Login
Section Tax Accounting

Product Quality, Brand Awareness, and Price in Purchasing Decisions


Pengetahuan Pajak, Insentif Keuangan, dan Pasar Tenaga Kerja terhadap Pilihan Karier
Vol. 20 No. 1 (2025): February :

Kiki Bela Fiviana (1), Supardi (2)

(1) Program Studi Manajemen, Universitas Muhammadiyah Sidoarjo, Indonesia
(2) Program Studi Manajemen, Universitas Muhammadiyah Sidoarjo, Indonesia

Abstract:

General Background: Purchasing decisions in UMKM often depend on marketing and product perception. Specific Background: Kedai Sukidayo faces competition that requires understanding how consumers respond to product quality, brand awareness, and pricing. Knowledge Gap: Limited empirical evidence explains how these variables jointly shape consumer decisions in local UMKM contexts. Aims: This study examines the relationships among product quality, brand awareness, price, and purchasing decisions. Results: Using proportional stratified random sampling and regression analysis, the study shows that product quality significantly contributes to purchasing decisions, brand awareness strengthens consumer confidence toward the product, and price plays a supportive role in shaping buyer preference. Novelty: The study integrates these three variables simultaneously within a specific UMKM food business. Implications: Findings highlight the need for UMKM to prioritize consistent product quality, maintain strong brand recognition, and set prices aligned with consumer perceptions.


Highlights:
• The study identifies key determinants of consumer purchase decisions.
• Brand awareness strengthens consumer confidence in local UMKM.
• Product quality emerges as the strongest purchasing driver.


Keywords: Product Quality, Brand Awareness, Price, Purchasing Decision, UMKM

Downloads

Download data is not yet available.

Pendahuluan

Dunia bisnis saat ini semakin lama semakin berkembang dan semakin bersaing dengan ketat. Hal ini dibuktikan dengan jumlah pelaku usaha mikro kecil dan menengah (UMKM) yang semakin banyak [1]. Berkembangnya dunia bisnis dan munculnya berbagai model bisnis baru membuka peluang bagi para pelaku bisnis untuk secara aktif menghasilkan inovasi-inovasi yang lebih kreatif. Semua upaya ini diarahkan untuk memenuhi terus berkembangnya kebutuhan dan permintaan konsumen yang tak pernah berhenti [2]. Dalam era perkembangan e-commerce dan peluang persaingan baik di dunia offline maupun online, penting bagi produk-produk lokal untuk memiliki identitas unik yang membedakannya. Hal ini akan membantu produk lokal dikenal oleh masyarakat secara luas [3].

Peningkatan e-commerce di Indonesia mencapai lebih dari 40% pada tahun 2021. Kenaikan ini beriringan dengan perubahan gaya hidup masyarakat yang semakin menuju aspek digital, serta perkembangan sistem pembayaran yang semakin terdigitalisasi. Pertumbuhan ini juga terkait dengan upaya pemulihan ekonomi nasional dan perubahan pola belanja masyarakat yang lebih cenderung ke ranah online. Saat ini, terlihat tren pergeseran minat konsumen menuju bisnis makanan siap saji atau frozen food, baik dalam skala usaha mikro, kecil, menengah (UMKM), maupun rumahan. Hal ini membawa dampak positif dengan sumbangan keuntungan yang cukup besar dari sektor usaha frozen food [4]. Melalui konsep ghost kitchen, UMKM Kedai Sukidayo di Surabaya telah mampu menjalankan bisnis kuliner dari rumah dengan menggunakan peralatan yang sederhana. Selanjutnya, produk-produk makanan tersebut dipasarkan secara daring melalui platform seperti Go-Food, Marketplace Shopee, dan berbagai aplikasi lainnya. Pendekatan bisnis ini juga didukung dengan strategi promosi yang aktif di berbagai media sosial, pemberian promo kepada pelanggan, serta penyelenggaraan giveaway. Melalui langkah-langkah ini, terbentuk strategi promosi dan pemanfaatan media yang terencana dengan baik, yang tujuannya adalah meningkatkan kesadaran merek (brand awareness) yang pada gilirannya akan berdampak pada keputusan pembelian konsumen serta menghasilkan transaksi yang positif [5].

Keputusan pembelian yang diambil oleh konsumen terhadap suatu produk dapat ditingkatkan dengan cara terus memperbaiki dan meningkatkan kualitas produk. Inovasi juga dapat diarahkan pada jenis promosi yang digunakan serta desain kemasan produk. Semakin tinggi nilai packaging yang dibuat, maka pertimbangan pembelian konsumen cenderung akan semakin positif. Selain mempengaruhi secara langsung, packaging juga memiliki potensi untuk memperkuat keputusan pembelian melalui peningkatan kesadaran merek (brand awareness) [6].

Proses keputusan pembelian adalah ketika individu memilih produk terbaik dari berbagai opsi yang ada setelah mendapatkan informasi tentang merek tersebut. Ini melibatkan langkah-langkah seperti menyadari kebutuhan, mencari informasi tentang produk yang unik atau mereknya, dan mengevaluasi sejauh mana setiap pilihan dapat memenuhi kebutuhan tersebut sebelum akhirnya membuat keputusan pembelian. Tahap pembelian adalah bagian dari proses pengambilan keputusan konsumen, terutama saat konsumen pasti akan melakukan pembelian. Di tahap ini, konsumen mengenali masalah yang perlu dipecahkan, mencari informasi tentang produk atau merek tertentu, dan mengevaluasi seberapa baik setiap pilihan dapat memenuhi kebutuhan mereka sebelum membuat keputusan akhir. Terdapat tiga indikator dalam keputusan pembelian: kemantapan pada produk, kebiasaan pembelian produk, dan memberikan rekomendasi kepada orang lain [7].

Kualitas produk meliputi semua elemen yang dapat diberikan kepada pasar dengan tujuan memenuhi keinginan atau kebutuhan. Ini mencakup berbagai bentuk seperti produk fisik, layanan, pengalaman, acara, individu, lokasi, kepemilikan, organisasi, informasi, dan gagasan [8]. Kualitas produk ialah sifat-sifat yang dimiliki oleh produk dan jasa yang dapat meningkatkan kemampuannya yang dimana penuhin kebutuhan pelanggan dengan lebih banyak [9]. Kualitas produk mempunyai 5 indikator : porsi, rasa, tekstur, aroma, dan warna [10].

Brand Awareness adalah keahlian suatu merek untuk muncul dalam pikiran pelanggan saat mereka memikirkan tentang produk tertentu dan sejauh mana merek tersebut mudah diingat. Oleh karena itu, peran merek dalam meningkatkan minat pembelian menjadi signifikan, karena tingginya kesadaran merek dapat mengarah pada minat beli yang lebih tinggi dari konsumen terhadap produk tersebut [11]. Brand Awareness mempunyai 3 indikator : brand recall, recognition, purchase, dan consumption [1].

Harga merupakan persepsi konsumen terhadap nilai tertentu yang terkait dengan produk atau layanan, apakah dianggap mahal, murah, atau sesuai. Persepsi ini memiliki dampak yang kuat pada niat pembelian konsumen serta pada tingkat kepuasan yang diperoleh dari pembelian tersebut [12]. Harga merupakan bagian fleksibel dari komponen pemasaran yang berbeda dengan karakteristik produk dan keberadaan saluran distribusi, di mana harga dapat disesuaikan dengan cepat. Ketika konsumen memproses pengetahuan nilai secara kognitif, mereka dapat membandingkan harga yang ditawarkan kisaran harga yang sudah membentuk dalam pikiran orang-orang untuk produk tersebut [13]. Harga mempunyai 4 indikator : jangkauan harga, daya saing harga, harga sesuai dengan kualitas produk, dan harga sesuai dengan manfaat [14].

