memperkuat perilaku konsumtif, sejalan dengan temuan penelitian sebelumnya oleh [23], [38], dan [35] yang menyatakan bahwa gaya hidup berpengaruh terhadap perilaku konsumtif. Hipotesis yang didapatkan :

H2= Lifestyle berpengaruh positif terhadap perilaku konsumtif

Pengaruh antara Self-Control terhadap Perilaku Konsumtif

Pengendalian diri didefinisikan sebagai kemampuan untuk menekan atau menyesuaikan keinginan seseorang, yang berpotensi meningkatkan kualitas hidup secara signifikan. Ini mencakup menahan diri dari kecenderungan perilaku yang tidak diinginkan serta menghindari aktivitas dan tindakan yang dapat mengakibatkan hasil buruk. Aspek kontrol diri meliputi kontrol perilaku, kontrol kognitif, dan kontrol keputusan [39]. Sejalan dengan Theory of Planned Behavior yang menjelaskan bahwa perilaku manusia didasarkan pada orientasi dan perencanaan ke depan, di mana self-control merujuk pada kemampuan individu dalam mengambil keputusan finansial yang baik. Penelitian terdahulu oleh [27] dan [40] menunjukkan bahwa kontrol diri berpengaruh terhadap perilaku konsumtif. Hipotesis yang dapat dikembangkan :

H3= Self-Control berpengaruh positif terhadap perilaku konsumtif

Kerangka Konseptual

Berdasarkan perumusan hipotesis sebelumnya, diperoleh kerangka konseptual sebagai berikut:

Figure 2. Gambar 2. 1 Kerangka Konseptual

Metode

Jenis Penelitian

Penelitian ini menggunakan jenis penelitian kuantitatif dengan pendekatan deskriptif. Pendekatan penelitian deskriptif adalah metode yang mengkaji fenomena yang terjadi dalam suatu populasi. Dalam pendekatan ini, data yang diamati berasal dari sampel yang mewakili populasi tersebut, sehingga menghasilkan gambaran yang relatif akurat tentang kejadian yang dipelajari [41]. Secara umum, penelitian deskriptif menggunakan kuesioner sebagai instrumen penelitian. Jenis data yang digunakan dalam penelitian ini adalah data primer, yang dikumpulkan secara langsung melalui penyebaran kuesioner via Google Form dengan total 24 item pernyataan. Pengukuran dalam penelitian ini menggunakan skala Likert, yang terdiri dari empat tingkat preferensi, yaitu skala 1 hingga 4. Setiap jawaban terhadap pernyataan memiliki gradasi, mulai dari sangat negatih hingga sangat positif, sebagai berikut :

Sangat Tidak Setuju (STS) dengan skor 1

Tidak Setuju(TS) dengan skor 2

Setuju (S) dengan skor 3

Sangat Setuju (SS) dengan skor 4

Penelitian kuantitatif diartikan sebagai metode penelitian yang berlandaskan pada asumsi positivistik bahwa data dapat dinyatakan dalam bentuk angka dan diukur dengan menggunakan statistik sebagai alat uji perhitungan. Pendekatan ini digunakan untuk menguji hipotesis yang berkaitan dengan masalah yang diteliti dan menghasilkan suatu kesimpulan. Penelitian ini mengambil bentuk penelitian konklusif kausal. Penelitian kausal didefinisikan sebagai jenis penelitian yang tujuan utamanya adalah untuk mengetahui hubungan sebab akibat [42].

Figure 3. Tabel 3. 1 Indikator Variabel

Populasi dan Sampel

Metode pengambilan sampel penelitian ini menggunakan probability sampling dengan pendekatan simple random sampling. Lokasi penelitian ini bertempat di Universitas Muhammadiyah Sidoarjo yang beralamatkan di Jalan Mojopahit No.666 B, Sidowayah, Celep, Kec. Sidoarjo, Kabupaten Sidoarjo, Provinsi Jawa Timur, Kode Pos 61215. Dalam penelitian ini, populasi yang diteliti adalah mahasiswa akuntansi semester 7 angkatan 2021 dengan total sebanyak 109 orang. Adapun ukuran sampel ditentukan dengan menggunakan rumus Slovin, yang dikenal efektif untuk mendapatkan sampel yang mewakili populasi. Dengan model rumus sebagai berikut :

Figure 4.

Perhitungan rumus Slovin mulanya menghasilkan 85,65 responden, kemudian dibulatkan menjadi 86 responden. Sehingga jumlah responden dalam penelitian ini adalah 86 responden.

Teknik Analisis

Dalam penelitian ini, data dianalisis menggunakan SmartPLS 4 untuk memperolah hasil yang akurat juga dapat dipertanggungjawabkan.

Uji Kualitas Data

Kualitas data dalam penelitian ini diuji melalui beberapa prosedur, termasuk diantaranya yaitu uji validitas dan uji reliabilitas [46].