Studi yang dilakukan oleh Kaharu dan Budi dalam judul penelitian "Pengaruh Gaya Hidup, Promosi, dan Kualitas Produk terhadap Keputusan Pembelian Pada Cosmic" menghasilkan temuan bahwa gaya hidup, promosi, dan kualitas produk memiliki pengaruh yang berkesinambungan dan positif terhadap keputusan pembelian. Sementara itu, penelitian yang dilakukan oleh Fetrizen dan Aziz dalam judul "Analisis Pengaruh Kualitas Produk, Harga, Promosi Terhadap Keputusan Pembelian Air Minum Dalam Kemasan (AMDK) Merek Aicos Produksi PT. Bumi Sarimas Indonesia" menyimpulkan bahwa variabel kualitas produk tidak memiliki pengaruh yang berkesinambungan pada keputusan untuk membeli [15].

Hasil dari penelitian yang diadakan oleh Sinuraya dalam judul "Analisis Pengaruh Brand Image dan Persepsi Harga terhadap Keputusan Pembelian Studi pada Konsumen Starbucks" mengindikasikan bahwa terdapat dampak positif dan signifikan antara faktor citra merek (brand image) dan persepsi terhadap harga terhadap keputusan pembelian, di mana variabel kualitas produk dan harga memiliki pengaruh yang positif terhadap variabel dependen (keputusan pembelian) [16]. Namun, melalui penelitian yang dilakukan oleh Bagas Yudhistira Alamsyah, ditemukan bahwa dalam membeli produk kendaraan bermotor, variabel harga tidak memiliki pengaruh terhadap keputusan pembelian konsumen. Penelitian ini mengindikasikan bahwa harga yang telah ditetapkan oleh produsen sudah diterima secara positif oleh semua orang, sehingga konsumen tidak memberikan bobot signifikan pada faktor harga dalam proses pengambilan keputusan pembelian [17].

Berdasarkan dari research gap tersebut, maka perlu dilakukan penelitian mengenai persepsi dan sikap konsumen yang mempengaruhi keputusan pembelian yang nantinya berdampak pada kualitas produk, brand awareness, dan harga untuk UMKM di Surabaya. Hal inilah yang memotivasi penulis untuk melakukan penelitian dengan judul “Hubungan antara Kualitas Produk, Brand Awareness, Harga terhadap Keputusan Pembelian (Studi Pada Konsumen UMKM Kedai Sukidayo Surabaya)”.

Kategori penelitian ini berdasarkan SDGs (Sustaniable Development Goals) pada pilar pembangunan ekonomi yang meliputi 8 point yaitu pekerjaan yang layak dan pertumbuhan ekonomi. Berdasarkan uraian permasalahan diatas, maka dapat disimpulkan rumusan masalah : Pengaruh antara kualitas produk, brand awareness, harga terhadap keputusan pembelian UMKM Kedai Sukidayo Surabaya. Tujuan penelitian ini bertujuan untuk mengetahui tolak ukur serta gambaran terkait kualitas, brand awareness, harga, dan keputusan pembelian pada UMKM Kedai Sukidayo Surabaya.

K ajian Litertur

Kualitas Produk

Yanto mengemukakan bahwa kualitas produk merujuk pada upaya untuk memenuhi kebutuhan konsumen dengan menawarkan produk yang memenuhi standar kualitas yang telah ditetapkan. Kualitas produk bersifat dinamis dan cenderung berubah-ubah karena dipengaruhi oleh preferensi konsumen terhadap suatu produk [18]. Jika suatu produk memiliki mutu yang unggul, biasanya akan mendorong konsumen untuk melakukan pembelian berulang. Namun, jika kualitas produk tidak memenuhi ekspektasi, konsumen lebih cenderung mencari produk serupa yang lebih memuaskan [19]. Manajemen pemasaran menjadi ujung tombak suatu UMKM untuk mencapai targetnya, yang dimulai dari konsep produk yang dapat memenuhi keinginan dan kebutuhan konsumen[20]. Hal ini dapat diartikan bahwa kualitas produk mencakup sejauh mana suatu produk memenuhi standar kualitas yang diharapkan, yang pada gilirannya dapat mempengaruhi minat pembelian konsumen terhadap produk tesebut [21]. Penelitian terdahulu yang dilakukan oleh Asia, menyatakan bahwa kualitas produk berpengaruh secara parsial terhadap keputusan pembelian produk [22]. Sejalan dengan penelitian Oktavenia, dimana variabel kualitas produk berpengaruh terhadap keputusan pembelian [23]. Hal tersebut bertentangan dengan penelitian Ababil dan Muttaqien, bahwa variabel kualitas produk tidak berpengaruh terhadap keputusan pembelian [24]. Begitupun dengan penelitian [25] dengan hasil variabel kualitas produk tidak memiliki pengaruh terhadap keputusan pembelian. Indikator kualitas produk yaitu [10] :

1. Porsi merupakan setiap makanan yang disajikan sudah ditentukan standart porsinya (standard portion size).

2. Rasa merupakan kesesuaian rasa yang tepat dari makanan dan minuman yang disajikan seperti manis, asin, dan pedas.

3. Tekstur merupakan kesesuaian tekstur dari makanan yang disajikan.

4. Aroma merupakan aroma yang tercium dari makanan yang akan mempengaruhi konsumen untuk mencoba makanan tersebut.

5. Warna merupakan kombinasi warna dari bahan makanan dan desain kemasan yang disajikan dengan menarik.

Brand Awareness

Brand awareness adalah tingkat kesadaran dan kemampuan konsumen untuk mengenali dan mengingat suatu merek dalam berbagai situasi yang berbeda. Ini mencakup kemampuan konsumen untuk menghubungkan nama merek, logo, simbol, atau elemen lain dari merek dengan asosiasi tertentu yang ada dalam ingatan mereka [26]. Tsimonis dan Dimitriadis, menyatakan bahwa brand awareness adalah salah satu hasil utama yang diharapkan dari kegiatan pemasaran melalui media sosial bisnis [27]. Menurut Keller, Brand awareness dapat meningkatkan keputusan pembelian (buying decision) karena merek tersebut akan menjadi pertimbangan minat pembelian bagi konsumen, bahkan dapat menjadi pertimbangan yang serius karena tingkat kasadaran yang kuat [28]. Berdasarkan penelitian terdahulu, didapatkan hasil bahwa variabel Brand Awareness memiliki pengaruh positif terhadap keputusan pembelian [29]. Hal tersebut didikung oleh penelitia Cahyani yang menunjukkan bahwa brand awareness berpengaruh terhadap keputusan pembelian [30]. Hal tersebut tidak sejalan dengan penelitian Fitriani bahwa variabel brand awareness tidak memiliki pengaruh terhadap keputusan pembelian [31]. Hal tersebut sejalan dengan penelitian Sipahutar, bahwa variabel brand awareness tidak memiliki pengaruh yang signifikan terhadap keputusan pembelian [32]. Indikator brand awareness yaitu [33] :

1. Brand recal merupakan sejauh mana konsumen bisa mengingat ketika ditanya merek apa saja yang mereka ingat.

2. Recognition merupakan konsumen dengan mudah mengenali suatu produk makanan.

3. Purchase merupakan konsumen akan memasukan merek tertentu dalam alternatif pilihan saat mereka akan melakukan pembelian suatu produk makanan.

4. Consumption merupakan sejauh mana konsumen masih mengingat suatu merek tertentu saat mereka sedang memakai produk pesaing.

Harga

Kotler dan Amstrong menyatakan bahwa harga termasuk faktor utama yang harus dipastikan [34] dan dibebankan atas suatu produk [35]. Maka sejumlah uang yang harus dibayar konsumen untuk mendapatkan produk yang diinginkan agar memperoleh hak kepemilikan [36]. Menurut Kotler dan Amstrong, semakin tinggi harga maka keputusan pembelian semakin rendah, sebaliknya jika harga rendah keputusan pembelian berubah semakin tinggi [37]. Hal tersebut sejalan dengan penelitian Gunarsih dan Kalangi, bahwa variabel harga memiliki pengaruh yang signifikan terhadap keputusan pembelian [38]. Penelitian lainnya yang sejalan yaitu dengan hasil variabel harga berpengaruh signifikan terhadap keputusan pembelian [39]. Hal tersebut bertentangan dengan penelitian Mulyana yang memiliki hasil bahwa variabel harga tidak berpengaruh terhadap keputusan pembelian [40]. Begitupun dengan penelitian lain yang menjelaskan bahwa harga tidak memiliki pengaruh terhadap keputusan pembelian [41]

Indikator harga yaitu [14] :

1. Harga terjangkau merupakan ekpektasi harga dan kualitas yang didapatkan pelanggan sebelum melangsungkan pembelian.

2. Daya saing harga merupakan harga jual suatu produk dengan mempertimbangkan harga produk yang dijual oleh pesaingnya.

3. Nilai yang sesuai dengan kualitas merupakan harga yang diberikan oleh sesuai dengan kualitas produk yang diberikan.

4. Harga sesuai dengan manfaat merupakan harga yang diberikan sudah sesuai dengan manfaat yang didapatkan oleh konsumen.

Keputusan Pembelian

Kotler dan Keller telah mengemukakan bahwa pada tahap keputusan pembelian, konsumen secara faktual melakukan aksi pembelian suatu produk [42]. Keputusan pembelian diartikan sebagai sifat konsumen dalam melakukan pembelian atau menggunakan suatu produk tertentu baik berupa jasa atau barang dimana konsumen sudah yakin produk tersebut dapat memuaskan dirinya dan kesediaan dalam menanggung resiko yang mungkin saja ditimbulkannya [43] . Proses keputusan pembelian melibatkan rangkaian langkah yang bermula ketika konsumen menyadari adanya masalah, mencari informasi tentang produk atau merek tertentu, serta mengevaluasi sejauh mana setiap opsi bisa mengatasi masalah yang ada. Langkah-langkah ini akhirnya mengarahkan konsumen ke arah pengambilan keputusan untuk membeli [44]. Penelitian ini didukung dengan penelitian yang sudah pernah dilakukan seperti penelitian Nabillah dan Anggraeni dengan hasil bahwa kualitas produk, harga, promosi, brand awareness, brand image dan celebrity endorser berpengaruh secara simultan terhadap keputusan pembelian [45]. Penelitian lain yang sejalan yaitu penelitian Asia yang menyatakan bahwa kualitas produk, harga dan brand awareness berpengaruh secara parsial dan signifikan terhadap keputusan pembelian produk [22]. Berbeda pada penelitian Laisina dan Fairliantin dengan hasil secara parsial kualitas produk berpengaruh signifikan terhadap keputusan pembelian konsumen, sedangkan variabel harga dan brand image tidak berpengaruh terhadap keputusan pembelian. Penelitian lainnya yang menjelaskan bahwa variabel kualitas produk tidak berpengaruh positif dan signifikan terhadap keputusan pembelian, sedangkan harga dan minat beli berpengaruh positif dan signifikan terhadap keputusan pembelian[46] . Keputusan apakah akan membeli atau tidak membeli produk menjadi bagian dari perilaku yang melekat pada konsumen yang dikenal sebagai perilaku yang merujuk pada tindakan fisik yang nyata [47]. Indikator keputusan pembelian yaitu [7] :

1. Kemantapan pada produk merupakan suatu keyakinan dari konsumen untuk membeli produk setelah mengetahui informasi mengenai produk.

2. Kebiasaan pembelian produk merupakan pembelian secara terus menerus dengan produk yang sama.

3. Memberikan rekomendasi kepada orang lain merupakan konsumen akan merekomendasikan produk tertentu kepada saudara atau teman.

Keterkaitan hubungan antar variabel

a. Hubungan kualitas produk terhadap keputusan pembelian : Keterkaitan hubungan kualitas produk memberikan pengaruh yang positif dengan keputusan pembelian [48]. Kualitas produk yang baik oleh konsumen akan menciptakan keputusuan pembelian [49]. Hal tersebut dapat diartikan bahwa kualitas produk sangat penting dan berhubungan dengan keputusan pembelian yang mana konsumen akan membeli produk yang dibutuhkan dan memiliki kualitas produk yang unggul dibandingkan produk pesaing.

b. Hubungan Brand Awareness terhadap keputusan pembelian : Keterkaitan hubungan Brand Awareness memberikan pengaruh yang positif dengan keputusan pembelian [29]. Pada dasarnya calon konsumen cenderung membeli produk yang memang sudah mereka kenal atas beberapa pertimbangan-pertimbangan suatu hal yang mampu menyesuaikan kebutuhan konsumen. Dengan kata lain Brand Awareness berperan penting dalam keputusan pembelian konsumen. Karena dengan nilai nilai tersebut konsumen akan mengenal atau menyadari suatu merek sehingga memungkinkan konsumen untuk membeli suatu produk.

c. Hubungan harga dengan keputusan pembelian : Keterkaitan hubungan harga terhadap memberikan pengaruh yang positif dengan keputusan pembelian suatu produk. Harga suatu produk yang semakin tinggi maka keputusan pembelian akan rendah, begitupun sebaliknya apabila harga suatu produk rendah maka keputusan pembelian semakin tinggi[37].

Metode Penelitian

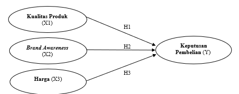
A. Kerangka Penelitian

Figure 1.

Gambar 1. Kerangka Penelitian

B. Hipotesis :

H1 : Secara parsial diduga kualitas produk memiliki pengaruh pada keputusan pembelian.

H2 : Secara parsial diduga brand awareness berpengaruh terhadap keputusan pembelian.

H3 : Secara parsial diduga harga berpengaruh terhadap keputusan pembelian.

C. Teknik Pengambilan Sampel

Populasi dari penelitian ini adalah konsumen yang pernah membeli atau mengkonsumsi produk mie UMKM Kedai Sukidayo Surabaya. Sampel yang digunakan pada penelitian ini adalah teknik Probability sampling yaitu proportional stratified random sampling adalah cara pengambilan sampel yang digunakan bila anggota populasinya tidak homogen dan jumlah unit dalam stratanya jumlahnya tidak sama. Kriteria responden sebagai berikut : 1. Bersedia menjadi responden dan dapat dihubungi, 2. Semua konsumen UMKM Kedai Sukidayo Surabaya baik pria dan wanita, 3. Berusia 18-35 tahun, 4. Pernah melakukan pembelian produk minimal 1 (satu) kali, 5. Berdomisili di wilayah kabupaten Surabaya.

Perhitungan untuk menentukan besarnya sampel pada setiap tingkatan konsumen dilakukan dengan alokasi Proporsional dengan cara :

Figure 2.