1. Uji Validitas

Uji validitas dalam penelitian ini bertujuan untuk mengukur apakah instrumen ukur yang digunakan dapat dinilai valid atau tidak. Instrumen yang digunakan dalam penelitian ini adalah kuesioner yang berisi sejumlah pertanyaan untuk mengumpulkan data. Pengujian validitas dilakukan dengan menggunakan metode Corrected Item-Total Correlation, di mana nilai hasil pengujian dibandingkan untuk menentukan apakah indikator tersebut valid. Jika nilai Corrected Item-Total lebih besar dari 0,30 atau nilai R hitung lebih besar dari R tabel pada tingkat signifikansi 0,05 (5%), maka indikator tersebut dapat dianggap valid. Dengan demikian, hasil pengujian validitas ini memastikan keakuratan instrumen yang digunakan dalam penelitian.

2. Uji Reliabilitas

Uji reliabilitas dalam penelitian ini bertujuan untuk menguji konsistensi instrumen ukur dalam mengukur indikator yang digunakan oleh peneliti. Instrumen dikatakan reliabel jika memberikan hasil yang konsisten pada setiap pengukuran yang dilakukan terhadap responden. Dengan kata lain, jika jawaban responden tidak berubah meskipun pengukuran dilakukan beberapa kali, maka instrumen tersebut dapat diandalkan. Dalam penelitian ini, software SmartPLS 4 digunakan untuk melakukan uji statistik, dengan hasil uji reliabilitas yang mengacu pada nilai Cronbach alpha. Jika nilai Cronbach alpha lebih besar dari 0,7 (α > 0,7), maka instrumen tersebut dinyatakan reliabel [46].

Teknik Analisis Data

Analisis data memainkan peran penting dalam penelitian untuk mengubah data yang dikumpulkan menjadi informasi yang berarti. Dalam penelitian ini, analisis dilakukan menggunakan metode regresi linier berganda.

Analisis Regresi Linear Berganda

Metode analisis regresi linier berganda digunakan untuk menguji hubungan kausal antara variabel independen dan variabel dependen. Tujuan dari uji regresi linier berganda adalah untuk mendapatkan bukti mengenai adanya pengaruh antara variabel independen dan dependen, apakah hubungan tersebut bersifat positif (searah) atau negatif (berlawanan arah), sehingga dapat dipahami perubahan pada variabel dependen ketika variabel independen mengalami perubahan. Analisis ini bertujuan untuk menguji pengaruh variabel independen, yakni Financial Literacy (X1), Lifestyle (X2), dan Self-Control (X3) terhadap Perilaku Konsumtif (Y). Model empiris yang diuji dalam penelitian ini sebagai berikut :

Y=α+β_1 X_1+β_2 X_2+β_3 X_3+e

Keterangan:

Y = Variabel Perilaku Konsumtif

α = Konstanta

β_1= Koefisien regresi Financial Literacy

β_2= Koefisien regresi Lifestyle

β_3= Koefisien regresi Self-Control

X_1= Variabel Financial Literacy

X_2= Variabel Lifestyle

X_3= Variabel Self-Control

e = Nilai Residu (error)

Uji Hipotesis

Pengujian hipotesis dalam penelitian dilakukan untuk menilai apakah variabel independen yang telah ditetapkan oleh peneliti memiliki pengaruh signifikan terhadap variabel dependen, yang dapat diuji menggunakan uji t [47].

Uji Parsial (Uji t)

Uji t digunakan untuk menguji sejauh mana masing-masing variabel independen, seperti literasi keuangan, gaya hidup, dan kontrol diri, memengaruhi variabel dependen, yaitu perilaku konsumtif, secara terpisah. Dengan uji t, peneliti dapat menilai apakah setiap variabel independen memberikan pengaruh yang signifikan terhadap perilaku konsumtif. Pengujian ini dilakukan dengan membandingkan nilai t hitung dengan t tabel sesuai dengan kriteria yang telah ditetapkan. Jika t hitung lebih kecil daripada t tabel, maka hipotesis nol (Ho) ditolak dan hipotesis alternatif (Ha) diterima. Sebaliknya, jika t hitung lebih besar daripada t tabel, maka hipotesis nol (Ho) diterima dan hipotesis alternatif (Ha) ditolak.

Hasil dan Pembahasan

Karakteristik Responden

Penelitian ini berhasil mengumpulkan data dari 86 responden yang berpartisipasi. Selanjutnya, data tersebut diklasifikasikan berdasarkan dua kriteria utama. Kriteria pertama adalah mengidentifikasi jenis kelamin masing-masing individu. Kriteria kedua adalah status penggunaan aplikasi Shopee, mereka yang aktif menggunakan Shopee dan mereka yang pernah menjadi pengguna Shope sebelumnya. Klasifikasi ini bertujuan untuk menganalisis perbedaan atau pola yang mungkin muncul berdasarkan kedua karakteristik tersebut.