Figure 3. Tabel 1. Sampel Penelitian Hubungan Antara Kualitas Produk, Brand Awareness, Harga Terhadap Keputusan Pembelian UMKM Kedai Sukidayo Surabaya

Pada penelitian ini, sampel yang diambil adalah tingkatan konsumen UMKM Kedai Sukidayo Surabaya mulai dari kecamatan Tandes sampai dengan kecamatan Sambikerep yang berjumlah 100 responden.

D. Jenis dan Sumber Data

Dalam studi ini, data primer dan data sekunder adalah suatu objek yang berasal dari data yang didapatkan dan data bisa didapatkan dari berbagai sumber terdahulu sehingga kedua sumber data tersebut saling berkaitan sebagai data pendukung atau data pelengkap. Penggunaan skala ordinal dengan pendekatan skala Likert digunakan untuk mengukur variabel pada penelitian ini. Jenis riset ini dapat diidentifikasi sebagai penelitian yang fokus pada dimensi kuantitatif [50]. Disebut sebagai pendekatan kuantitatif karena penelitian ini berfokus pada pengumpulan dan analisis data berupa angka-angka serta menggunakan metode statistik. Dalam penelitian ini, peneliti menggunakan data berbentuk angka yang berasal dari kuesioner yang disebarkan melalui platform google form. Kuesioner tersebut berisi pertanyaan-pertanyaan yang diisi oleh responden secara online [26]. Data sekunder ialah informasi yang didapatkan melalui literatur atau tulisan-tulisan yang terkait pada subjek penelitian. Laporan-laporan ini dapat berasal dari berbagai sumber seperti dokumen atau studi pustaka yang telah dihasilkan oleh peneliti sebelumnya [51].

E. Teknik Pengumpulan Data

Metode yang diterapkan dalam penelitian ini adalah deskriptif kuantitatif, dimana data dianalisis melalui perhitungan berdasarkan sampel yang telah diambil dari responden. Penelitian ini mengandalkan data primer yang diperoleh langsung dari responden melalui pengisian kuesioner. Pengumpulan data dilakukan dengan menyebarkan angket atau kuesioner kepada responden.

Skala pengukuran yang digunakan dalam teknik pengumpulan data adalah Skala Likert dengan lima poin, di mana responden memberikan tanggapan berdasarkan derajat persetujuan atau ketidaksetujuan terhadap pernyataan yang disajikan yaitu sebagai berikut: [52]

Figure 4. Tabel 2. Tabel Skala Likert

F. Teknik Analisis Data

Penelitian ini menggunakan analisis karakteristik responden, dan analisis statistik deskriptif untuk mendeskripsikan data berdasarkan pada hasil yang diperoleh dari jawaban responden terhadap masing-masing indikator pengukur variabel. Selain itu, uji validitas juga diterapkan untuk menunjukkan tingkat kevalidan suatu instrumen. Uji reliabilitas untuk mengetahui pengukuran yang tetap konsisten. Uji asumsi klasik terdiri dari uji normalitas yang bertujuan mengidentifikasi apakah nilai residual terdistribusi secara normal. Uji Multikolinieritas untuk mengevaluasi adanya masalah dalam model regresi yang mungkin terkait dengan multikolinieritas. Uji Heterokesdastisitas untuk menguji perbedaan varian residual pada periode pengamatan yang berbeda. Dalam pengkajian ini, uji regresi linier berganda untuk mengamati dampak variabel Kualitas Produk (X1), Brand Awareness (X2), serta Harga (X3) terhadap Keputusan Pembelian (Y) produk dari UMKM Kedai Sukidayo di Surabaya. Uji Koefisien Determinasi (R²) untuk menentukan dan memprediksi seberapa besar pengaruh yang diberikan oleh variabel independen secara bersama-sama terhadap variabel dependen. Uji T untuk menganalisis pengaruh individu dari setiap variabel independen terhadap variabel dependen secara signifikan [53].

Lokasi Penelitian

Lokasi penelitian ini pada UMKM Kedai Sukidayo yang beralamat di Candi Lempung V Blok 47B No.22, Lontar, Kecamatan Sambikerep, Kabupaten Surabaya, Jawa Timur. UMKM Kedai Sukidayo termasuk dibidang kuliner.

Definisi Operasional

a. Kualitas Produk (X1)

Sifat dan kemampuan suatu produk mie dalam memenuhi kebutuhan serta keinginan konsumen. Indikator kualitas produk yaitu :

a. Porsi : setiap makanan yang disajikan sudah ditentukan standart porsinya (standard portion size).

b. Rasa : makanan yang disajikan memiliki cita rasa yang pas, seperti manis, asin, asam, dan pedas.

c. Tekstur : tekstur dari makanan yang disajikan sudah sesuai.

d. Aroma : memiliki aroma yang khas sehingga mendorong keinginan konsumen untuk mencoba makanan tersebut.

e. Warna : penyajian makanan memiliki kombinasi warna yang menarik.

b. Brand Awareness (X2)

Kesanggupan calon konsumen mengenali, mengingat kembali suatu merek sebagai bagian dari suatu kategori produk mie tertentu yang dikeluarkan oleh UMKM tersebut. Indikator brand awareness yaitu :

a. Brand recal : konsumen mengingat produk ketikaditanya merek makanan apa saja yang diingat.

b. Recognition : konsumen dengan mudah mengenali produk makanan.

c. Purchase : konsumen akan memasukkan ke dalam alternatif pilihan saat mereka akan melakukan pembelian suatu produk makanan.

d. Consumption : konsumen masih mengingat produk saat mereka sedang memakai produk pesaing.

c. Harga (X3)

Sejumlah uang yang ditagihkan atas produk mie yang didapatkan. Indikator harga yaitu :

a. Harga terjangkau : ekpektasi harga dan kualitas yang didapatkan pelanggan sebelum melangsungkan pembelian.

b. Daya saing harga : harga jual produk dengan mempertimbangkan harga produk yang dijual oleh pesaingnya.

c. Nilai yang sesuai dengan kualitas : harga yang diberikan sesuai dengan kualitas produk yang diberikan.

d. Harga sesuai dengan manfaat : harga yang diberikan sudah sesuai dengan manfaat yang didapatkan oleh konsumen.

d. Keputusan Pembelian (Y)

Tindakan membeli atau tidak membeli pada produk mie yang dijual. Indikator keputusan pembelian yaitu :

a. Kemantapan pada produk : suatu keyakinan dari konsumen untuk membeli produk setelah mengetahui informasi mengenai produk tersebut.

b. Kebiasaan pembelian produk : melakukan pembelian secara terus menerus pada suatu produk.

c. Memberikan rekomendasi kepada orang lain : konsumen akan merekomendasikan produk kepada saudara atau teman.

Hasil dan Pembahasan

A. Analisis Karakteristik Responden

Figure 5. Tabel 3. Karakteristik Responden (Jenis Kelamin) Sumber : Data Primer yang diolah, 2023

Berdasarkan tabel 2 dapat diketahui bahwa dari 100 responden sebanyak 21% atau 21 orang berjenis kelamin pria sedangkan 79% atau 79 orang berjenis kelamin wanita. Bisa disimpulkan bahwa responden yang paling dominan ialah berjenis kelamin wanita.

Figure 6. Tabel 4. Karakteristik Responden (Umur) Sumber : Data Primer yang diolah, 2023

Tabel 3, dapat dilihat dari 100 responden sebanyak 80% atau 80 orang pada umur 18 – 23 tahun sedangkan 20% atau 20 orang pada umur 24 – 35 tahun. Bisa disimpulkan bahwa responden yang paling dominan ialah berumur 18 – 23 tahun.