Figure 5. Tabel 4. 1 Karakteristik Responden

Tabel 4.1 menyajikan karakteristik responden penelitian berdasarkan jenis kelamin dan status penggunaan Shopee. Mayoritas responden dalam penelitian ini adalah perempuan, dengan jumlah mencapai 75 orang atau setara dengan 87,2% dari total keseluruhan. Data ini menunjukkan adanya dominasi partisipasi perempuan dalam studi ini. Lebih lanjut, tabel juga menginformasikan bahwa seluruh responden yang berjumlah 86 orang merupakan pengguna Shopee, baik sebagai pengguna aktif saat ini maupun yang pernah menggunakannya di masa lalu. Kecenderungan perempuan yang tinggi terhadap diskon dan promo cashback yang menarik diduga menjadi salah satu faktor dominasi ini [48].

Uji Instrumen (Outer Model)

Dalam konteks penelitian, pengujian instrumen atau yang dikenal sebagai outer model memiliki peran penting untuk menilai sejauh mana indikator mampu menggambarkan variabel yang diteliti secara tepat dan ajek. Tujuan pokok dari prosedur ini adalah untuk menjamin validitas dan reliabilitas alat ukur yang digunakan. Validitas instrumen dievaluasi melalui analisis outer loading dan nilai Average Variance Extracted (AVE). Di sisi lain, reliabilitas instrumen diukur berdasarkan nilai composite reliability dan Cronbach's alpha. Dengan demikian, hasil dari pengujian ini menjadi landasan krusial dalam memastikan mutu data yang dikumpulkan serta keabsahan kesimpulan penelitian.

Figure 6. Tabel 4. 2 Hasil Uji Outer Model

Merujuk pada data yang tersaji dalam Tabel 4. 2, terlihat bahwa setiap indikator yang digunakan untuk mengukur variabel penelitian memiliki nilai loading factor yang melampaui batas 0,70 yang mengkonfirmasi validitas masing-masing indikator. Hasil analisis lebih lanjut, Average Variance Extracted (AVE) menunjukkan bahwa nilai untuk setiap variabel berada di atas 0,50 menegaskan terpenuhinya standar minimum validitas indikator secara keseluruhan. Tak hanya itu, pengujian reliabilitas melalui composite reliability dan Cronbach alpha menghasilkan nilai di atas 0,70 untuk semua variabel yang ada dalam penelitian. Temuan ini mengimplikasikan bahwa seluruh variabel telah memenuhi kriteria reliabilitas yang dipersyaratkan. Dengan demikian, dapat disimpulkan bahwa instrumen penelitian yang digunakan memiliki kualitas yang baik, baik dari segi validitas maupun reliabilitas.

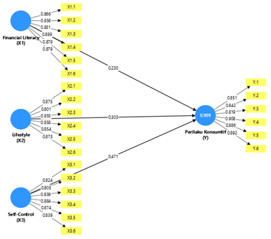
Evaluasi Structural Model (Inner Model)

Inner Model berfungsi sebagai kerangka kerja yang menggambarkan keterkaitan antar variabel. Fokus utama model ini adalah mengidentifikasi dan menetapkan hubungan kausal, yaitu relasi sebab dan akibat, yang terjalin di antara variabel-variabel tersebut. Melalui Inner Model, peneliti dapat memperoleh pemahaman yang lebih mendalam mengenai arah serta besarnya pengaruh yang ada di antara konsep-konsep kunci penelitian. Dengan demikian, pemahaman yang komprehensif tentang hubungan kausalitas ini menjadi fondasi yang esensial dalam merumuskan kesimpulan yang valid dan bermakna dari penelitian.

Figure 7. Gambar 3. 1 Grafik Inner Model

Sumber : Output SmartPLS 4, 2025

1. R-Square

R-square merupakan indikator yang digunakan untuk menilai sejauh mana kekuatan model dalam menjelaskan variabel laten yang dipengaruhi oleh variabel lain. Nilai R-square sebesar 0,75 menunjukkan model yang kuat, 0,50 menunjukkan kekuatan sedang, dan 0,25 mengindikasikan model yang lemah [49]. Nilai ini merepresentasikan proporsi varians dari variabel yang dijelaskan oleh variabel lain dalam suatu model. Perbedaan nilai R-square dapat digunakan untuk menilai apakah terdapat pengaruh yang signifikan serta seberapa besar pengaruh tersebut dari variabel penyebab terhadap variabel yang dipengaruhi. Oleh karena itu, evaluasi terhadap nilai R-square menjadi komponen penting dalam mengukur kualitas hubungan dalam model struktural.

Figure 8. Tabel 4. 3 Hasil Uji R-Square

Merujuk pada Tabel 4.3, nilai R-Square variabel perilaku konsumtif adalah sebesar 0,899. Nilai ini menandakan bahwa proporsi sebesar 89% perubahan pada perilaku konsumtif dapat diterangkan oleh variabel-variabel financial literacy, lifestyle, dan self-control yang dianalisis dalam studi ini. Selebihnya, variasi dalam perilaku konsumtif dipengaruhi oleh faktor-faktor lain di luar cakupan penelitian ini. Implikasinya adalah bahwa meskipun variabel literasi keuangan, gaya hidup, dan kontrol diri memiliki dampak yang signifikan, perilaku konsumtif responden juga dipengaruhi oleh faktor-faktor di luar model penelitian ini. Dengan kata lain, ketiga variabel tersebut bukanlah satu-satunya penentu perilaku konsumtif.

2. F-Square

F-Square berfungsi untuk mengukur besarnya pengaruh parsial dari setiap variabel laten dalam suatu model penelitian. Nilai F-Square diklasifikasikan ke dalam tiga tingkatan pengaruh. Apabila nilainya ≥ 0,35, maka variabel laten tersebut memiliki pengaruh yang kuat terhadap variabel lainnya. Nilai antara 0,15 hingga 0,35 menunjukkan pengaruh sedang, sedangkan nilai dalam rentang 0,02 hingga 0,15 mencerminkan pengaruh yang lemah [50]. Dengan demikian, analisis F-Square menjadi alat penting untuk menilai sejauh mana peran masing-masing variabel dalam membentuk hubungan dalam model struktural.

Figure 9. Tabel 4. 4 Hasil Uji F-Square

Berdasarkan Tabel 4.4, variabel Financial Literacy memiliki nilai f² sebesar 0,158 , yang menunjukkan bahwa variabel ini memberikan pengaruh sedang terhadap perilaku konsumtif. Sementara itu, nilai f² pada variabel Lifestyle tercatat sebesar 0,297, yang mengindikasikan bahwa variabel tersebut berpengaruh sedang terhadap perilaku konsumtif. Variabel Self-Control memiliki nilai f² sebesar 0,319 yang menandakan adanya pengaruh sedang terhadap perilaku konsumtif. Ketiga variabel tersebut memberikan kontribusi yang berbeda dalam memengaruhi tingkat konsumsi seseorang. Oleh karena itu, evaluasi nilai f² diperlukan untuk mengetahui seberapa besar peran masing-masing variabel dalam menjelaskan perilaku konsumtif individu.

Hasil Uji Hipotesis

Uji Path Coeficient (Uji t)

Pengujian hipotesis dilakukan melalui metode Bootstrapping menggunakan aplikasi SmartPLS 4.0 untuk mengevaluasi apakah hipotesis yang diajukan layak diterima. Teknik ini digunakan untuk mengukur tingkat signifikansi pengaruh antar variabel dalam suatu model penelitian. Jika nilai p yang dihasilkan dengan batas signifikansi, yakni < 0,05, maka hipotesis dinyatakan diterima. Namun, apabila nilai p lebih besar dari batas tersebut, hipotesis ditolak karena tidak menunjukkan signifikansi yang cukup. Dengan demikian, Bootstrapping menjadi langkah penting dalam menilai keabsahan hubungan dalam model struktural.

Figure 10. Tabel 4. 5 Hasil Uji t

Berdasarkan tabel 4.6 hasil pengujian t, teridentifikasi beberapa pengaruh signifikan dari variabel-variabel independen terhadap perilaku konsumtif. Pertama, literasi keuangan memberikan dampak positif signifikan pada perilaku konsumtif, dengan koefisien jalur 0,242 dan nilai P sebesar 0,043. Kedua, gaya hidup menunjukkan pengaruh positif signifikan terhadap perilaku konsumtif, yang dibuktikan dengan koefisien jalur 0,371 dan nilai P 0,003. Ketiga, kontrol diri juga terbukti memiliki pengaruh positif signifikan pada perilaku konsumtif, ditandai dengan koefisien jalur 0,389 dan nilai P 0,001.

Pembahasan

Financial Literacy berpengaruh terhadap Perilaku Konsumtif

Hasil dari uji t pada tabel 4.6 menunjukkan bahwa financial literacy memiliki nilai P value sebesar 0,0043 yang berarti kurang dari 0,05, sehingga H1 dinyatakan di terima. Hal ini mengindikasikan bahwa literasi keuangan secara signifikan memengaruhi perilaku konsumtif mahasiswa. Dalam konteks Theory of Planned Behavior, perilaku seseorang dipengaruhi oleh sikap, norma subjektif, dan persepsi terhadap kontrol perilaku [33]. Literasi keuangan mencakup tiga komponen utama, yaitu pengetahuan, keterampilan, dan sikap dalam mengelola keuangan. Di antara ketiganya, keterampilan menjadi faktor paling dominan dalam membentuk tingkat literasi keuangan seseorang. Keterampilan ini melibatkan kemampuan praktis untuk menerapkan informasi keuangan dalam aktivitas sehari-hari. Oleh karena itu, penting untuk memberikan edukasi keuangan yang menyeluruh dan sesuai dengan realitas kehidupan mahasiswa. Pendidikan semacam ini bertujuan untuk mendorong pengambilan keputusan finansial yang cerdas dan menghindari perilaku konsumtif yang tidak terkendali. Temuan penelitian ini konsisten dengan hasil studi sebelumnya yang dilakukan oleh [24], [33], dan [51]. Namun, temuan ini berbanding terbalik dengan penelitian [20] yang menyatakan bahwa literasi keuangan tidak memiliki pengaruh terhadap perilaku konsumtif.