Figure 7. Tabel 5. Karakteristik Responden (Status Responden) Sumber : Data Primer yang diolah, 2023

Berdasarkan tabel 4 dapat diketahui bahwa dari 100 responden sebanyak 65%, 65 orang pada pelajar/mahasiswa, 30% atau 30 orang pada pekerja, sedangkan 5% atau 5 orang pada lainnya. Bisa disimpulkan bahwa responden yang paling dominan ialah para pelajar/mahasiswa.

Figure 8. Tabel 6. Karakteristik Responden (Lama Jadi Konsumen) Sumber : Data Primer yang diolah, 2023

Pada tabel 5 dapat dilihat dari 100 responden ada 51% dan 51 orang selama < 1 tahun, 34% atau 34 orang selama 1 – 2 tahun, sedangkan 15% atau 15 orang selama > 2 tahun. Bisa disimpulkan bahwa responden yang paling dominan ialah lama menjadi konsumen selama < 1 tahun.

Figure 9. Tabel 7. Karakteristik Responden (Pembelian) Sumber : Data Primer yang diolah, 2023

Berdasarkan tabel 5 dapat diketahui bahwa dari 100 responden sebanyak 64% atau 64 orang melakukan pembelian 1 – 3 kali, 30% atau 30 orang melakukan pembelian 4 – 6 kali, sedangkan 6% atau 6 orang melakukan pembelian > 6 kali. Bisa disimpulkan bahwa responden yang paling dominan ialah pembelian produk 1 - 3 kali.

B. Analisis Statistik Deskriptif

Pengukuran statistik deskriptif pada variabel ini perlu dilaksanakan untuk memberikan gambaran umum tentang data, termasuk nilai rata-rata (Mean), nilai tertinggi (Max), nilai terendah (Min), dan deviasi standar dari setiap variabel, yaitu Kualitas Produk (X1), Kesadaran Merek (X2), Harga (X3), dan Keputusan Pembelian (Y). Hasil dari analisis statistik deskriptif dapat ditemukan dalam Tabel 7 berikut ini:

Figure 10. Tabel 8. Hasil Uji Statistik Deskriptif Sumber : Output SPSS 2023

Berdasarkan hasil analisis statistik deskriptif, kita dapat menggambarkan distribusi data sebagai berikut:

1. Variabel Kualitas Produk (X1): Data menunjukkan bahwa nilai minimum adalah 39, nilai maksimum adalah 50, rata-rata adalah 46,76, dan standar deviasi adalah 3,663. Rata-rata yang lebih besar dari standar deviasi menunjukkan bahwa data cenderung terdistribusi dengan baik.

2. Variabel Brand Awareness (X2): Data menunjukkan bahwa nilai minimum adalah 25, nilai maksimum adalah 40, rata-rata adalah 34,64, dan standar deviasi adalah 4,249. Rata-rata yang lebih besar dari standar deviasi menunjukkan bahwa data cenderung terdistribusi dengan baik.

3. Variabel Harga (X3): Data menunjukkan bahwa nilai minimum adalah 26, nilai maksimum adalah 40, rata-rata adalah 35,22, dan standar deviasi adalah 4,034. Rata-rata yang lebih besar dari standar deviasi menunjukkan bahwa data cenderung terdistribusi dengan baik.

4. Variabel Keputusan Pembelian (Y): Data menunjukkan bahwa nilai minimum adalah 19, nilai maksimum adalah 30, rata-rata adalah 25,83, dan standar deviasi adalah 3,146. Rata-rata yang lebih besar dari standar deviasi menunjukkan bahwa data cenderung terdistribusi dengan baik.

C. Uji Validitas

Dalam uji validitas jika r hitung > r tabel maka dapat dikatakan valid dan r hitung < r tabel dikatakan tidak valid. Dihitung menggunakan rumus df = (n-2) dengan nilai n sebesar 100, df = (100-2) = 98. Pada taraf signifikasi 5% jadi indicator dari variabel riset ini dapat dikatakan valid dan nilai r-tabel ialah 0,196.

Figure 11. Tabel 9. Hasil Uji Validitas Sumber : Output SPSS 2023

Dari tabel 8 hasil uji validitas, dapat disimpulkan bahwa nilai r hitung untuk semua item pernyataan lebih besar daripada nilai r tabel. Hal ini mengindikasikan bahwa semua item yang digunakan dalam penelitian ini dinyatakan valid, sehingga dapat dianggap sebagai instrumen yang tepat untuk mengukur variabel yang diteliti.

D. Uji Reliabilitas

Uji realibilitas dalam penelitian ini dilakukan dengan menghitung besarnya nilai Cronbach’s Alpha > 0,60 maka jawaban dari responden pada kuesioner dinyatakan reliabel. Jika nilai Cronbach Alpha < 0,60 dinyatakan tidak reliabel.

Figure 12. Tabel 10. Hasil Uji Realibilitas Sumber : Output SPSS 2023

Berdasarkan tabel 9 hasil uji realibilitas menunjukkan nilai Cronbach’s Alpha pada variabel Kualitas Produk (X1) sebesar 0,918, variabel Brand Awareness (X2) sebesar 0,924, variabel Harga (X3) sebesar 0,930, dan variabel Keputusan Pembelian (Y) sebesar 0,885. Jadi dapat disimpulkan bahwa semua kuesioner dalam penelitian ini reliabel atau konsisten sehingga dapat digunakan sebagai instrument penelitian karena nilai Cronbach’s Alpha pada X1, X2, X3, dan Y tersebut > 0,60.

E. Uji Asumsi Klasik

1. Uji Normalitas

Uji normalitas dilakukan untuk mengetahui apakah data residual yang didapatkan berdistribusi normal atau tidak. Model yang digunakan adalah Kolmogorov-Smirnov dan Normal P-Plot. Kolmogorov-Smirnov dikatakan berdistribusi normal apabila signifikansi > 0,05 sedangkan berdistribusi tidak normal apabila signifikansi < 0,05.

Figure 13. Tabel 11. Hasil Uji Normalitas Sumber : Hasil data diolah SPSS 20 (2023)

Tabel 10 menunjukkan bahwa nilai Kolmogorov-Smirnov Z adalah 1,348 dengan signifikansi sebesar 0,053 (0,053 > 0,05). Ini mengindikasikan bahwa data memiliki distribusi normal karena nilai signifikansi lebih besar dari 0,05. Selain itu, hasil uji normalitas menggunakan Normal P-Plot juga menunjukkan bahwa data menyebar di sekitar garis diagonal atau mengikuti garis diagonal, yang merupakan indikasi bahwa data memiliki distribusi normal.

Dengan demikian, berdasarkan hasil uji normalitas ini, data dianggap berdistribusi normal dan dapat digunakan dalam analisis statistik lebih lanjut. Hasil uji normalitas menggunakan Normal P-Plot dapat dilihat pada gambar berikut ini :

Figure 14. Gambar 2. Normal P-Plot Sumber : Hasil data diolah SPSS 20 (2023)

Pada gambar 2 terlihat titik menyebar di sekitar garis diagonal dan penyebarannya mengikuti garis diagonal. Sehingga dapat disimpulkan bahwa model regresi yang digunakan dalam penelitian ini memenuhi kriteria normalitas.

2. Uji Multikolinieritas

Uji multikolinieritas untuk menguji apakah dalam model regresi ditemukan adanya korelasi antar variabel independen. Model regresi yang baik seharusnya tidak terjadi korelasi diantara variabel independen. Berdasarkan aturan VIF (Variance Inflation Factor) dan Tolerance, maka apabila Tolerance > 0,1 dan VIF < 10 maka dinyatakan tidak terjadi gejala multikolinieritas, sebaliknya apabila Tolerance < 0,1 dan VIF > 10 maka dinyatakan terjadi gejala multikolinieritas.