Lifestyle berpengaruh terhadap Perilaku Konsumtif

Penelitian ini menunjukkan bahwa gaya hidup memiliki pengaruh signifikan terhadap perilaku konsumtif, dengan nilai 0,003 < 0,05 sehingga H2 di terima. Artinya, gaya hidup memainkan peran krusial dalam membentuk perilaku konsumtif mahasiswa. Hasil penelitian ini selaras dengan Teori Perilaku Terencana (TPB) yang menjelaskan bahwa keputusan dan tindakan terkait gaya hidup kita sangat dipengaruhi oleh bagaimana kita berpikir, apa yang orang lain harapkan, dan seberapa mampu kita merasa untuk bertindak sesuai keinginan kita [52]. Gaya hidup itu sendiri dipengaruhi oleh beragam faktor, termasuk kebiasaan berbelanja, kepedulian terhadap isu sosial, dan persepsi diri. Dari ketiga faktor tersebut, kebiasaan berbelanja menjadi faktor paling dominan dalam membentuk gaya hidup. Aktivitas berbelanja secara konkret mencerminkan ekspresi gaya hidup, di mana frekuensi, besarnya pengeluaran, dan jenis produk yang dibeli menggambarkan perilaku konsumtif mahasiswa. Oleh karena itu, kebiasaan berbelanja dapat dianggap sebagai indikator utama pengaruh gaya hidup terhadap pola konsumsi. Kecenderungan untuk mengutamakan keinginan daripada kebutuhan, ditambah tekanan sosial dan pengaruh media digital, mendorong mahasiswa untuk aktif membeli produk atau layanan yang sesuai gaya hidup mereka. Hasil ini konsisten dengan penelitian [22], [53], dan [54]. yang menunjukkan bahwa lifestyle berpengaruh terhadap perilaku konsumtif. Namun, berbeda dengan studi [24] yang menyatakan bahwa gaya hidup tidak terdapat pengaruh terhadap perilaku konsumtif.

Self-Control berpengaruh terhadap Perilaku Konsumtif

Hasil uji-t menunjukkan bahwa pengendalian diri memiliki pengaruh signifikan terhadap perilaku konsumtif, dibuktikan dengan nilai P value 0,001 < 0,05 secara statistik membuktikan bahwa H3 mengenai adanya pengaruh tersebut diterima, menggarisbawahi pengendalian diri sebagai dasar penting dalam membatasi perilaku konsumtif. Mengacu pada teori perilaku terencana, kontrol diri berfungsi sebagai mekanisme internal yang kuat, memungkinkan individu, termasuk mahasiswa, untuk menahan dorongan belanja impulsif dan mempertimbangkan manfaat serta kebutuhan sebelum membeli, sehingga secara signifikan mengurangi perilaku konsumtif mereka [2]. Kemampuan internal ini memungkinkan individu membuat keputusan finansial yang lebih rasional dan bertanggung jawab, terutama di tengah tekanan konsumerisme modern. Pengendalian diri dikembangkan melalui berbagai indikator seperti niat menabung, pengelolaan pengeluaran tidak penting, dan penyediaan dana darurat. Di antara indikator-indikator tersebut, pengaturan pengeluaran yang tidak perlu menunjukkan dampak paling signifikan, berfungsi sebagai fondasi untuk membatasi kecenderungan konsumtif. Kapasitas untuk mengatur keinginan langsung dan pengeluaran yang tidak perlu menunjukkan disiplin keuangan dan kematangan pengambilan keputusan. Dengan membatasi pembelian yang tidak perlu, individu menciptakan batasan protektif terhadap pembelian impulsif dan mendorong praktik finansial yang lebih berkelanjutan. Pengendalian diri yang kuat memungkinkan seseorang untuk memprioritaskan stabilitas keuangan masa depan di atas kepuasan instan, membangun dasar untuk kesehatan finansial yang lebih baik. Hasil penelitian ini konsisten dengan studi sebelumnya yang dilakukan oleh [27] dan [55]. Namun, temuan ini berbeda dengan hasil penelitian [28] yang tidak menemukan adanya pengaruh.

Simpulan

Berdasarkan hasil penelitian yang telah dilakukan, dapat disimpulkan bahwa literasi keuangan, gaya hidup, dan pengendalian diri memiliki pengaruh yang signifikan terhadap perilaku konsumtif. Literasi keuangan terbukti berkontribusi secara positif, menunjukkan bahwa peningkatan pemahaman keuangan dapat memengaruhi pola konsumsi seseorang. Gaya hidup juga memberikan dampak positif dan signifikan, yang mencerminkan peran nilai pribadi dan identitas sosial dalam mendorong keputusan belanja. Selain itu, pengendalian diri berperan penting dengan pengaruh positif terhadap perilaku konsumtif, menandakan bahwa kemampuan mengelola dorongan internal memengaruhi cara individu mengatur konsumsi. Temuan ini menggambarkan bahwa perilaku konsumtif bersifat kompleks dan dipengaruhi oleh kombinasi pengetahuan, aspek sosial, dan faktor psikologis, yang penting untuk dipahami dalam merancang strategi konsumsi yang lebih bijak.

Terdapat beberapa keterbatasan dalam penelitian ini yang perlu diperhatikan, karena responden yang terlibat hanya mahasiswa program studi akuntansi angkatan 2021 di Universitas Muhammadiyah Sidoarjo, maka hasil penelitian ini memiliki keterbatasan dalam hal generalisasi ke populasi yang lebih luas. Fokus analisis yang hanya melibatkan tiga variabel independen membuka kemungkinan adanya faktor-faktor lain yang turut memengaruhi perilaku konsumtif namun belum diteliti dalam studi ini. Pengambilan data yang menggunakan kuesioner berbasis Google Form mungkin menimbulkan bias respons, mengingat tingkat kejujuran atau ketelitian responden tidak dapat sepenuhnya dikontrol. Pendekatan studi yang bersifat cross-sectional membatasi kemampuan untuk mengamati dinamika perubahan perilaku konsumtif dari waktu ke waktu serta menghambat penarikan hubungan sebab-akibat yang kuat. Dengan lokasi penelitian yang terbatas pada satu universitas, temuan ini mungkin tidak sepenuhnya mewakili perilaku konsumtif mahasiswa di universitas atau wilayah lain.

Untuk memperluas pemahaman mengenai perilaku konsumtif, penelitian selanjutnya disarankan untuk melibatkan sampel yang lebih beragam, baik dari segi program studi, angkatan, maupun lokasi universitas, agar hasil yang diperoleh memiliki tingkat generalisasi yang lebih tinggi. Peneliti berikutnya juga dapat menambahkan variabel lain yang relevan, seperti pengaruh media sosial, tekanan teman sebaya, atau tingkat pendapatan, guna memperoleh gambaran yang lebih komprehensif. Di samping itu, penggunaan metode campuran (mixed methods) yang menggabungkan kuesioner dengan wawancara mendalam atau observasi dapat meningkatkan validitas data. Melakukan studi longitudinal juga direkomendasikan agar dapat mengamati perubahan perilaku konsumtif dari waktu ke waktu dan memungkinkan analisis hubungan sebab-akibat yang lebih kuat. Penelitian di berbagai institusi pendidikan dengan karakteristik berbeda dapat membantu menguji konsistensi hasil studi dan memperluas kontribusi terhadap literatur akademik.

Ucapan Terima Kasih

Dengan penuh rasa syukur, saya panjatkan puji kepada Allah SWT atas segala petunjuk dan kemudahan yang diberikan dalam menyelesaikan artikel ini. Terima kasih tak terhingga saya sampaikan kepada ibu atas dukungan dan kasih sayang yang tak pernah padam, menjadi kekuatan di setiap langkah. Apresiasi yang mendalam juga saya haturkan kepada Universitas Muhammadiyah Sidoarjo, khususnya Program Studi Akuntansi dan Fakultas Bisnis, Hukum, dan Ilmu Sosial, yang telah menjadi wadah ilmu dan membimbing perjalanan akademik. Tak lupa, saya berterima kasih kepada para sahabat yang senantiasa memberikan semangat dan motivasi. Berkat kontribusi semua pihak, penelitian ini dapat terselesaikan sesuai harapan.

References

[1] M. A. Alfiyansyah, S. Alamsyah, and H. Tanjung, “E-Commerce, Financial Literacy, and Digital Literacy on Student Consumptive Behavior,” Journal of Revenue Accounting, vol. 5, no. 1, pp. 972–979, 2024.

[2] D. N. M. Estu Pramudita, “Lifestyle, Marketing Exposure, Modernity, and Self-Control in Online Shopping Behavior,” Journal of Economic, Management, and Business Research, vol. 3, no. 4, 2024.

[3] S. Mulyati, “E-Commerce Transactions and Lifestyle on Student Consumptive Behavior,” Journal of Economic Education, vol. 8, no. 1, pp. 1–13, 2023.

[4] N. A. Dudung Abdullah and E. Kurnadi, “Financial Literacy and Self-Control on Student Consumptive Behavior,” Journal of Competitive Accounting, vol. 4, no. 1, p. 24, 2021.

[5] D. P. Oskar et al., “E-Commerce, Financial Literacy, and Lifestyle in Online Shopping,” Ekobistek Journal, vol. 11, pp. 442–447, 2022, doi:10.35134/ekobistek.v11i4.434.

[6] A. Ahdiat, “Five E-Commerce Platforms With the Highest Visitors in Q1 2023,” Katadata.co.id, 2023.

[7] F. Aurelia, “Financial Literacy and Self-Control on Boarding Student Consumptive Behavior,” Moneter: Journal of Accounting and Finance, vol. 11, no. 1, pp. 7–14, 2024, doi: 10.31294/moneter.v11i1.17470.

[8] N. Nurjannah, N. Nurdiana, and A. T. Ampa, “Student Consumptive Behavior as an Effect of E-Commerce Development,” Journal of Economic Education, vol. 11, no. 2, pp. 186–192, 2023, doi: 10.26740/jupe.v11n2.p186-192.