Figure 15. Tabel 12. Hasil Uji Multikolinieritas Sumber : Hasil data diolah SPSS 20 (2023)

Dari Tabel 11, dapat disimpulkan bahwa nilai VIF (Variance Inflation Factor) untuk variabel kualitas produk (X1) adalah 1,640, yang lebih kecil dari 10, dan nilai tolerance adalah 0,610, yang lebih besar dari 0,1. Untuk variabel brand awareness (X2), nilai VIF adalah 3,616, yang juga lebih kecil dari 10, dan nilai tolerance adalah 0,277, yang lebih besar dari 0,1. Selanjutnya, untuk variabel harga (X3), nilai VIF adalah 3,542, yang masih lebih kecil dari 10, dan nilai tolerance adalah 0,282, yang lebih besar dari 0,1. Hasil ini menunjukkan bahwa tidak ada gejala multikolinieritas antara variabel-variabel dalam analisis, karena semua nilai VIF berada di bawah batasan umum yang ditetapkan yaitu 10, dan nilai tolerance semua variabel cukup besar, lebih besar dari 0,1. Jadi, tidak ada masalah multikolinieritas dalam model regresi yang digunakan.

3. Uji Heteroskedastisitas

Uji heteroskedastisitas bertujuan untuk menguji model regresi apakah terjadi ketidaksamaan varians dari residual satu pengamatan ke pengamatan yang lain.

Figure 16. Gambar 3. Scatterplot regression residual Sumber : Hasil data diolah SPSS 20 (2023)

Dari gambar di atas, dapat disimpulkan bahwa tidak terdapat heteroskedastisitas dalam data, karena tidak terlihat pola yang jelas dari pola bergelombang atau penyebaran yang tidak merata dari titik-titik data di atas atau di bawah angka 0 pada sumbu Y. Oleh karena itu, dapat dianggap bahwa uji heteroskedastisitas telah terpenuhi, dan asumsi homoskedastisitas dapat dipertahankan dalam model regresi ini.

F. Uji Regresi Linier Berganda

Figure 17. Tabel 13. Hasil Uji Regresi Linier Berganda Sumber : Hasil data diolah SPSS 20 (2023)

Dari hasil uji di tabel 12, bisa disimpulkan persamaan regresi linier berganda yang dihitung yaitu :

Y = a + b1X1 + b2X2 + b3X3 + e

Y = -2,129 + 0,125 X1 + 0,435 X2 + 0,199 X3 + e

Berdasarkan hasil uji, maka bisa dijelaskan dibawah ini :

Nilai konstant sebanyak -2,129 dengan nilai negatif, ini dapat disimpulkan bahwa tanpa variabel Kualitas Produk (X1), Brand Awareness (X2), Harga (X3), Keputusan Pembelian (Y) akan mengalami penurunan sebesar 212,9%.

Nilai koefisien variabel Kualitas Produk (X1) sebesar 0,125 memiliki hubungan positive, jika nilai variabel lain konstant dan variabel X1 mengalami peningkatan 1%, maka variabel Keputusan Pembelian (Y) mengalami peningkatan sebesar 12,5%.

Nilai koefisien variabel Brand Awareness (X2) sebanyak 0,435 memiliki hubungan positif, jika nilai variabel lain konstan dan variabel X2 mengalami peningkatan 1%, jadi variabel Keputusan Pembelian (Y) mengalami tingkatan sebanyak 43,5%.

Nilai koefisient variabel Harga (X3) sebanyak 0,199 memiliki hubungan positif, jika nilai variabel lain konstan dan variabel X3 mengalami peningkatan 1%, maka variabel Keputusan Pembelian (Y) mengalami peningkatan sebesar 19,9%.

G. Koefisien Determinasi (R²)

Figure 18. Tabel 14. Hasil Uji Koefisien Determinasi (R²) Sumber : Hasil data diolah SPSS 20 (2023)

Berdasarkan tabel 13 di atas, hasil analisis variabel independen terhadap variabel dependen menunjukkan koefisien determinasi (R²) sebesar 0,827. Artinya, sekitar 82,7% dari variasi atau perubahan dalam keputusan pembelian (Y) dapat dijelaskan oleh variabel-variabel independen, yaitu kualitas produk (X1), brand awareness (X2), dan harga (X3). Sementara sisanya, sekitar 17,3%, dipengaruhi oleh faktor-faktor lain yang tidak diteliti dalam penelitian ini.

H. Uji Parsial (Uji T)

Figure 19. Tabel 15. Hasil Uji T Sumber : Hasil data diolah SPSS 20 (2023)

Pada uji parsial (uji t) dilakukan dengan tingkat kepercayaan 5% atau 0,05 dan menggunakan nilai df K=3 dan df2=n-k-1 (100-3-1=96). Bahwa hasil yang diperoleh nilai t tabel sebesar 1,984. Maka pengaruh variabel independen terhadap variabel dependen secara parsial adalah sebagai berikut :

a. Nilai t hitung variabel Kualitas Produk (X1) sebesar 2,726 > nilai t tabel 1,984 dan nilai signifikansi yaitu 0,008 < 0,05 maka H01 ditolak dan Ha1diterima. Artinya terdapat pengaruh kualitas produk terhadap keputusan pembelian secara signifikan.

b. Nilai t hitung variabel Brand Awareness (X2) sebanyak 7,401 > nilai t tabel 1,984 dan nilai signifikansi yaitu 0,000 < 0,05 maka H02 ditolak dan Ha2 diterima. Artinya terdapat pengaruh brand awareness terhadap keputusan pembelian secara signifikan.

c. Nilai t hitung variabel Harga (X3) sebesar 3,252 > nilai t tabel 1,984 dan nilai signifikansi yaitu 0,002 < 0,05 maka H03 ditolak dan Ha3 diterima. Artinya terdapat pengaruh harga pada keputusan pembelian secara signifikan.

Pembahasan

H1 : Kualitas produk berpengaruh terhadap keputusan pembelian

Hasil penelitian menunjukkan bahwa variabel kualitas produk memiliki pengaruh positif dan signifikan terhadap keputusan pembelian. Hasil ini menunjukkan bahwa semakin meningkatnya kualitas produk di UMKM Kedai Sukidayo akan meningkatkan penjualan dan dapat menghasilkan keuntungan.

Konsumen saat ini cenderung mempertimbangkan kualitas produk sebelum melakukan pembelian, dan pelaku UMKM Kedai Sukidayo mampu menciptakan produk dengan standar yang unggul. Peneliti sebelumnya juga mengungkapkan bahwa para pelaku UMKM lebih memfokuskan kualitas produk dan membandingkanya dengan yang ditawarkan oleh pesaing untuk meningkatkan penjualan [54] .Penelitian ini juga menunjukkan bahwa indikator yang paling berpengaruh terhadap keputusan pembelian adalah tekstur produk. Konsumen lebih suka produk dengan tekstur yang baik saat dikonsumsi. Temuan ini sejalan dengan penelitian sebelumnya yang menyatakan bahwa kualitas produk memiliki pengaruh positif dan signifikan terhadap keputusan pembelian [55].