[9] T. Fungky, T. P. Sari, and V. F. Sanjaya, “Lifestyle and Financial Literacy on Gen Z Consumptive Behavior During Pandemic,” Valuasi: Journal of Management and Entrepreneurship, vol. 1, no. 1, pp. 82–98, 2021.

[10] B. S. Hermawan, Behavioral Accounting. Yogyakarta, Indonesia: Andi Publisher, 2019.

[11] U. Aimen and D. H. Tobing, “Low Self-Control and Adolescent Online Shopping Consumptive Behavior,” Psikobuletin: Psychological Bulletin, vol. 3, no. 2, p. 93, 2022, doi: 10.24014/pib.v3i2.9930.

[12] A. Novianti and R. A. Suwaidi, “Analysis of Student Consumptive Behavior,” Journal of Economic Analysis, vol. 7, no. 1, 2024.

[13] D. R. Widianita, “Cashless Payment and Student Consumptive Behavior,” At-Tawassuth: Journal of Islamic Economics, vol. 8, no. 1, pp. 1–19, 2023.

[14] H. A. Nadhifah et al., “Consumptive Behavior Level of Generation Z Students,” Journal of Counseling Focus, vol. 10, no. 1, pp. 17–27, 2024.

[15] A. M. Firdaus and S. Hermawan, “Financial Literacy and Spending Habits on Shopping Decisions,” Management Studies and Entrepreneurship Journal, pp. 1–12, 2023.

[16] D. Leonita and S. Wulandari, “Shopee PayLater, Financial Literacy, and Lifestyle on Online Consumptive Behavior,” Journal of Applied Management and Finance, vol. 13, no. 2, pp. 554–566, 2024, doi: 10.22437/jmk.v13i02.33657.

[17] M. Z. Kurniawan, “Financial Literacy, Price, and Sales Promotion on Gen Z Consumptive Behavior,” Ekonika: Journal of Economics, vol. 8, no. 1, pp. 151–162, 2023, doi: 10.30737/ekonika.v8i1.3636.

[18] I. S. N. Fauzi and A. Sulistyowati, “Financial Literacy and Consumptive Behavior of Mobile Game Players,” Journal of Scientific Studies, vol. 22, no. 2, pp. 129–142, 2022, doi: 10.31599/jki.v22i2.730.

[19] A. Kurniawan et al., “Financial Literacy, Self-Control, and Hedonic Conformity on Consumptive Behavior,” JASS: Journal of Accounting Sustainability Society, vol. 4, no. 2, pp. 1–24, 2023.

[20] G. S. Mengga, M. Batara, and E. Rimpung, “Financial Literacy, E-Money, Lifestyle, and Self-Control on Student Consumptive Behavior,” Journal of Accounting Research, vol. 1, no. 1, pp. 36–50, 2023.

[21] T. N. C. Ranupadma and L. Kurniawati, “E-Commerce, Social Media, Fintech, and Student Consumption Activity,” Costing: Journal of Economics and Accounting, vol. 7, no. 3, pp. 6074–6084, 2024.

[22] Y. Wulandari et al., “Parental Socioeconomic Status and Lifestyle on Student Consumptive Behavior,” JPEK: Journal of Economic Education and Entrepreneurship, vol. 6, no. 2, pp. 344–355, 2022, doi: 10.29408/jpek.v6i2.6707.

[23] S. Pokhrel, “Advertising, Conformity, and Lifestyle on Student Consumptive Behavior,” Agan Journal, vol. 15, no. 1, pp. 37–48, 2024.

[24] A. Samhudi and S. R. R. Pardani, “Financial Literacy and Lifestyle on Employee Consumptive Behavior,” Al-Ulum: Journal of Social and Humanities, vol. 9, no. 2, p. 103, 2023.

[25] R. E. Simarmata et al., “Financial Literacy, Digital Payment, and Self-Control on Student Consumptive Behavior,” Journal EMBA, vol. 12, no. 1, pp. 462–475, 2024.

[26] R. Hartati et al., “Consumptive Behavior in Islamic Perspective,” Journal of Student Research, vol. 1, no. 4, pp. 119–137, 2023.

[27] M. Nurfatimah et al., “Self-Concept and Self-Control in Online Shopping Consumptive Behavior,” Journal of Digital Business Management, vol. 1, no. 4, pp. 546–557, 2023.

[28] H. M. E. Wardoyo, “Lifestyle, Self-Control, E-Money, and Financial Literacy on Online Shopping,” Costing: Journal of Economics and Accounting, vol. 7, no. 6, 2024.

[29] D. Prihatini and A. Irianto, “Financial Literacy and Self-Control on Student Consumptive Behavior,” Ecogen Journal, vol. 4, no. 1, p. 24, 2021.

[30] N. Fadhilah, “Online Shopping Applications, Lifestyle, and Financial Literacy on Student Consumptive Behavior,” Journal of Business and Applied Management, vol. 16, no. 2, p. 141, 2023.

[31] I. M. Izazi et al., “Financial Literacy and Consumptive Behavior With Self-Control Mediation,” Review of Accounting and Business, vol. 1, no. 1, pp. 35–43, 2020.

[32] D. Dilasari et al., “Financial Literacy, Lifestyle, and Locus of Control on Millennial Consumptive Behavior,” JASS: Journal of Accounting Sustainability Society, vol. 2, no. 2, pp. 56–77, 2021.

[33] P. I. Sudiro and N. Asandimitra, “Financial Literacy, Electronic Money, and Lifestyle on Consumptive Behavior,” Journal of Management Science, vol. 10, no. 1, pp. 160–172, 2022.

[34] A. B. S. Yoga Ilham Pratama, “Hedonic Lifestyle, Financial Literacy, and Social Environment on Student Consumptive Behavior,” Management Studies and Entrepreneurship Journal, vol. 5, no. 2, pp. 3190–3197, 2024.

[35] D. I. N. Tantri et al., “Reference Groups, Lifestyle, and Self-Control on Shopee User Consumptive Behavior,” Journal of Management Research, vol. 13, no. 1, pp. 510–518, 2023.

[36] I. G. L. P. Putra and N. K. Sinarwati, “Financial Literacy, Lifestyle, and Self-Control on Student Consumptive Behavior,” Journal of Hospitality and Tourism Management, vol. 6, no. 2, pp. 717–726, 2023.

[37] B. K. Abavi et al., “Lifestyle and Income Level on Student Consumptive Behavior,” Journal of Community Dedication, vol. 1, no. 2, 2023.

[38] M. M. Sari et al., “Financial Literacy and Lifestyle on Islamic Finance Student Consumptive Behavior,” Creative Student Research Journal, vol. 1, no. 2, pp. 137–151, 2023.

[39] A. M. Udayani et al., “Financial Literacy, Lifestyle, and Self-Control on Student Consumptive Behavior,” E-Journal of Management Research, vol. 12, no. 2, 2020.

[40] F. Herlina and I. A. Sari, “Financial Literacy, Allowance Management, and Self-Control on Student Consumptive Behavior,” Spirit Edukasia Journal, vol. 3, no. 2, pp. 306–314, 2023.

[41] P. H. R. Arif et al., Quantitative and Qualitative Research Methods. Jakarta, Indonesia: Prenadamedia Group, 2024.

[42] A. S. Hermawan, Quantitative and Qualitative Research Methods. Malang, Indonesia: Media Nusa Creative, 2016.

[43] D. A. Zakia and A. A. Adisti, “Factors Affecting Social Class,” Journal of Applied Management Science, vol. 3, no. 5, pp. 2–9, 2022.

[44] A. Anggraini, “Financial Behavior, Lifestyle, and Self-Control on Investment Decisions,” YUME: Journal of Management, vol. 5, no. 3, pp. 51–61, 2022.

[45] S. E. F. Subagyo and J. Dwiridotjahjono, “Advertising, Conformity, and Hedonic Lifestyle on Shopee Consumptive Behavior,” E-Business Journal, vol. 14, no. 1, pp. 26–39, 2021.

[46] Sugiyono, Quantitative, Qualitative, and R&D Research Methodology. Bandung, Indonesia: Alfabeta, 2020.

[47] S. Hermawan and W. Hariyanto, Business Research Methods. Surabaya, Indonesia: UMSIDA Press, 2022.

[48] Y. N. H. A. Dinanti, “Financial Literacy, Lifestyle, Self-Control, and E-Money on Gen Z Consumptive Behavior,” EKOMA: Journal of Economics and Accounting, vol. 4, no. 1, pp. 1262–1275, 2024.

[49] S. L. Marwiyah et al., “Consumptive Behavior and Income Level in Islamic Economic Perspective,” Journal of Islamic Economics, vol. 9, no. 3, p. 4279, 2023.

[50] I. N. Aeni et al., “E-Payment, Sharia Financial Literacy, and Lifestyle on Student Consumptive Behavior,” Journal of Islamic Economics Studies, vol. 8, no. 2, pp. 147–162, 2024.

[51] D. Aunu and R. Azhari, “Financial Literacy and Lifestyle on Student Consumptive Behavior,” SJEE: Scientific Journal of Economic Education, vol. 7, pp. 68–72, 2023.

[52] N. I. Lestari et al., “E-Lifestyle, Digital Culture, and E-Payment on Gen Y Consumptive Behavior,” Ekombis Sains Journal, vol. 7, no. 2, pp. 173–186, 2022.

[53] R. D. T. Haryana, “Lifestyle, Self-Control, and Financial Literacy on Online Shopping,” Equilibrium: Journal of Economics, vol. 16, no. 1, p. 29, 2020.

[54] Journal of Economics and Banking, “Lifestyle, Financial Literacy, Self-Control, and E-Money on Student Consumptive Behavior,” Journal of Economics and Banking, vol. 9, no. 2, pp. 194–204, 2024.

[55] B. E. S. Nabila and M. Trihudiyatmanto, “Self-Control as Mediation of Electronic Money Usage,” Journal of Economic Research, vol. 13, no. 1, pp. 9–20, 2025.