H2 : Brand Awareness berpengaruh terhadap keputusan pembelian

Hasil penelitian menunjukkan bahwa variabel brand awareness memiliki pengaruh positif dan signifikan terhadap keputusan pembelian. Temuan ini mengindikasikan bahwa peningkatan brand awareness secara parsial dapat mempengaruhi peningkatan pembelian produk makanan di UMKM Kedai Sukidayo di Surabaya. Ketika produk makanan memiliki brand awareness yang tinggi, konsumen akan lebih mudah mengenali produk tersebut. Hal ini membuat konsumen lebih percaya dan cenderung memilih produk tersebut karena mereka tahu merek tersebut aman untuk dikonsumsi. Brand awareness juga dapat mempengaruhi minat beli konsumen dan akhirnya memengaruhi keputusan pembelian. Hasil analisis juga menunjukkan bahwa indikator yang paling berpengaruh terhadap keputusan pembelian adalah "purchase" atau pembelian. Ini mengindikasikan bahwa ketika konsumen sudah memiliki niat untuk membeli produk, brand awareness dapat memengaruhi pilihan mereka dalam memilih produk atau merek tertentu. Hal tersebut didukung oleh penelitian terdahulu bahwa semakin sadar konsumen akan keberadaan merek, maka akan menentukan keputusan konsumen untuk membeli produk dari brand tersebut [56] .Temuan ini sejalan dengan penelitian sebelumnya yang menyatakan bahwa brand awareness memiliki pengaruh positif dan signifikan terhadap keputusan pembelian [57].

H3 : Harga berpengaruh terhadap keputusan pembelian

Hasil penelitian menunjukkan bahwa variabel harga memiliki pengaruh positif dan signifikan terhadap keputusan pembelian. Temuan ini mengindikasikan bahwa peningkatan harga secara parsial dapat memengaruhi peningkatan keputusan pembelian produk makanan di UMKM Kedai Sukidayo di Surabaya. Harga merupakan faktor yang sensitif dalam keputusan pembelian konsumen.

Oleh karena itu, pelaku UMKM Kedai Sukidayo harus mampu menetapkan harga yang sesuai dengan kondisi konsumen. Harga dapat menjadi salah satu pertimbangan utama bagi konsumen dalam memilih produk yang akan dibeli. Harga memiliki fungsi mengatur alur barang dan jasa yang ditawarkan untuk memenuhi keinginan dan kebutuhan manusia [58]. Ketika konsumen menganggap harga produk sebanding dengan manfaat yang mereka terima, hal ini dapat meningkatkan kepuasan konsumen. Hal tersebut didukung penelitian terdahulu yang megungkapkan bahwa harga yang ditetapkan oleh penjual akan menjadi tolak ukur permintaan suatu produk, penetapan harga yang salah akan mengakibatkan jumlah penjualan yang tidak maksimal [48]. Hasil analisis juga menunjukkan bahwa indikator yang paling berpengaruh terhadap keputusan pembelian adalah harga terjangkau sesuai dengan kualitas produk. Ini mengindikasikan bahwa konsumen cenderung memilih produk yang memiliki harga yang terjangkau namun tetap berkualitas. Temuan ini sejalan dengan penelitian sebelumnya yang menyimpulkan bahwa harga berpengaruh positif dan signifikan terhadap keputusan pembelian [59].

Simpulan

Berdasarkan hasil penelitian dapat diambil beberapa kesimpulan penting yaitu Pertama, variabel kualitas produk (X1) secara parsial memiliki pengaruh yang signifikan terhadap keputusan pembelian (Y). Kedua, variabel brand awareness (X2) berpengaruh signifikan terhadap keputusan pembelian (Y). dan Ketiga, variabel harga (X3) berpengaruh signifikan terhadap variabel keputusan pembelian (Y). Peningkatan kualitas produk mie pada UMKM Kedai Sukidayo Surabaya ini akan meningkatkan penjualan dan berpotensi meningkatkan keuntungan. Konsumen mempertimbangkan berbagai aspek kualitas produk dalam membuat keputusan pembelian dan adanya kesadaran merek yang tinggi cenderung memiliki minat beli yang lebih tinggi terhadap produk tersebut. Kesadaran merek membantu konsumen mengenali produk, menciptakan kepercayaan bahwa merek tersebut aman untuk dikonsumsi dan cenderung menjadi pelanggan setia. Harga ini menjadi pertimbangan penting bagi konsumen dalam membuat keputusan pembelian apabila sesuai dengan kualitas produk dan manfaat yang diberikan akan mempengaruhi kepuasan konsumen. Harga yang bersaing dan terjangkau juga menjadi faktor yang memengaruhi niat pembelian

Ucapan Terima Kasih

Terima kasih ini ditujukan kepada Allah SWT, karena dengan ridho-Nya penelitian ini dapat terselesaikan. Selain itu terima kasih kepada Prodi Manajemen serta Fakultas Bisnis Hukum dan Ilmu Sosial Universitas Muhammadiyah Sidoarjo..

References

[1] M. Indriani, “Analisis Pengaruh Orientasi Pelanggan, Harga Kompetitif dan Daya Tarik Promosi terhadap Kinerja Pemasaran UMKM Cafe dan Resto di Kota Pontianak,” vol. 6, no. 10, 2022.

[2] Rio Haribowo et al., “Analisis Peran Social Media Marketing, Kualitas Produk dan Brand Awareness terhadap Keputusan Pembelian Pelanggan Rumah Makan di Jawa Barat,” vol. 3, no. 6, 2022.

[3] N. N. Supuwiningsih, N. P. P. A. Wijayanthi, and F. T. Anaclaudia, “Penciptaan Brand Awareness Jaje Bali di Lingkungan Alas Arum Sesetan melalui Sosial Media,” Widyabhakti Jurnal Ilmiah Populer, vol. 2, no. 3, pp. 86–92, 2020.

[4] A. Safitri et al., “Pengaruh Kualitas Produk, Kualitas Pelayanan, dan Customer Experience terhadap Kepuasan Pelanggan Sofyan Frozen,” Bussman: Indonesian Journal of Business and Management, vol. 2, no. 2, pp. 470–478, 2022.

[5] F. A. Sulaiman, I. Wirasari, and A. Syafikarani, “Perancangan Strategi Promosi untuk Peningkatan Brand Awareness Creativision,” n.d.

[6] F. V. Jayadi and I. M. Wardana, “Pengaruh Promosi dan Kemasan terhadap Keputusan Pembelian yang Dimediasi oleh Brand Awareness,” E-Jurnal Manajemen Universitas Udayana, vol. 10, no. 12, p. 1449, 2021.

[7] B. I. Chrismaya and I. A. Fatmala, “Faktor-Faktor yang Mempengaruhi Keputusan Pembelian (Studi Kasus pada UMKM Sepatu Kulit Toko),” 2021.

[8] R. Febriyanti, S. Nuringwahyu, and D. Krisdianto, “Pengaruh Kualitas Produk dan Harga terhadap Kepuasan Konsumen,” n.d.

[9] E. M. Sinaga and T. Nabila, “Pengaruh Promosi Media Sosial Facebook, Kualitas Produk dan Harga terhadap Keputusan Pembelian Keripik Zack Krezz,” vol. 1, 2022.

[10] F. Carundeng and M. C. Raintung, “Product Quality and Price of Boba Terserah Drink in Kotamobagu on Consumer Satisfaction,” vol. 10, no. 1, 2022.

[11] D. Nadhira and D. A. Iskandar, “Brand Awareness and Social Media Marketing toward Purchase Intention of Es Teh Indonesia in Jakarta,” vol. 8, no. 4, 2022.

[12] F. D. Sandala, A. L. Tumbel, and J. L. Tampenawas, “Reference Group, Price Perception and Store Atmosphere toward Buying Interest at UMKM Beenji Cafe,” 2021.

[13] H. Hanum, “Desain Kemasan, Harga, Kualitas Produk dan Pengaruhnya terhadap Keputusan Pembelian,” Jurnal Mahkota Bisnis Makbis, vol. 1, no. 2, 2023.

[14] I. Devanny et al., “Product Quality, Content Marketing, Customer Engagement and Price toward Purchase Decision at UMKM Zisallection,” vol. 1, no. 2, 2022.

[15] A. Y. Putri, H. Purwanto, and D. C. A. Kadi, “Product Quality and Brand Image on Purchase Decision through Buying Interest,” 2022.

[16] Sutrisno et al., “Analisis Kualitas Produk, Harga dan Brand Awareness terhadap Keputusan Pembelian Produk Kopi di McCafe,” vol. 3, no. 6, 2022.

[17] I. A. Irawan, “Product Quality, Brand Image and Price on Coffee Purchase Decision during Covid-19,” Kelola: Jurnal Ilmiah Manajemen, vol. 7, no. 1, pp. 9–16, 2021.

[18] H. Saputra and B. Muhazirin, “Brand Image, Product Quality, Service Quality, Price Perception and Place on Buying Interest,” Jurnal Bisnis Terap, vol. 1, no. 1, 2021.

[19] Sutrisno et al., same as [16].

[20] Supardi et al., “Pendampingan Peningkatan Pendapatan UMKM Terdampak Covid-19 melalui Pengelolaan Manajemen,” Univ. Muhammadiyah Sidoarjo, pp. 720–731.

[21] D. R. Amanda et al., “Brand Image, Brand Trust and Product Quality toward Purchase Decision on Wardah Lipstick,” vol. 1, no. 12, 2022.

[22] N. Asia, “Product Quality, Price and Brand Awareness toward Purchase Decision of Scarlett,” vol. 2, pp. 76–90.

[23] K. A. R. Oktavenia, “Product Quality toward Nokia Purchase Decision with Brand Image Mediation,” vol. 8, no. 3.

[24] R. Ababil and F. Muttaqien, “Product Quality, Word of Mouth and Location toward Purchase Decision of Senduro Coffee,” n.d.

[25] F. H. Nadiya and S. Wahyuningsih, “Product Quality, Price and Brand Image toward Purchase Decision of 3second Fashion,” Prosiding Seminar Nasional Unimus, pp. 1096–1104, 2020.

[26] M. Agustin and A. D. Astono, “Brand Awareness and Brand Image toward Purchase Decision of Street Boba,” vol. 8, no. 4, 2022.

[27] S. Maria et al., “Social Media Marketing, WOM, and Advertising Effectiveness on Brand Awareness and Purchase Intention,” Jurnal Manajemen Indonesia, vol. 19, no. 2, 2019.

[28] S. Sari, “Brand Awareness and Its Influence on Toyota Calya Purchase Decision,” Journal of Business Administration, vol. 1, 2021.

[29] F. Ramadayanti, “Brand Awareness toward Purchase Decision,” vol. 6, n.d.

[30] K. I. Cahyani and R. E. Sutrasmawati, “Brand Awareness and Brand Image toward Purchase Decision,” 2016.

[31] M. Fitriani and F. D. S. Sumantyo, “Brand Image, Brand Awareness and Product Quality toward Mixue Purchase Decision,” 2023.

[32] R. D. Sipahutar, “Brand Awareness and Perceived Quality toward Bear Brand Milk Purchase Decision,” UIN Syarif Kasim Riau, n.d.

[33] D. A. S. Dewi and D. Laksmi, “Digital Marketing and Brand Awareness toward Sukla Food Purchase Decision,” vol. 2, no. 3, 2022.

[34] S. Claudya and N. S. Komariah, “Product Quality, Price and Trust toward RO Water Purchase Decision,” vol. 17, no. 2, 2021.

[35] Sudarijati et al., “Repurchase Intention Based on Brand Image, Price and Product Quality (Sate Maranggi Case),” vol. 6, no. 2, 2022.

[36] I. J. Pernama and R. Wulandari, “Product Quality and Price toward Purchase Decision of Sambal Tembang,” vol. 1, no. 2.

[37] M. Agatha, “Price toward Batik Barong Purchase Decision,” Univ. Brawijaya, n.d.

[38] C. M. Gunarsih and J. Kalangi, “Price toward Consumer Purchase Decision at Pelita Jaya Shop,” Univ. Sam Ratulangi, 2021.

[39] N. N. Mulyadi, “Price toward Lapis Talas Kujang Purchase Decision,” JIMKES, vol. 10, pp. 511–518, 2022.

[40] S. Mulyana, “Price and Review toward Online Fashion Purchase Decision on Shopee,” vol. 7, no. 2, 2021.

[41] M. I. Listighfaroh, “Product Quality, Price and Promotion toward Feira White Shower Cream Purchase Decision,” Univ. Wijaya Putra, n.d.

[42] C. Elbahar, “Digital Marketing toward Purchase Decision at Kadatuan Koffie,” n.d.

[43] S. Kodu, “Price, Product Quality and Service Quality toward Toyota Avanza Purchase Decision,” JEMBA, vol. 1, pp. 1251–1259, 2013.

[44] M. B. K. Sandi and R. Setyorini, “Purchase Decision Drivers of Unionwell Bandung Products,” n.d.

[45] A. N. Nabilah and N. Anggrainie, “Product Quality, Price, Promotion, Brand Awareness, Brand Image and Celebrity Endorser toward Scarlett Whitening Purchase Decision,” vol. 5, n.d.

[46] I. Hilmawan, “Product Quality and Price toward Purchase Decision with Buying Interest Mediation,” vol. 3, no. 3, 2019.

[47] R. D. Azhari and M. F. Fachry, “Brand Image and Promotion toward Batik Karawang Purchase Decision,” n.d.

[48] W. I. Aghitsni and N. Busyra, “Product Quality toward Motorcycle Purchase Decision in Bogor,” vol. 6, no. 3, 2022.

[49] G. P. Putra and Z. Arifin, “Product Quality toward Purchase Decision and Its Impact on Consumer Satisfaction,” n.d.

[50] K. Islamiyah and U. Soebiantoro, “Brand Image and Product Quality toward Sarimi Purchase Decision,” Jurnal Ilmiah Universitas Batanghari Jambi, vol. 22, no. 3, 2022.

[51] Y. Suhardi et al., “Product Quality, Price and Product Variants toward Fresh Meat Purchase Decision,” Jurnal STEI Ekonomi, vol. 31, no. 1, 2022.

[52] A. D. Cahya et al., “Product Quality and Service Quality toward Customer Satisfaction (Case UMKM Baso Aci Ena),” vol. 7, no. 2, 2021.

[53] P. G. Christoper, “Product Quality, Price and Promotion toward Traditional Food Buying Interest at Mey’s Kitchen,” vol. 10, no. 10, 2021.

[54] J. Citradewi and E. Siska, “Product Quality and Price toward UMKM Dekranasda Purchase Decision,” n.d.

[55] F. Ruliansyah and D. D. S. Sampurna, “Product Quality, Price and Brand Image toward Motorcycle Purchase Decision,” 2020.

[56] A. Danio and H. Silalahi, “Brand Image and Brand Awareness toward Purchase Decision,” Univ. Brawijaya, n.d.

[57] N. N. K. Dewi and I. G. K. Warmika, “Internet Marketing, Brand Awareness and WOM Communication toward Spa Bali Alus Purchase Decision,” E-Jurnal Manajemen Unud, vol. 6, no. 10, 2017.

[58] K. A. Kumara, Pengantar Sistem Ekonomi Islam, UMSIDA Press.

[59] I. A. Irawan, “Product Quality, Brand Image and Price toward Coffee Purchase Decision,” vol. 7, no. 1, 2021.